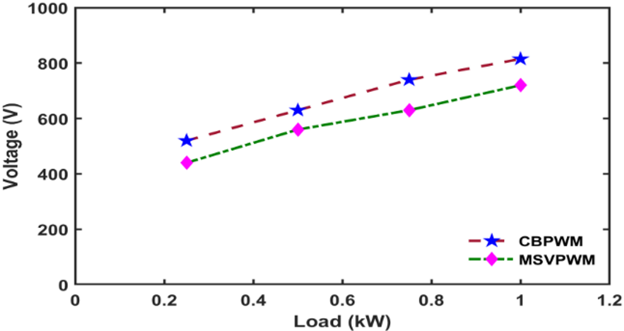
Fig. 16 | Scientific Reports