Fig. 3
From: ADHD traits and financial decision making in stock trading

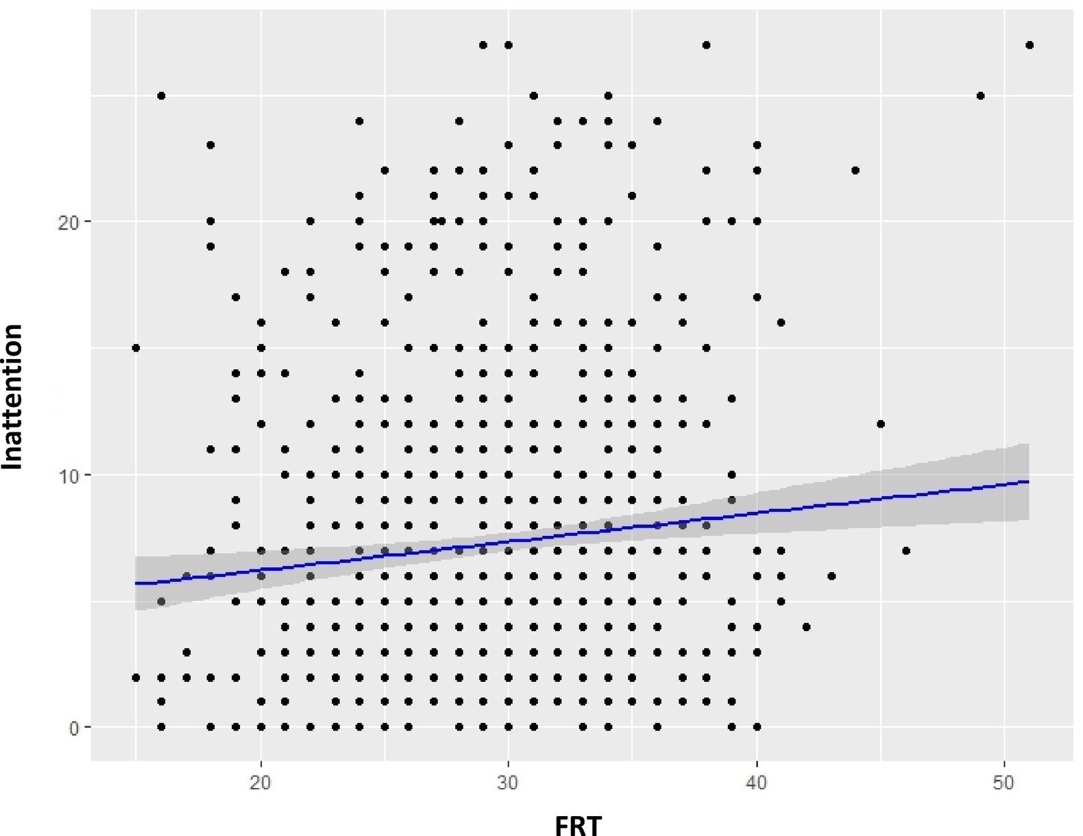
Correlation between Inattention score and Financial Risk Tolerance (FRT). Each point represents an individual participant’s scores. r = 0.103, p = 0.01.
From: ADHD traits and financial decision making in stock trading

Correlation between Inattention score and Financial Risk Tolerance (FRT). Each point represents an individual participant’s scores. r = 0.103, p = 0.01.