Fig. 28
From: Fault location method for hybrid MTDC system based on LCC signal injection strategy

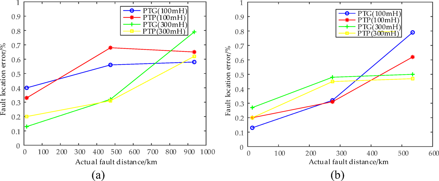
Location error under different boundary conditions. (a) Location error of L1; (b) Location error of L2
From: Fault location method for hybrid MTDC system based on LCC signal injection strategy

Location error under different boundary conditions. (a) Location error of L1; (b) Location error of L2