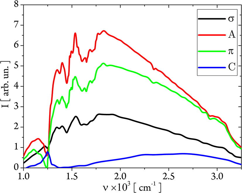
Fig. 8

Intensity signals for a CaF2 bare prism, \({\text{I}}_{\text{ref}}\text{(} \upnu,{\varphi}_{A}\text{,}{\theta}_{0}\text{)}\), obtained for the four different values of \({\varphi}_{A}\) and \(\theta\) equal to \({\theta}_{0}\).

Intensity signals for a CaF2 bare prism, \({\text{I}}_{\text{ref}}\text{(} \upnu,{\varphi}_{A}\text{,}{\theta}_{0}\text{)}\), obtained for the four different values of \({\varphi}_{A}\) and \(\theta\) equal to \({\theta}_{0}\).