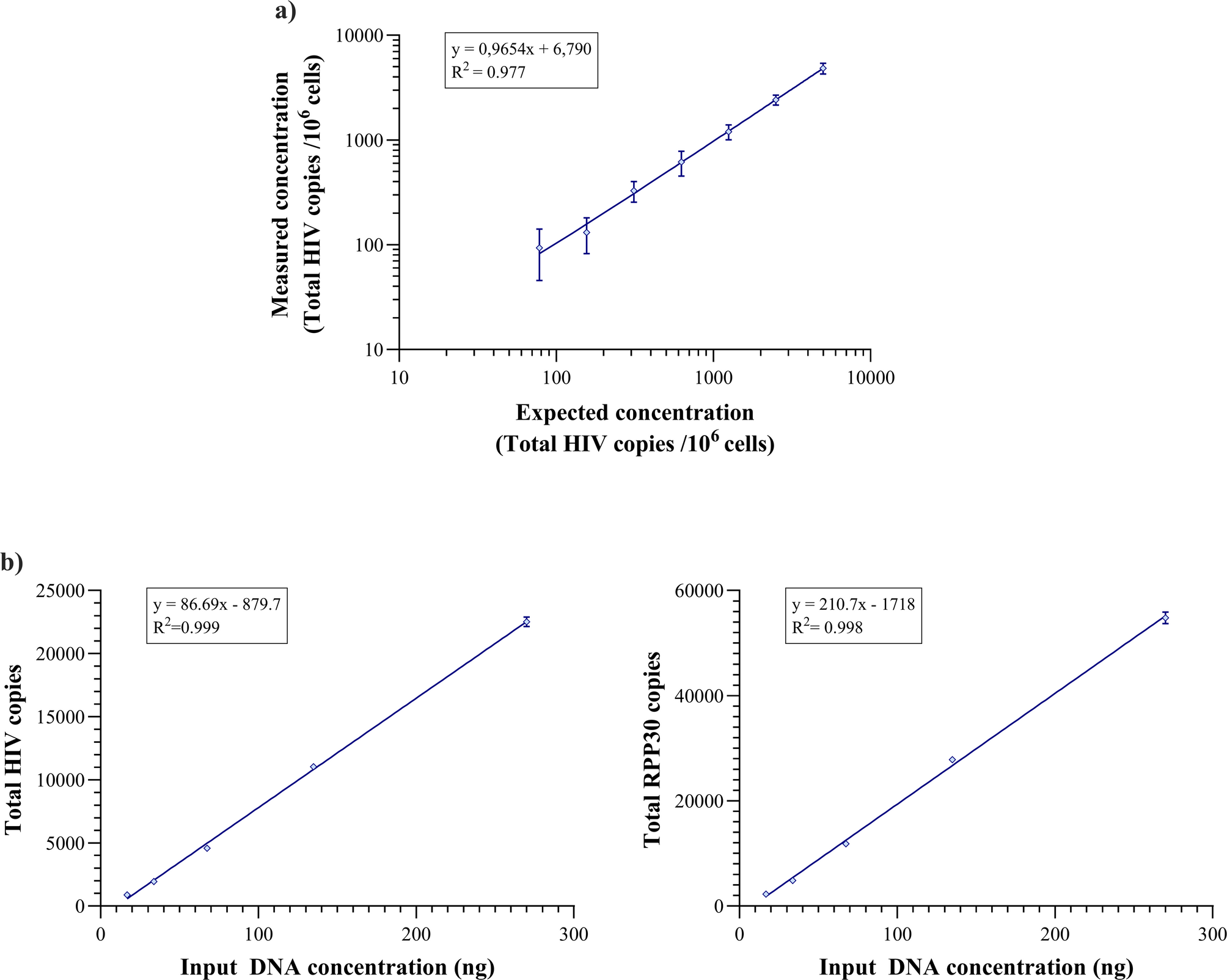
Fig. 2

Linear dynamic range of the total HIV DNA assay. (a) Measured concentration plotted against the expected total HIV copies/10⁶ cells in serial dilutions of 8E5 cell DNA spiked into PBMCs DNA from an HIV-negative donor. (b) Total HIV copies and total RPP30 copies plotted against the input DNA concentration of the singleplex assays. Data was fitted to a simple linear regression model.