Abstract
Chamaenerion angustifolium (fireweed) is an ecologically important plant in the northern hemisphere. It provides food across forest openings for many wildlife species including bumblebees, which are important pollinators to North America. Fireweed also acts as a significant food source for honeybees and is used by many North American Indigenous people as food and medicine. In forested areas managed for timber, fireweed is often incidentally exposed to glyphosate-based herbicides (GBH) in post-harvest vegetation management. We studied the response of fireweed to sub-lethal GBH exposure in a controlled experiment and in standard operational field conditions to determine impacts on specific aspects of growth and reproduction of the species. We also aimed to determine if GBH related stress symptoms would significantly impact the fluorescence of fireweed flowers, and/or the nutritional quality of pollen. Results showed that fireweed is negatively impacted by sublethal exposures of GBH including reduced photosynthetic efficiency, reduced height, and reproductive shoot dieback. In the operational environments studied, pollen viability was reduced one-year after applications and anther fluorescence was altered. The amino acid concentration of fireweed flowers was reduced in samples collected and glyphosate residues remained present at low concentrations in floral tissues at two years post-treatment.
Introduction
Glyphosate-based herbicides in forest plants
Glyphosate-based herbicides (GBH) are commonly used in Canadian forest management practices, to reduce growth of deciduous tree and shrub species, in areas where coniferous trees are harvested and planted. GBH use in this context reduces competition for early growth of conifer seedlings1. During applications, many non-target plants are exposed to GBH through spray drift or due to their proximity to targeted plants via the spray cloud/rain trajectory2,3. Residues of glyphosate and aminomethylphosphonic acid (AMPA, a product of glyphosate degradation) have been found in tissues of non-target understory plants in BC forests up to 12-years after initial exposure4,5, and evidence exists that degradation rates are slower and plant susceptibility greater, in colder climates5,6,7. Sublethal glyphosate residues in plant tissues have been shown to induce stress symptoms such as chlorosis, stunted growth, reduced leaf area, deformed leaves, and changes to flowers8,9,10,11,12. Although GBH has been found to remain in the forest environment and cause changes to plant growth and reproduction11,12, the current understanding of these changes and their significance remains limited. Whether the persistence of low concentrations of GBH residues has an impact on the function of plants within their ecosystem has yet to be determined. Furthermore, since each species responds differently to GBH application, it is important that individual species are investigated and their responses documented.
Glyphosate (N-(phosphonomethyl) glycine) is a glycine analog that acts as a non-selective herbicide13. It is absorbed across vegetative plant surfaces and is translocated along the same pathways as sugars produced in photosynthesis, allowing it to quickly reach areas of high metabolic activity such as meristematic tissue14. Inside the plant cell glyphosate acts as an inhibitor of 5-enolpyruvyl-shikimate-3-phosphate synthase (EPSPS) in the shikimate metabolic pathway by competing with phosphoenolpyruvate for the enzyme’s active site13,15,16. This inhibition leads to an increased concentration of shikimic acid that may affect protein metabolism, which leads to the inhibition of plant growth and ultimately the death of the plant, depending on the concentration applied17. The shikimate pathway is responsible for producing aromatic amino acids including phenylalanine, tryptophan, and tyrosine, phenolic compounds, that have antioxidant activity within the cells of both plants and herbivores, and other important secondary metabolites18; therefore, glyphosate may prevent their production. Wang (2001) found that the concentration of tryptophan decreased rapidly three days after glyphosate treatment, and the level remained low17. Since tryptophan plays a major role as a precursor in the synthesis of several important plant regulatory chemicals, as well as plant pigments and other biocommunicative chemicals, it follows that a reduction in tryptophan may severely affect the synthesis of these chemicals. However, it was found that the effect of glyphosate on aromatic acid synthesis was inconsistent, as it increased the concentration of some aromatic acids and decreased others17, indicating that the production of these metabolites in plants is more complex than is currently understood. Glyphosate and AMPA also appear to prevent production of chlorophyll and promote its degradation, lowering both photosynthetic ability and rate of carbon fixation10,19.
Because of the known interactions that glyphosate can have with plant chemistry, there is reason to believe that glyphosate may alter ecosystem functions such as producing lower quality food for wildlife. Plants are the base of the food web, and life on earth evolved to rely on the nutrition provided by their abundance. A plant’s chemical make-up provides the building blocks for the growth and development of animals20,21,22, therefore, if a plant population is nutritionally compromised in a given space, there are potential health consequences for the rest of the ecosystem relying on those plants. Plant components such as amino acids and proteins, and compounds such as anthocyanins are among the plant chemicals that serve a pivotal role in plant perpetuation and the functional ecology of forest communities. For example, many insects consume pollen for the primary purpose of obtaining protein and fat thereby supporting the growth and development of insect larvae23,24. Anthocyanins found in plants are known for their antioxidative and antimicrobial properties25.
Some anthocyanins are also fluorescent compounds that are found in the anthers and pollen grains of select species and act to attract or deter animals, and some were found to protect anthers and pollen from UV-induced damage26. Glyphosate exposure has been found to reduce attraction towards UV light in bumble bees27. Therefore, if antioxidants responsible for fluorescence (often caused by the interaction between the anthocyanins and UV light) are altered by glyphosate treatments, then biocommunication may be compromised, potentially impacting foraging efficiency for wild bees, a keystone functional group in many ecosystems.
Study species: Chamaenerion angustifolium
Chamaenerion angustifolium [L.) Scop. (Myrtales: Onagraceae)] (fireweed) is a prominent plant species in British Columbia (BC), Canada. Fireweed is widely distributed in the northern temperate and boreal regions of Canada and the northern United States28 and is also found in northern parts of Europe20,22. It is found in a wide variety of habitats from boreal forests to gravel bars, and from low to subalpine elevation29,30. It is an erect perennial herb which can reach a height from 0.5 to 3 m tall, and has alternate, entire lance-shaped leaves reaching from 5 to 20 cm in length29,30.
Flowering in fireweed occurs continually from June to September. Flowers are magenta or deep pink in colour, have long pedicels and are borne in indeterminate racemes, with the oldest flowers borne towards the base and new flowers produced as the shoot grows28,29. Each individual flower has four petals, 10 to 15 mm in length, and four lanceolate, spreading sepals that are the same colour as the petals. Each flower has eight stamens, a style that is longer than the stamens, a four-cleft stigma, and a four-loculed ovary28,29. The anthers release blue-green or yellow pollen held together with sticky viscin threads28,31. The green, fleshy, and slightly concave nectary produces nectar with a high sugar concentration (approximately 77%) and is located on the upper end of the inferior ovary32. The style has hairs up to 0.5 mm long, which act as a deterrent to raindrops and to insects that are too small to be useful in pollination32.
Fireweed exhibits protandry. In young flowers, the style is strongly reflexed away from the anthers and the stigma lobes remain closed during the initial male phase, which occurs for approximately two to three days28. A pollinator must first visit flowers when they are in this condition in one inflorescence and then visit another inflorescence with older flowers for pollination to occur32. In older flowers, the style straightens, moving the stigma to the centre of the flower, initiating the opening of the stigma lobes and the female phase. Pollen produced by unrelated individuals can then be deposited on the stigma via pollinator visitation. If there is no pollinator visitation and the pollen remains within the anthers, the flowers become hermaphroditic once the female phase begins. The reproductive strategy for fireweed is predominately outcrossing and inbreeding depression is very high, therefore self-fertilization has substantial negative fitness consequences28.
In many areas of northern BC, fireweed is one of the first successional species to re-establish after a disturbance such as forest harvesting, natural resource-related vegetation management, or a fire. Fireweed can quickly colonize a disturbed area and recycles early nutrients through the system via its own decaying plant matter, thereby improving soil quality for other plant species33. Dense colonies of fireweed may delay the development of shrubby vegetation, thus assisting in the establishment of coniferous species before competitive shrubs33.
Fireweed has been used for many centuries by Indigenous people across North America for food. Many First Nations in the interior of BC – including the Nlaka’pamux, Stl’atl’imx, Secwepemc, Carrier, Wet’suwet’en, Sekani, and Nisga’a – collected and ate the raw pith of young stalks, prior to flowering34. Many BC coastal First Nations such as the Sechelt, Squamish, Nuxalk, Haida, and Tsimishian also foraged the pith35. The Saanich First Nations steeped the young leaves to make tea35. Fireweed also had social significance in Haida communities. Fireweed patches found close to Haida villages were often owned by certain high-class members, and other individuals had to ask permission to harvest from these patches35. All parts of fireweed plants were (and are) used by Indigenous peoples in western Canada for its anti-inflammatory and antiseptic properties30,36.
Fireweed is also an important food source for wildlife. The shoots are consumed by deer, moose, caribou, muskrat, and hares29,32,37. A multitude of insects, such as bees and flies, use fireweed nectar as it is continuously produced after anthesis and until abscission of the floral parts occurs, which is uncommon in other wildflowers29,31,32. The most common pollinators for fireweed are bees32,38; fireweed is an important plant for the honey industry in Canada29.
Study rationale and objectives
It is important to investigate the impacts of glyphosate-based herbicides (GBH) on fireweed to understand the potential changes to the beneficial ecological and cultural services provided by this species, and due to the prevalence of GBH use worldwide13. Here we collate the findings of our study of the responses of fireweed (Chamaenerion angustifolium) to sublethal GBH treatment in northern British Columbia, Canada. We collected samples of fireweed from operationally managed forest stands one and two years after GBH applications took place and we conducted controlled experimentation using fireweed, to better understand this species’ growth and reproductive potential. Ultimately, we aimed to contribute to the knowledge base on how plant systems function after GBH treatments, studying fireweed as a representative perennial, herbaceous angiosperm.
Our specific objectives were:
-
1)
To determine the growth potential of fireweed post GBH application, and to confirm fireweed stress symptoms induced by sublethal glyphosate exposure.
-
2)
To quantify the reproductive capacity and the biocommunicative potential of fireweed flowers, post GBH application.
-
3)
To determine changes in nutrition of fireweed flowers, specifically focusing on amino acids because they are produced downstream of the shikimic acid pathway.
Methods
We conducted a greenhouse experiment with fireweed at the University of Northern British Columbia (UNBC). We also collected fireweed plants, for study and testing, from operationally managed forests during field outings in 2021 and 2022.
Growth chamber experimentation
The specific goal of this experiment was to determine the morphological and physiological response of fireweed to GBH treatment under controlled growth conditions (contributing to Objective 1). Wild fireweed plants were collected from sites on and near the UNBC Prince George campus, as rhizomes with small vegetative shoots immediately following spring emergence. Rhizomes of approximately 15–20 cm lengths were planted in individual 2 L pots with a growing medium consisting of 78% peat moss, 15% vermiculite, and 7% perlite with 0.46 mL/L dolomite lime, 0.46mL/L Micromax micronutrient formulation, and 3.65mL/L Osmocote 14-14-14 slow-release fertilizer. All plants were brought into a greenhouse compartment of the I.K. Barber Enhanced Forestry Lab (EFL) at UNBC and allowed to acclimate at 20 °C for ten days before placement in growth chambers. Plants were divided between three growth chambers (five treatment plants and five controls were placed in each chamber) set to different temperatures (chamber 1 = 20 °C day/8°C night, chamber 2 = 25 °C day/10°C night, chamber 3 = 30 °C day/15°C night) with a 12 h temperature cycle and 16 h photoperiod. Plants were frequently monitored and individually watered as needed to ensure no water stress was experienced.
Five treatment plants from each growth chamber were taken to an outdoor location, sprayed with a GBH formulation, allowed to dry, and returned to the growth chambers. VisionMax® GBH (540 g/L a.e. potassium salt), normally applied at 4 L/ha (540 g/L * 4 L/ha = 2160 g over 10,000m2 (1 ha); application rate of 43.2 g/L over 1 ha), was applied at a low concentration to induce a sub-lethal response. We applied 0.2mL of VisionMax® concentrate in 100mL of solution, by hand-held sprayer. Thus, the application rate was 2.5% of the normal rate; 540 g/L (0.0002 L) /0.1 L = 1.08 g/L application rate over a 1 m2 or 0.018 g over a 1 m2 area.
Total length of the stem between the root collar and shoot apex and photosynthetic efficiency (PE), assessed by chlorophyll fluorescence of each plant, were measured weekly, the first of these measurements were made prior to treatment. The total overall shoot health was evaluated at the conclusion of the experiment. PE was estimated by calculating the maximum quantum yield of photosystem II (PSII) (Fv/Fm), detected using a portable Hansatech chlorophyll fluorometer. Photosystem II is the most sensitive component within the photosynthetic pathway39 and was therefore used as a measure of plant stress response to stressful conditions40. To measure PE, the target leaves were first covered with a clip for at least one minute to ensure the portion of the leaf tested was in complete darkness. Then, the Fv/Fm ratio was automatically calculated by the chlorophyll fluorometer by opening the clip to the fluorometer’s sensor, where it detected the minimal fluorescence (Fo), followed by the maximal fluorescence (Fm), which were then related using the following equation: Fv = Fm – Fo40. For healthy plants the Fv/Fm ratio should be between 0.7 and 0.8341.
Operational study in 2021–2022
Operational sampling was conducted to meet Objectives 2 and 3; to determine if the reproduction, biocommunication, or nutritional components of fireweed were interrupted by GBH applications in the real world. We chose to study pollen viability as a representation of reproductive capacity, floral fluorescence as an indicator or biocommunicative potential, and amino acid content as a marker of nutritional composition.
Study sites
The area of study consisted of 15 sites, each site containing paired treated + control areas, in the Prince George Forest Region of BC, Canada (Fig. 1). Five of the sites were treated with GBH in 2019, five were treated in 2020, and five were treated in 2021. Each treated site had a paired control site (not treated with GBH) of the same vegetation complex, that was sampled.
Map of field study site locations treated with glyphosate-based herbicides in 2019, 2020, and 2021, within the Prince George Forest District, British Columbia, Canada. Each location contained a paired treated area and non-treated control area. Figure generated using iMapBC, a publicly available mapping tool (https://maps.gov.bc.ca/ess/hm/imap4m/). Copyright (c) Province of British Columbia. All rights reserved. Reproduced with permission of the Province of British Columbia.
Samples were collected from these sites during June and July of 2021 and 2022 (Table 1). The sites were previously logged using a clear-cut method of harvesting, planted with coniferous trees, lodgepole pine (Pinus contorta Dougl. ex Loud) and/or hybrid white spruce (Picea glauca (Moench) Voss x engelmannii Parry ex. Engelm) and treated with a GBH in either 2019, 2020, or 2021 (one-year before sampling) when planted trees were between 5 and 15 years of age. The sites sprayed in 2019 and 2020 were treated with the GBH formula VisionMax® and the sites sprayed in 2021 were treated with the GBH formula GlySil®. VisionMax® (Canadian registration no. 27736 under the Pest Control Products Act) was aerially applied at rates of 3.3–4.0 L/ha (resulting in concentrations of 1.78–2.16 kg a.i. ha-1). GlySil® (Canadian registration no. 29009 under the Pest Control Products Act) was applied aerially at 6.0 L/ha (resulting concentration of application was 2.13 kg a.i. ha-1). Parts of these sites were left untreated (pesticide-free zones) due to the presence of streams to prevent glyphosate contamination and run-off. These untreated areas within the sites or other nearby untreated regions with similar vegetation complexes served as experimental controls. Paired treatment and control areas for each site were identified from forest industry operation maps and were confirmed visually on site through marked treatment lines.
Sites were located in the SBSvk, SBSdw2, SBSdw3, and ESSFwk1 biogeoclimatic ecosystem classification (BEC) zones (Table 1). The BEC system was developed and is used within BC to delineate regional differences in topography and dominant vegetation42 (Table 1). BEC zones and subzones represent divisions that define the climate and dominant vegetation of an area. The first three capital letters represent the zonal information, based on the dominant tree species of the area, and the following two lower case letters describe the subzone. The first letter of the subzone name describes the relative precipitation, and the second letter describes the relative temperature. For example, in the “SBSwk3”, SBS stands for “sub-boreal spruce” and wk3 indicates that the subzone is “wk” or the wet-cool subzone; and the variant is “3” or the third climate variation type identified within this subzone. Each variant is drier, wetter, snowier, warmer, or colder than what is considered typical for the subzone in general43.
The SBS is characterized by two dominant tree species – hybrid white spruce and subalpine fir (Abies lasiocarpa (Hook.) Nutt.), as well as extensive stands of lodgepole pine in drier areas44. The SBS typically has shorter winters and longer growing seasons than boreal areas, allowing for a wide range of subzones. The SBSvk (sub-boreal spruce, very wet cool) zone has the highest annual precipitation and the longest growing season and is therefore the wettest biogeoclimatic unit in the SBS44. Snowfall data were unavailable, but this subzone has the lowest mean annual temperature of the SBS units, and paper birch (Betula papyrifera Marshall) spread throughout. The SBSdw3 encompasses a large area to the west of Prince George. The SBSdw3 is warm relative to other subzones with winter precipitation being relatively low and snowpacks with a mean depth of ~ 2 m. Growth-limiting factors in this subzone are drought on drier sites and frost on frost-prone and drier sites44. The SBSdw2 borders the SBSdw3 subzone to the south and is drier and warmer than the other subzones in the SBS due to its lower elevation and relatively low precipitation42. The Engelmann spruce – subalpine fir (ESSF) wk1 (Cariboo wet cool) zone occurs above the SBSwk zone between 1200 and 1500 m elevation. The ESSF is characterized by high precipitation (> 1000 mm), half of which falls as snow45.
Within each sample site, we established 10 transects, a minimum of 20 m apart, and each 50 m in length, for collection of fireweed plants. We walked along each transect line and collected a minimum of 10 flowers, from a minimum of five individual plants on each transect (yielding a total collection of ~ 100 flowers per site). We collected newly opened flowers where possible to try to limit environmental factors that could potentially affect flowers over time and as they age, such as light, temperature, wind, and rain. Flowers selected for sampling were cut at the base of the pedicle using small gardening shears. Floral samples were placed in labeled petri dishes and sealed with parafilm to ensure that floral parts, such as anthers and pollen, remained undisturbed and intact for analysis. Samples were placed in a cooler and were transported, stored, and analyzed at UNBC, Prince George, BC. No fireweed flower samples were collected from the 271-001 treatment site as none of the fireweed bloomed during the season of collection. Areas sampled were on publicly owned land (Crown land), where no permit is required for its collection for research purposes. A voucher specimen is housed at the University of Northern BC herbarium and can be publicly accessed by contacting the Faculty of Environment (voucher specimen #100-CHAMANG); the specimen was identified by Dr. Lisa Wood, Associate Professor, University of Northern BC. Our study complied with relevant institutional, national, and international guidelines and legislation.
Floral fluorescence analysis
Analysis of fluorescence was conducted on 15 flowers per site immediately after returning from the field to avoid floral degradation (Tables 2 and 3). Photographs were taken using a Leica dissecting microscope with digital camera and Zen Lite software. We used the stereomicroscope adapter system by NIGHTSEA with a royal blue light (wavelength range of 440–460 nm) to induce fluorescence. Stamens were separated from the rest of the flower and placed under the microscope to capture images with all the anthers in focus. We photographed stamen samples under white light (light emitted from microscope) and under the royal blue fluorescence filter. Analysis of resulting colour pixels captured by the photography was conducted using NIS-Elements Imaging Software. The stamen in each image were selected as areas of interest (AOI) and were isolated in the images (measured in pixels2) for a focused analysis. Colour parameters were assessed and calculated for each AOI by the software, listed in Table 2.
Pollen viability testing
Following the imaging of the fresh flowers for fluorescence analysis, pollen was mechanically removed from anthers and Brewbaker and Kwack’s (B and K) medium was prepared for pollen viability testing46,47. B and K medium was prepared by dissolving 50 mg boric acid, 150 mg calcium nitrate, 100 mg magnesium sulfate heptahydrate, and 50 mg potassium nitrate in 500 ml of deionized water. This stock solution was then stored at 4 °C. Sucrose was dissolved in the solution immediately before viability testing.
The amount of sucrose required to produce optimal germination of pollen grains varies between plant species46,47, and we were unable to find existing literature on the optimal sucrose content for fireweed pollen germination. We initially tested the pollen viability of fireweed using varying amounts of sucrose at 5, 10, 15, 20, 30, 40, 50, 60, and 70%. The optimal concentration of sucrose that induced the highest rate of pollen tube formation in our trial was 15%; therefore, all proceeding viability testing was completed using this concentration of sucrose.
Pollen grains became round once placed in B and K medium, and viable grains developed a long pollen tube46. To be classified as viable, the pollen tube produced needed to be longer than the diameter of the pollen grain itself47. Fresh pollen grains were placed on a depression microscope slide. Two drops of B and K medium were added to each slide and pollen grains were mixed into the media using a toothpick. Each slide contained the pollen grains of one flower. Fifteen slides were prepared per site, representing three replicate flowers from each of five individual replicate plants per site (Table 3). A cover slip was placed on top of the slide and slides were incubated for 24–36 h at room temperature, in a Petri dish lined with moist filter paper and sealed with parafilm to maintain humidity. Upon completion of the incubation period, slides were observed using an Eclipse FN1 Nikon microscope at 10× magnification. A microscope camera with NIS-Elements Imaging Software was used to view the pollen grains and capture images.
A total of 25 images were captured from each slide in a grid-like manner across the slide moving from the top left corner to the bottom right corner of the slide. The total number of pollen grains per slide were counted, and pollen viability was calculated for each flower and then averaged for control sites and treatment sites.
Amino acids analysis
The remaining flowers collected, varying in number depending on the abundance at each site, were dried in a kiln oven at 80 °C for 24 h in preparation for chemical analyses. Once dried, samples were ground using an IKA A 11 basic analytical mill. Drying and grinding of the plant materials is a standard process of tissue preparation for analysis of non-volatile compounds such as plant nutrients and glyphosate48. The removable parts of the IKAA analytical mill were rinsed with water between samples, and the remaining parts were blown out with forced air to minimize the likelihood of cross-contamination between grinding each sample.
There were fewer fireweed flowers at the sites treated one-year prior to sampling compared to two years prior, therefore samples were only selected to send for amino acid analysis from sites treated two years prior and their corresponding controls. The difference in abundance of fireweed was likely due to the time-since application, fireweed present at sites one-year post treatment were largely in the vegetative phase of growth. Testing for glyphosate-based residues was prioritized over amino acids to ensure that residues were present on the sites identified. Furthermore, we sent the whole flower for amino acid testing, rather than only the pollen, to both meet mass requirements for testing, and we assumed that some wildlife obtain nutrients through consumption of whole fireweed flower heads49, as the inflorescence is quite large.
Dried and ground fireweed flowers were subsampled to a weight of 0.5 g and sent to Central Testing Laboratories in Winnipeg, Canada, for amino acid testing. Amino acids were analyzed using the AccQ•Tag UPLC Method, which is a precolumn derivatization technique for amino acids. This method derivatizes amino acids, separates the derivatives with reversed-phase UPLC, and quantitates the derivatives based on UV absorbance or fluorescence intensity. The Waters AccQ•Tag Ultra Reagent (6-aminoquinolyl-N-hydroxysuccinimidyl carbamate, or AQC) is an N-hydroxysuccinimide-activated heterocyclic carbamate, a class of amine-derivatizing compounds. The AccQ•Tag Ultra reagent converts both primary and secondary amino acids to stable derivatives. The structure of the derivatizing group is the same for all amino acids, adding both UV absorbance and fluorescent character. Excess reagent hydrolyzes to yield 6-aminoquinoline (AMQ), a non-interfering by-product. Samples were tested for concentrations of: Alanine, arginine, aspartic acid, glutamic acid, glycine, histidine, isoleucine, leucine, lysine, phenylalanine, proline, serine, threonine, tyrosine, and valine. We also tested for total crude protein.
Glyphosate residue analysis of floral tissues
Composite samples were created to meet a minimum 5 g dry matter mass requirements for glyphosate residue analysis of each sample. At least three replicates were made from flowers across each site (Table 3).
Glyphosate residues in fireweed tissues were analyzed by the Agriculture and Food Laboratory at the University of Guelph using liquid chromatography tandem mass spectrometry (LC-MS/MS). The glyphosate screening process reported each individual component separately, if detected. Prior to analysis, an aqueous extract of a homogenized subsample of plant material was prepared. Sample extracts were acidified and separated using solid-phase extraction. The LC instrument employed a cation guard column for chromatographic separation (Micro-Guard Cation-H cartridge 30 × 4.6 mm), a mobile phase A (0.1% formic acid in nanopure grade H2O) and B (acetonitrile), with a flow rate of 1 ml/min and a total run time of 12 min. Retention time for glyphosate was 0.9 min. The autosampler temperature was 8 °C, injection volume was 50 µl, and column oven temperature was 20 ± 3 °C. Validation of results was completed using a five-step detection method to ensure no false positives. Blanks were tested along with samples to check for carry over; no coextracting contaminants were detected, the peak detected in the samples had the same retention time for two ion transitions, the ion ratios were correct in all instances relative to the certified standard used by the laboratory, and there was consistency among sample residues found, indicating reliability. The lab also reported when samples were considered above the minimum detection limit (MDL) of 5 ppb, and above the MDL but below the minimum quantification limit (MQL) of 20 ppb. For our data analysis, these parameters were used to indicate the presence of glyphosate residues. When a sample fell above the MDL of 5 ppb but below the MQL of 20 ppb, we used a conservative value of 6 ppb, so that these positive detections could be acknowledged, but not overestimated.
Statistical analysis
The data were analyzed using IBM SPSS 28.1. Normality of distribution was assessed using Shapiro-Wilk significance with a confidence level of 95%. If the data were normal, significant differences between the control and treated were analyzed with a one-way ANOVA and a Tukey HSD post-hoc test. If the data were non-parametric, we attempted to transform the data using methods appropriate for datasets containing zeros, including square root, log10 (plus constant), and Box Cox transformation methods. Where these were unsuccessful, data were assessed for significance between the means using Kruskal Wallis or Mann Whitney U tests. Histograms were used to assess distributions so that any generalized linear models created were fit with the appropriate distribution curve.
Controlled experiment data
Data were grouped by growth chamber and by week to allow comparison between treatment and control groups. Linear regression was used to determine when independent treatment variables (including week#, chamber#, and treatment) had a significant impact on the response variable for normally distributed height data. Generalized linear modelling with a gamma distribution and a log link function was used for photosynthetic efficiency data that were not normally distributed. A percentage of total incidence was calculated for the number of shoot apices that were damaged out of the total plants assessed.
Operational field data
Amino acids were analyzed using principal components (PC) to capture the common variation among the 15 amino acids tested. The first PC was graphed to visually demonstrate differences between control and treated samples.
Glyphosate residues, pollen viability, and fluorescence colour properties were analyzed for differences between years post application (1 or 2) and for differences between treatments (control or treated) in fireweed flowers. Since repeated measures were taken across the fluorescence data to appropriately capture the variation that existed, those repeated measures were averaged to true replicate (site level) prior to analyzing for significant differences between controls and treated samples.
Results
Growth chamber experiment
Week 1 measurements were made pre-treatment, while weeks 2–5 were post-treatment. Height data was normally distributed, and both one-way ANOVA and regression analysis indicate that plants were significantly impacted by week (t = 5.212, p < 0.001) and treatment (t = -2.265, p = 0.025) but not by chamber condition (t = 0.584, p = 0.561). This result indicates that the range of temperature exposures made little difference on the overall range of growth of fireweed plants, and the treatment and timing of height measurement (number of weeks post treatment) were both important factors in the outcome of plant height (r = 0.442, r2 = 0.195, p < 0.001).
Significant differences in photosynthetic efficiency (PE) were found between treated and control plants across weeks of experimentation post-treatment, especially in newly formed leaves (those formed post glyphosate-based herbicide (GBH) application); however, there were no significant differences between growth chambers. Data from growth chambers were used as replicates given that there were no significant differences between them. When only the newest leaves were included in analysis, PE was significantly lower in all treated plants compared to controls in all weeks post-treatment (Mann Whitney U = 267.50, p < 0.001) (Fig. 2).
Fireweed (Chamaenerion angustifolium) plant measurements at week 1 (pre-treatment) and week 2–5 (post-treatment) for control plants and plants treated with sub-lethal concentration of glyphosate-based herbicide (GBH). Top: Mean chlorophyll fluorescence values (Fv/Fm) measuring photosynthetic efficiency, Bottom: Shoot height measurements between the root collar and shoot apex.
In fireweed treated with GBH, many plants responded with dieback of the stem apex (Fig. 3). This response was seen in 73% of treated plants by the end of the experiment; we did not observe this dieback in any of the control plants. Shoot apex dieback was first observed ten days after treatment.
Operational forests results
Glyphosate residue
The majority of the composite floral samples tested for glyphosate residues one and two-years post applications, from the operational cutblocks, contained glyphosate residues (Fig. 4).
Mean (+/- 2 SE) glyphosate residue present in C. angustifolium flowers collected from operational forestry cutblocks untreated (control sites) and treated with glyphosate-based herbicides sampled in northern BC, Canada, one- and two-years post glyphosate treatment (α = 0.05). Three replicate samples were run from each of the three composite samples which contained 60 to 90 individual flowers and buds.
The mean level of glyphosate residue detected in the one-year post application sites was 19.6 ppb with 51.0 ppb being the highest value. The mean level present in samples from the 2019-treated sites (sampled two years post treatment) was 18.9 ppb, with 62.0 ppb being the highest value measured. Glyphosate residues were not detected in control samples; therefore, there was a significant difference detected between the amount of glyphosate residue present between controls, treated 1-year post application, and treated 2-years post application samples (Kruskal Wallis, H = 20.017, p < 0.001, n = 45). There were no statistical differences in glyphosate residue present found between one- and two-years post application sites (Mann Whitney U standardized test statistic = 0.021, p = 0.983, n = 30).
Stamen fluorescence
Fireweed stamen and pollen were substantially illuminated by the royal blue light fluorescence filter (wavelength 440–460 nm) (Fig. 5).
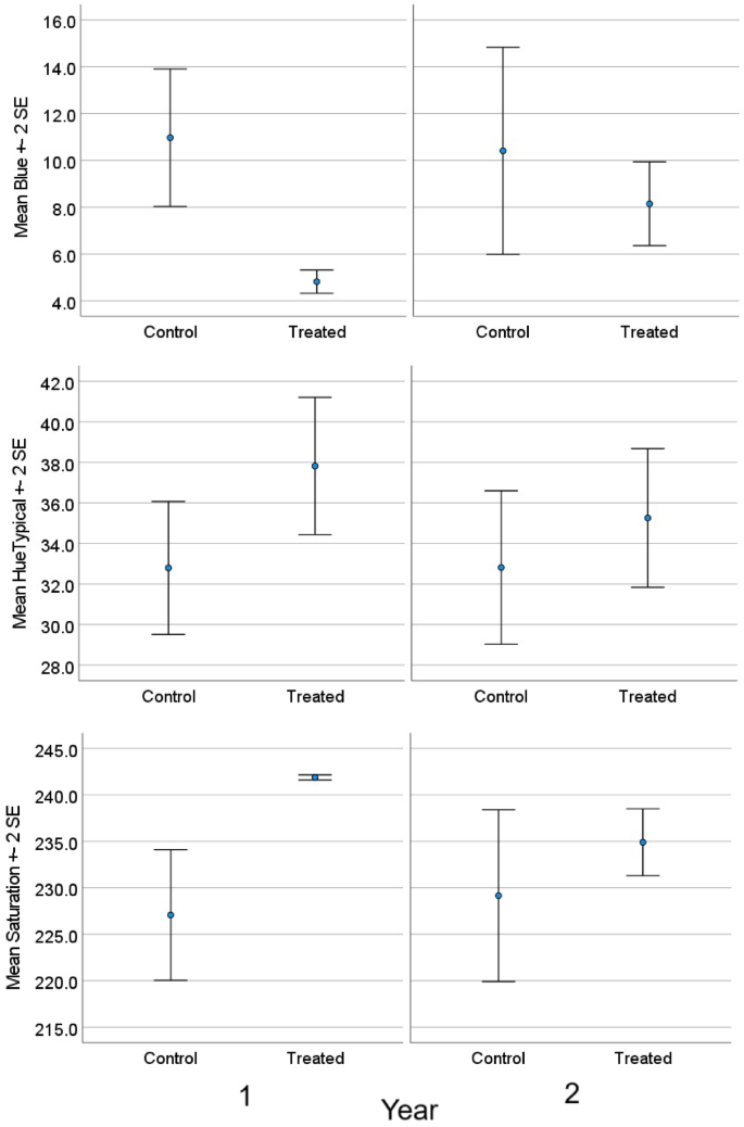
The stamen fluorescence data were normally distributed. There were no significant differences in the measured colour characteristics (Table 2) between controls and sites treated two-years post application. However, upon comparing treated sites one-year post application with controls, there were significant differences in mean blue pixel intensity (mean blue) (F = 17.957, p = 0.003; Fig. 6), the most frequent hue observed (hue typical) (F = 6.681, p = 0.032; Fig. 6), and mean pixel saturation value (mean saturation) (F = 18.134, p = 0.003; Fig. 6). The range of mean blue decreased, hue typical increased, and mean saturation increased in treated samples (Table 4).
Mean blue pixel intensity, most frequent hue observed (mean hue typical), and mean pixel saturation (+/- 2 SE) of stamen of C. angustifolium flowers photographed from control samples and glyphosate-based herbicide treated samples one- and two-years post-treatment. Stamen photographed under royal blue (440–460 nm) fluorescence (α = 0.05). Samples collected from untreated operational forestry cutblocks (control sites; n = 5) and cutblocks treated in northern BC, Canada, one- (n = 5) and two-years (n = 5) prior to sampling.
Pollen viability
The pollen viability data were not normally distributed. Pollen viability differed significantly between control and treated sites (Kruskal Wallis, H = 15.569, p < 0.001), between one- and two-years post application sites (H = 20.925, p = 0.021), and between one-year post application and control sites (H = 30.602, p < 0.001). However, no significant difference was observed between two-years post application and control sites (H = 9.676, p = 0.303) (Fig. 7).
Amino acids
Amino acid data were normally distributed. GBH treated fireweed flowers had lower total amino acids than controls (Table 5). Upon analysis of 15 individual amino acids in fireweed flowers, and through a principal component analysis of the common variation in these amino acids, we found that fireweed flowers harvested from areas treated with GBH two years prior to sampling generally contained significantly lower amounts of the amino acids (F = 9.267, p = 0.005, n = 28) (Fig. 8). The principal component tested accounted for 74.83% of the variation amongst the 15 amino acids. Total crude protein (F = 0.617, p = 0.439), and amino acids glutamic acid (F = 1.523, p = 0.227) and serine (F = 0.377, p = 0.544) were the only compounds insignificantly different between control and treated samples in fireweed flowers.
Principal component analysis of 15 amino acids found in fireweed (C. angustifolium) floral tissues, which represented 74.83% of the common variation across these amino acids. Floral samples collected from cutblocks treated with glyphosate-based herbicides two-years prior to sampling, and adjacent control areas in the Omineca region of northern British Columbia, Canada.
Discussion
We confirmed the presence of glyphosate residues in floral tissues one and two-years post-treatment. The amount of glyphosate residue present in floral tissues remained similar between one- and two-years post treatment, likely due to the negative exponential degradation of residues in floral tissues which leads to the majority of the glyphosate residue degrading within the first year after application5. Even though residues may not persist at high levels for greater than one year, our research suggests that the effects of glyphosate residues to plant anatomy and physiology may persist for a longer period; however, how long these effects last is still unknown.
Stress symptoms were confirmed in fireweed after exposure to glyphosate-based herbicide (GBH). Shoot dieback combined with overall restricted height growth and reduced photosynthetic efficiency in treated plants during our controlled experiment confirms that stress is induced by GBH treatment in fireweed plants that have been exposed to sub-lethal concentrations. Shoot dieback is likely a strategy that only some plant species implement to rid their tissues of contaminants, as this phenomenon is not consistent across the focal species of all studies12. Alternatively, shoot dieback could be associated with a higher concentration accumulation of glyphosate at the shoot meristem14. Notably, it is the reproductive structures at the shoot apex of the treated fireweed plants that are impacted by the dieback, suggesting that reproductive capacity would be delayed and potentially these plants would yield no fruit or seed production within the first-year post-treatment. Thus, we can conclude that, with respect to Objective 1 of our study, growth potential of fireweed is reduced significantly over the first year after application, which in turn reduces its potential to reproduce for at least one year. This is further supported by the operational samples tested which showed significantly reduced pollen viability and fluorescence one-year post-GBH treatment.
A reduction in pollen viability, which we used as an indicator for reproductive capacity (Objective 2), was present in fireweed one-year post application indicating that GBH initially had a significant impact on the quantity of pollen that could successfully germinate and fertilize an ovule. However, the fact that there was no significant difference between pollen viability in samples treated two years prior to collection and the controls, indicated that there is likely a recovery in pollen viability over time. This recovery likely varies by species4. We have observed that the relationships between glyphosate residue concentration and plant morphological and/or physiological response are not linear12,50. Glyphosate residue concentrations decline at a negative exponential rate5 while other parameters, such as metal concentrations in tissues51, dry matter and digestible protein50, and secondary metabolite concentrations12 change at different rates over recovery periods post-application. As glyphosate degrades, concentrations of AMPA and other degradation products may increase, which could also have stress-inducing effects on fireweed plants.
Conditions and disturbances that lead to reductions in pollen viability, such as the application of sub-lethal GBH, will inevitably greatly reduce fruit production and therefore the amount of forage/food available in treated areas containing plants such as fireweed. We can conclude that the reproductive capacity of fireweed is reduced within one-year post-treatment by GBH, based on changes to pollen viability. Further research should include the investigation of female floral components to determine if they are also altered by GBH and whether they follow a similar recovery timeline. Furthermore, additional studies are required to quantify fruit and seed set in fireweed and other plants to determine the total impact of GBH on forest food quantity.
Our findings demonstrate that GBH have an impact on the fluorescence of male reproductive structures of forest understory plants. The reduction in the fluorescence emission of blue spectral wavelengths of anthers and pollen within the first-year post GBH treatment potentially impairs the biocommunication between flowers and arthropods, a function that is vital to ecosystem processes like pollination. Bees have trichromatic vision with ultraviolet, blue, and green photoreceptors in their compound eyes26,52. In bumblebees (Bombus spp.) for example, preferential excitation of one or two of the photoreceptor types plays an important role in innate colour preferences52 and bumblebees are able to discriminate minute changes in the intensities of colour53,54. Therefore, the changes we observed to the mean blue intensity of the anthers and pollen could mean that the blue photoreceptor in a bumblebee’s compound eye would be less likely to detect a flower52. Additionally, the increase in typical hue observed indicates that the dominant wavelength present may no longer be the blue spectral wavelength. Combined with an increase in saturation, it is possible that the presentation of other spectral wavelengths in GBH treated plants are greater than that of the blue wavelength, potentially confusing biocommunication between flowers and pollinators (Objective 2). According to our results, the impact on fluorescence is mostly resolved by the second-year post-treatment indicating morphological recovery of the flower. Further research is required to determine if the changes in fluorescence we observed actually do result in changes in biocommunication. Further research should also determine if the changes in fluorescence of fireweed flowers are correlated to changes in concentrations of anthocyanins, or other secondary metabolites, which serve other functions in addition to aiding in biocommunication.
Decreased amino acids were noted in our samples two-years post-treatment, indicative of decreased nutritional value in fireweed flowers (Objective 3). Since we do not have amino acid concentration data from one-year post treatment it is impossible to determine if the amino acid levels are recovering at year two, as was shown with the other characteristics we investigated. Studies have shown decreased levels of nitrogen in plants treated with glyphosate19, and nitrogen is essential for the synthesis of amino acids and protein, therefore reduced amino acids are likely related to changes in nitrogen combined with the inhibition of EPSPS in the shikimate metabolic pathway13,15,16. The change noted in amino acids may have a large impact on insects that derive greater proportions of their diet from pollen and nectar. For example, queen bees eat a great deal of pollen and nectar to build fat reserves for hibernation, and the larvae feed on pollen (in the form of bee bread) that is brought to the colony37, therefore they may be particularly susceptible to a reduced content of amino acids. Low amino acid content was correlated to low pollen collection: brood mass ratio55 and to low body mass in Bombus terrestris56.
The pollen of fireweed flowers may be equal or greater in total amino acids than what is recommended for bee nutrition, as we know it is highly sought after and used by bees in areas of northern BC29,32,38,57, but that is not evident in our data. Total amino acid concentrations over 200 mg/g are beneficial for bumblebees, and specific amino acids are important in higher quantities for optimal production, such as alanine, leucine, phenylalanine, proline, and tyrosine55. Our samples were much lower in total amino acid content (Table 5), which may be due to the fact that we tested whole flowers, and not just pollen. Future research should focus on the collection of solely pollen in GBH treated areas to elucidate these findings. Additionally, profiling of fireweed flowers has been conducted in parts of northern Europe for use in nutrition supplements, some showing differences in secondary metabolites based on site conditions20,21,22. Future investigation should apply this method of chemical profiling to areas treated with GBH to determine how this factor compares to natural environmental variation over larger areas.
Conclusion
Fireweed is often a pioneer species responsible for nutrient cycling in disturbed environments, provides an important source of floral resources for pollinating insects and birds, and is also an ethnobotanically important medicinal plant. This plant is a prominent component of the herbaceous layer in forests of northern British Columbia and shows stress symptoms after sub-lethal exposure to glyphosate-based herbicides used for vegetation management. These symptoms include reduced growth and reproductive capacities. Specifically, height, reproductive shoot apex formation, pollen viability, floral fluorescence, and amino acid content of flowers are all altered for at least one-year post-exposure. These changes to plant form and composition have significant implications for the function of the ecosystem in these managed areas, including potential to change biocommunication with insect pollinators, the quality, and/or the quantity of food produced for wildlife and humans.
Data availability
The datasets generated during the current study are available by request to the corresponding author, Dr. Lisa Wood; please direct inquires to lisa.wood@unbc.ca.
References
Hunt, J. & Matute, P. Review of glyphosate use in British Columbia forestry. Technical Report#21, FPInnovations Canada. Project number: 301013763. (2019).
Newton, M., Horner, L. M., Cowell, J. E., White, D. E. & Cole, E. C. Dissipation of glyphosate and aminomethylphosphonic acid in North American forests. J. Agric. Food Chem. 42, 1795–1802 (1994).
Thompson, D. G. et al. Initial deposits and persistence of forest herbicide residues in sugar maple (Acer saccharum) foliage. Can. J. Res. 24, 2251–2262 (1994).
Wood, L. J. The presence of glyphosate in forest plants with different life strategies one year after application. Can. J. Res. 49, 586–594. https://doi.org/10.1139/cjfr-2018-0331 (2019).
Botten, N., Wood, L. J. & Werner, J. R. Glyphosate remains in forest plant tissues for a decade or more. For. Ecol. Manag. 493, 119259. https://doi.org/10.1016/j.foreco.2021.119259 (2021).
Nguyen, T. H., Malone, J. M., Boutsalis, P., Shirley, N. & Preston, C. Temperature influences the level of glyphosate resistance in barnyard grass (Echinochloa colona). Pest Manage. Sci. 72, 1031–1039. https://doi.org/10.1002/ps.4085 (2015).
Okumu, M. N., Vorster, B. J. & Reinhardt, C. F. Growth stage and temperature influence glyphosate resistance in Conyza bonariensis (L.) Cronquist. S Afr. J. Bot. 121, 248–256. https://doi.org/10.1016/j.sajb.2018.10.034 (2019).
Pline, W. A., Edmisten, K. L., Wilcut, J. W., Wells, R. & Thomas, J. Glyphosate-induced reductions in pollen viability and seed set in glyphosateresistant cotton and attempted remediation by gibberellic acid (GA3). Weed Sci. 51, 19–27. (2003). https://doi.org/10.1614/0043-1745
Bott, S. et al. Glyphosate-induced impairment of plant growth and micronutrient status in glyphosate-resistant soybean (Glycine max L). Plant. Soil. 312 (1–2), 185–194. https://doi.org/10.1007/s11104-008-9760-8 (2008).
Gomes, M. P. et al. Differential effects of glyphosate and aminomethylphosphonic acid (AMPA) on photosynthesis and chlorophyll metabolism in Willow plants. Pestic. Biochem. Physiol. 130, 65–70. (2016). https://doi.org/10.1016/j.pestbp.2015.11.010
Golt, A. R. & Wood, L. J. Glyphosate-based herbicides alter the reproductive morphology of Rosa acicularis (prickly rose). Front. Plant Sci. 12 https://doi.org/10.3389/fpls.2021.698202 (2021).
Timms, K. P. & Wood, L. J. Sub-lethal glyphosate disrupts photosynthetic efficiency and leaf morphology in fruit-producing plants, red raspberry (Rubus idaeus) and highbush (2020).
Duke, S. O., Powles, S. B. & Glyphosate A once-in-a-century herbicide. Pest Manag. Sci. 64 (4), 319–325. https://doi.org/10.1002/ps.1518 (2008).
Satchivi, N. M., Wax, L. M., Stoller, E. W. & Briskin, D. P. Absorption and translocation of glyphosate isopropylamine and trimethylsulfonium salts in abutilon Theophrasti and setaria faberi. Weed Sci. 48 (6), 675–679 (2000).
Forlani, G., Mangiagalli, A., Nielsen, E. & Suardi, C. M. Degradation of the phosphonate herbicide glyphosate in soil: evidence for a possible involvement of unculturable microorganisms. Soil Biol. Biochem. 31 (7), 991–997. https://doi.org/10.1016/S0038-0717(99)00010-3 (1999).
Kataoka, H., Ryu, S., Sakiyama, N. & Makita, M. Simple and rapid determination of the herbicides glyphosate and glufosinate in river water, soil and Carrot samples by gas chromatography with flame photometric detection. J. Chromatogr. A. 726 (1), 253–258. https://doi.org/10.1016/0021-9673(95)01071-8 (1996).
Wang, C-Y. Effect of glyphosate on aromatic amino acid metabolism in purple Nutsedge (Cyperus rotundus). Weed Technol. 15, 628–635 (2001).
Klaser Cheng, D. M. in Phytochemistry in Ethnobotany: A Phytochemical Perspective. 112 (eds Schmidt, B. M.) (Wiley-Blackwell, 2018). & Klaser Cheng D.M.)
Gomes, M. P. et al. Alteration of plant physiology by glyphosate and its by-product aminomethylphosphonic acid: an overview. J. Exp. Bot. 65 (17), 4691–4703. https://doi.org/10.1093/jxb/eru269 (2014).
Kaškonienė, V. et al. Evaluation of phytochemical composition of fresh and dried Raw material of introduced chamerion angustifolium L. using chromatographic, spectrophotometric and chemometric techniques. Phytochemistry 115, 184–193. https://doi.org/10.1016/j.phytochem.2015.02.005 (2015).
Schepetkin, I. A. et al. Therapeutic potential of polyphenols from epilobium angustifolium (fireweed). Phytother Res. 30, 1287–1297. https://doi.org/10.1002/ptr.5648 (2016).
Uminska, K. et al. Amino acid profiling in wild Chamaenerion angustifolium populations applying chemometric analysis. J. Appl. Pharm. Sci. 13 (5), 171–180. https://doi.org/10.7324/JAPS.2023.108931 (2023).
Burgess, K. H. Florivory: the ecology of flower feeding insects and their host plants. Ph.D. Dissertation, Harvard University, Cambridge, MA (1991).
Kevan, P. G. & Baker, H. G. Insects as flower visitors and pollinators. Ann. Rev. Entomol. 28, 407–453 (1983).
Khoo, H. E., Azlan, A., Tang, S. T. & Lim, S. M. Anthocyanidins and anthocyanins: colored pigments as food, pharmaceutical ingredients, and the potential health benefits. Food Nutr. Res. 61 https://doi.org/10.1080/16546628.2017.1361779 (2017).
Mori, S. et al. Biocommunication between plants and pollinating insects through fluorescence of pollen and anthers. J. Chem. Ecol. 44, 591–600 (2018).
Nouvian, M., Foster, J. J. & Weidenmuller, A. Glyphosate impairs aversive learning in bumblebees. Sci. Total Environ. 898 https://doi.org/10.1016/j.scitotenv.2023.165527 (2023).
Routley, M. B. & Husband, B. C. Sexual interference within flowers of chamerion angustifolium. Evol. Ecol. 20, 331–343 (2006).
Fleenor, R. Plant Guide for Fireweed (Chamerion angustifolium) (USDA-Natural Resources Conservation Service, 2016).
Marles, R. J., Clavelle, C., Monteleone, L., Tays, N. & Burns, D. Natural Resources Canada,. Aboriginal plant use in Canada’s northwest boreal forest, 1st Edition 238–239 (2012).
Myerscough, P. J. Biological flora of the British Isles. J. Ecol. 68, 1047–1074 (1980).
Swales, D. E. Nectaries of certain Arctic and sub-arctic plants with notes on pollination. Rhodora 81, 363–407 (1979).
Ringius, G. S. & Sims, R. A. Indicator plant species in Canadian forests, 1st Edition. 116–117 Canadian Forest Service, Natural Resources Canada, (1997).
Turner, N. J. Food plants of Interior First Peoples. 2nd edn, 132–133 (The Royal British Columbia Museum, 2017a).
Turner, N. J. Food plants of Coastal First Peoples. 2nd edn, 106–107 (The Royal British Columbia Museum, 2017b).
Belcourt, C. Medicines to help us: traditional Metis plant use. 1st edn, 25–26 (The Gabriel Dumont Institute of Native Studies and Applied Research, 2007).
Williams, W., McLean, A., Tucker, R. & Ritcey, R. Deer and cattle diets on summer range in British Columbia. J. Range Manag. 33, 55–59 (1978).
Kennedy, B. F., Sabara, H. A., Haydon, D. & Husband, B. C. Pollinator-mediated assortative mating in mixed ploidy populations of chamerion angustifolium (Onagraceae). Oecologia 150, 398–408 (2006).
Lu, C. & Zhang, J. Effects of water stress on photosystem II photochemistry and its thermostability in wheat plants. J. Exp. Bot. 50 (336), 1199–1206 (1999).
Murchie, E. H. & Lawson, T. Chlorophyll fluorescence analysis: a guide to good practice and Understanding some new applications. J. Exp. Bot. 64 (13), 3983–3998 (2013).
Maxwell, K., Johnson, N. & G Chlorophyll fluorescence - a practical guide. J. Exp. Bot. 51, 659–668 (2000).
DeLong, C., Tanner, D. & Jull, M. J. A field guide for site identification and interpretation for the southwest portion of the Prince George Forest Region. (Province of British Columbia: Ministry of Forests, 1993). https://www.for.gov.bc.ca/hfd/pubs/docs/Lmh/Lmh24.pdf
Government of BC (British Columbia). Biogeoclimatic Ecosystem Classification Program. (2024). https://www.for.gov.bc.ca/hre/becweb/system/how/index.html#climate_classification
(FSBC) Forest Service British Columbia. Biogeoclimatic Ecosystem Classification program: Zone and Subzone Descriptions. (2007). https://www.for.gov.bc.ca/hre/becweb/resources/classificationreports/subzones/index.html
Meidinger, D., McLeod, A., Mackinnon, A., DeLong, C. & Hope, G. A field guide for identification and interpretation of ecosystems of the Rocky mountain trench, Prince George forest region. Province of British columbia, ministry of forests. Land. Manage. Handb. 15, 0229–1622 (1988).
Brewbaker, J. L. & Kwack, B. H. The essential role of calcium ions in pollen germination and pollen tube growth. Am. J. Bot. 50, 747–858 (1963).
Pline, W. A. et al. Use of digital image analysis, viability stains, and germination assays to estimate conventional and glyphosate-resistant cotton pollen viability. Crop Sci. 42, 2193–2200. https://doi.org/10.2135/cropsci2002.2193 (2003).
Turner, M. D. Long-term effects of daily grazing orbits on nutrient availability in Sahelian West africa: I. Gradients in the chemical composition of rangeland soils and vegetation. J. Biogeogr. 25 (4), 669–682. https://doi.org/10.1046/j.1365-2699.1998.2540669.x (1998).
McCall, A. C. & Irwin, R. E. Florivory: the intersection of pollination and herbivory. Ecology Letters 9(12), 1351–1365 DOI10.1111/j.1461-0248.2006.00975.x (2006).
Werner, J. R., Wood, L. J., Botten, N. & Fredeen, A. Potential lasting impacts of industrial herbicides on ungulate nutrition. Can. J. Res. 52, 1098–1109. https://doi.org/10.1139/cjfr-2021-0283 (2022).
Wood, L. J., Botten, N., Fredeen, A. L. & Werner, J. R. Glyphosate-based herbicide contributes to nutrient variability in forest plants. Front. Glob Change. 7 https://doi.org/10.3389/ffgc.2024.1463454 (2024).
Ostroverkhova, O. et al. Understanding innate preferences of wild bee species: responses to wavelengthdependent selective excitation of blue and green photoreceptor types. J. Comp. Physiol. A. 204, 667–675 (2018).
Backhaus, W., Menzel, R. & Kreibl, S. Multidimensional scaling of colour similarity in bees. Biol. Cybern. 56, 293–304 (1987).
Gumbert, A. Colour choices by bumble bees (Bombus terrstris): innate preferences and generalization after learning. Behav. Ecol. Sociobiol. 48, 36–43 (2000).
Barraud et al. Variations in nutritional requirements across bee species. Front. Sustainable Food Syst. https://doi.org/10.3389/fsufs.2022.824750 (2022).
Archer, C. R. et al. Complex relationship between amino acids, fitness and food intake in Bombus terrestris. Amino Acids. 53, 1545–1558. https://doi.org/10.1007/s00726-021-03075-8 (2021).
Mosquin, T. & Hayley, D. E. Chromosome numbers and taxonomy of some Canadian Arctic plants. Can. J. Bot. 44 (9), 1209–1218. https://doi.org/10.1139/b66-132 (1966).
Acknowledgements
The authors would like to thank Deniz Divanli and Kate Rozmarniewich for their assistance in field sampling, data collection, and laboratory sample analysis.
Author information
Authors and Affiliations
Contributions
L.J.W – supervision, funding acquisition, resource provision, field sampling, experimental design, data analysis, manuscript compilation, and revision. A.R.G – field sampling, laboratory analysis, data analysis, writing, revision. L.B-K – carried out experimental protocol, laboratory analysis, data analysis, writing, revision. B.H – field sampling, laboratory analysis, data analysis, writing.
Corresponding author
Ethics declarations
Competing interests
The authors declare no competing interests.
Additional information
Publisher’s note
Springer Nature remains neutral with regard to jurisdictional claims in published maps and institutional affiliations.
Rights and permissions
Open Access This article is licensed under a Creative Commons Attribution-NonCommercial-NoDerivatives 4.0 International License, which permits any non-commercial use, sharing, distribution and reproduction in any medium or format, as long as you give appropriate credit to the original author(s) and the source, provide a link to the Creative Commons licence, and indicate if you modified the licensed material. You do not have permission under this licence to share adapted material derived from this article or parts of it. The images or other third party material in this article are included in the article’s Creative Commons licence, unless indicated otherwise in a credit line to the material. If material is not included in the article’s Creative Commons licence and your intended use is not permitted by statutory regulation or exceeds the permitted use, you will need to obtain permission directly from the copyright holder. To view a copy of this licence, visit http://creativecommons.org/licenses/by-nc-nd/4.0/.
About this article
Cite this article
Wood, L.J., Golt, A.R., Berg-Khoo, L. et al. Reduced function in Chamaenerion angustifolium after sublethal glyphosate exposure. Sci Rep 15, 31155 (2025). https://doi.org/10.1038/s41598-025-16938-x
Received:
Accepted:
Published:
Version of record:
DOI: https://doi.org/10.1038/s41598-025-16938-x







