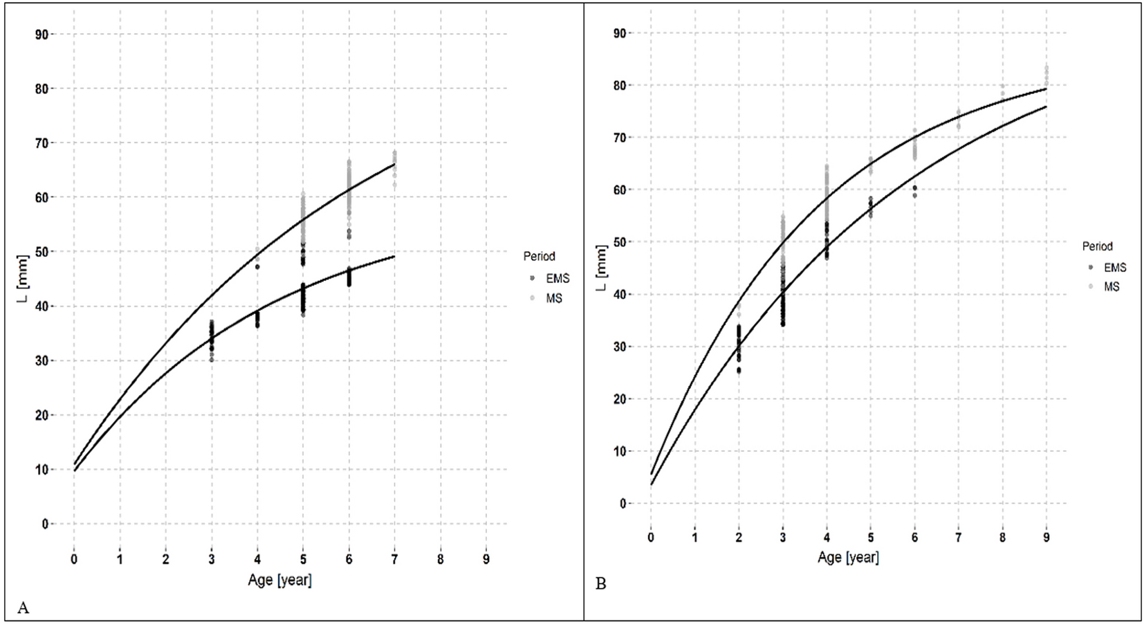
Fig. 3

Comparison of growth rates of the bivalves Unio pictorum (a) and U. tumidus (b) from the early Middle Ages (EMS) and present day (MS).

Comparison of growth rates of the bivalves Unio pictorum (a) and U. tumidus (b) from the early Middle Ages (EMS) and present day (MS).