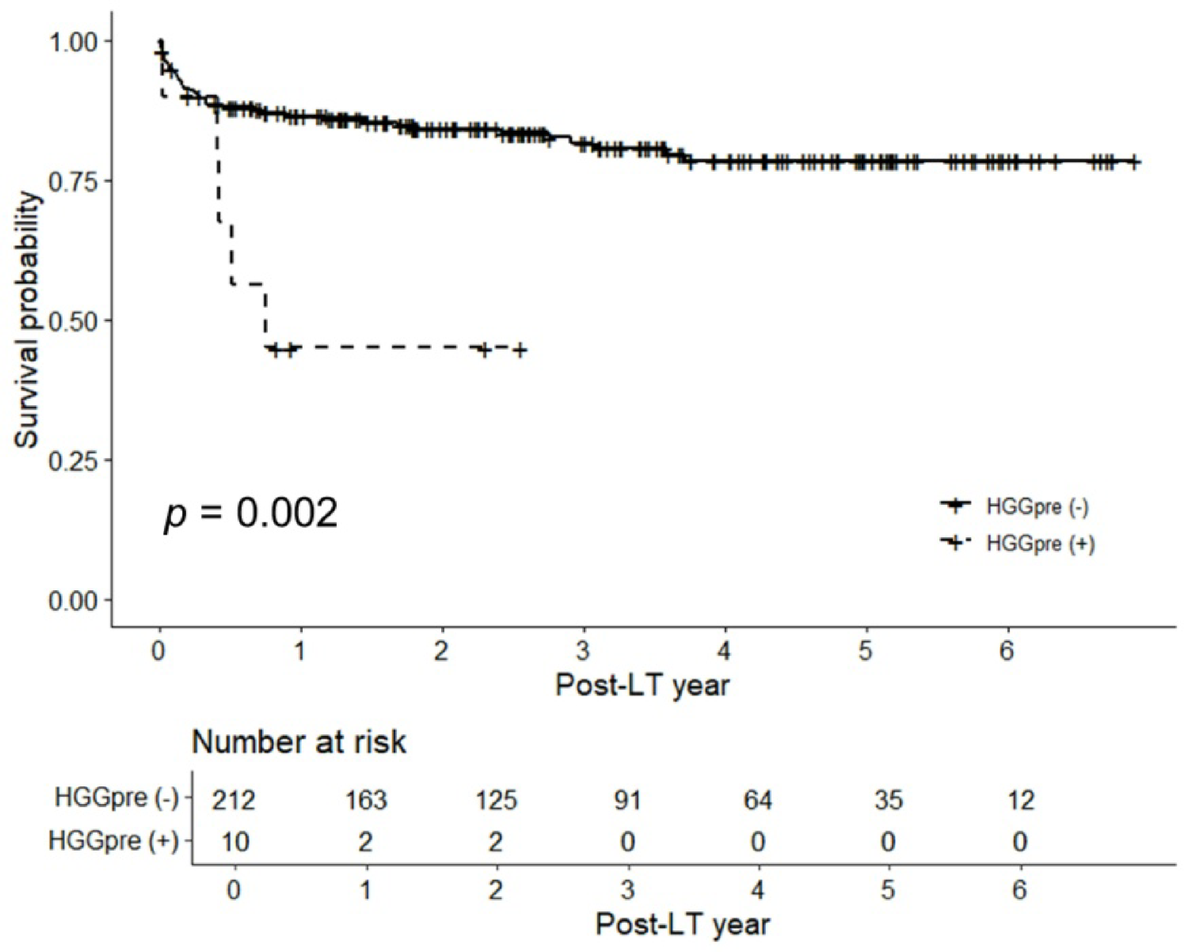
Fig. 2
From: Immunoglobulin G dynamics and outcomes of hypogammaglobulinemia in liver transplant recipients

Kaplan–Meier curves of the overall survival rates after liver transplantation according to pre-transplantation hypogammaglobulinemia. HGG, hypogammaglobulinemia.