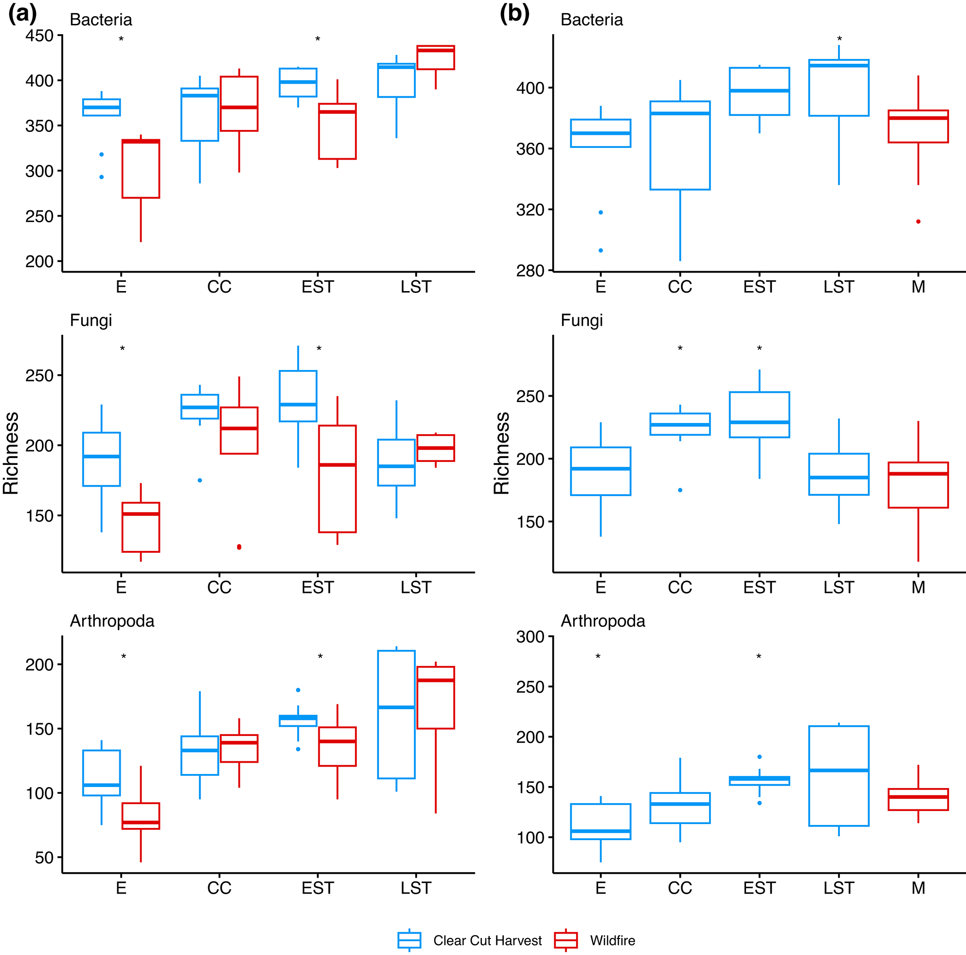
Fig. 2

Analysis of richness did not reveal clear patterns of convergence or recovery. Sequence variant richness was compared between the wildfire reference condition and full tree clearcut harvest sites to check for (a) convergence and (b) recovery across stand development stages. Wilcox or t-tests were used to compare soil communities and an asterisk is shown if the Holm corrected p-value was < 0.05. For part (a), statistical comparisons were grouped by taxon and stand development stage to compare richness between clearcut harvest and wildfire. For part (b), statistical comparisons were grouped by taxon to compare wildfire richness at each stand development stage with wildfire richness at the mature stand development stage. Abbreviations: E = establishment, CC = crown closure, EST = early self-thinning, LST = late self-thinning, M = mature.