Fig. 8
From: Fault classification in the architecture of virtual machine using deep learning

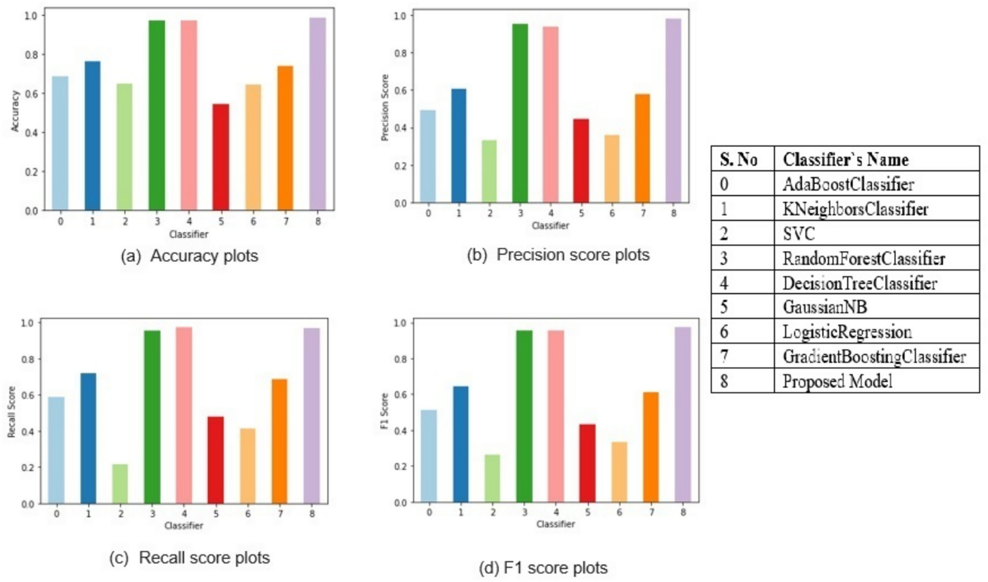
Metrics performance evaluation plots of each model.
From: Fault classification in the architecture of virtual machine using deep learning

Metrics performance evaluation plots of each model.