Abstract
Attention-Deficit/Hyperactivity Disorder (ADHD) is a common neurodevelopmental condition characterised by inattention and impulsivity. While its effects on academic and occupational functioning are well established, less is known about how ADHD traits relate to financial behaviours, particularly in high-risk contexts such as online trading. This cross-sectional study examined associations between ADHD traits and financial decision-making in a sample of 945 active online traders. Participants were assessed using a validated self-report scale for ADHD traits and standardised measures of financial risk tolerance (FRT), trading activity, and portfolio performance. The median participant age was 34 years, with 74.5% identifying as male. Based on self-report, 5.7% of participants met DSM-5 symptom criteria suggestive of ADHD, though no clinical diagnosis was made. Participants with ADHD traits demonstrated significantly higher FRT and greater speculative risk-taking. ADHD traits correlated positively with FRT and negatively with portfolio returns. Regression analyses revealed that increased trading frequency, speculative risk-taking, and higher return expectations predicted greater ADHD trait expression, while higher actual portfolio returns and higher investment risk scores were associated with lower ADHD traits. Though causality cannot be inferred, traits like inattention and impulsivity might contribute to suboptimal decision-making in volatile financial settings. Clinicians should consider this in their assessments, promote awareness and support prevention of poor investment decisions. Further longitudinal studies are needed, alongside targeted financial guidance for individuals with elevated ADHD traits.
Similar content being viewed by others
Introduction
Attention-deficit/hyperactivity disorder (ADHD) is a neurodevelopmental disorder characterised by persistent inattention, hyperactivity and impulsivity, which affects both children and adults1. ADHD presents in predominantly inattentive, predominantly hyperactive-impulsive, and combined presentations, with symptoms existing on a spectrum where subclinical traits can cause significant impairment despite not meeting full diagnostic criteria2. The global prevalence of adult ADHD is estimated at 2.6%3, with significant implications for academic, occupational and social functioning4. Adults with ADHD are at increased risk for financial difficulties, such as impulsive spending, accumulating debt and challenges with saving5. Compared to individuals without ADHD, they often have lower lifetime earnings and greater financial dependence on family and public welfare6. Research by Beauchaine et al.7 further highlights the extent of these difficulties, demonstrating that ADHD symptoms are associated with delay discounting and a range of adverse financial behaviours, including late credit card payments, reliance on high-interest borrowing and pawn services, personal debt, and unstable employment histories. Additionally, financial decision-making in individuals with ADHD is often marked by maladaptive behaviours, including impulsive purchases and decision avoidance8. Moreover, research suggests that ADHD is associated with heightened temporal discounting9favouring immediate rewards over delayed benefits, which may contribute to increased financial risk tolerance and more speculative investment behaviour10. Consequently, impulsivity and overconfidence can further exacerbate decision-making challenges, leading to suboptimal financial outcomes11. A study has shown that adults with ADHD exhibit impairments in decision-making tasks that require substantial cognitive control, where both deliberative and affective systems are involved12. These impairments tend to be most pronounced in individuals with ADHD-Combined presentation13.
Financial risk tolerance (FRT), influenced by factors such as sex, income and wealth14,15is a key determinant of investment behaviour, with higher degrees indicating greater risk taking. Men, higher-income earners and wealthier individuals generally exhibit higher FRT, whereas life events like marriage and parenthood typically reduce risk-taking behaviour16. The Grable and Lytton questionnaire consists of subscales assessing different aspects of FRT, such as the speculative, gambling and investment risk scales15. The speculative risk scale reflects short-term, high-variance financial behaviour, which is often associated with traits like thrill-seeking and delay aversion15. The gambling risk scale assesses how well individuals evaluate trade-offs between certain returns and uncertain, probabilistic gains; whereas the investment risk scale integrates risk tolerance by combining financial knowledge and emotional resilience15.
Individuals with ADHD often demonstrate more impulsive and spontaneous financial behaviours, associated with poorer financial outcomes and potentially greater financial risk-taking17. Recent research found that adults diagnosed with ADHD engage in significantly higher levels of financial risk-taking in areas such as investment and gambling compared to healthy controls18. This underscores the critical need for targeted interventions to improve financial decision-making in individuals with ADHD.
While most research has focused on individuals with clinically diagnosed ADHD, this study extends existing work by examining ADHD traits within a sample of active traders. We hypothesise that increased FRT, indicating riskier financial decisions, will be associated with higher ADHD traits (i.e. inattention as well as hyperactivity/impulsivity). An online survey was conducted to assess ADHD traits and FRT through validated self-report instruments, alongside data collection on participants’ financial behaviours. This study offers new insights into the financial behaviours of individuals with ADHD traits, distinguishing it from previous research on clinically diagnosed individuals.
Methods
Study design and participants
This cross-sectional study was conducted via an online survey from September 5 to November 7, 2024, targeting German-speaking active traders. Participants were primarily recruited through Getquin, an investment app, and financial forums from finanzen.net and Akademischer Börsenkreis Universität Halle e.V.. Additional recruitment methods included ADHD-related platforms (ADHS Deutschland e.V., www.ADXS.org) and local German journals (General Anzeiger Bonn, Rheinisches Ärzteblatt).
To encourage participation, 10 premium Getquin accounts were offered as rewards to participants that had been recruited via this platform. The premium accounts were distributed in a lottery-based manner. Prior to data collection, participants were provided with an overview of the study’s purpose, procedures, and data privacy policies and informed consent was obtained.
Demographic and trading characteristics
Collected demographic data included age, marital status, education level, income and assets. These variables were assessed using questionnaires with predefined response options. Trading behaviours were assessed based on time spent trading, portfolio tracking, transaction frequency and portfolio performance as well as portfolio expectation. These items were developed specifically for this study to capture core aspects of individual trading activity and align with measures used in recent literature19. Active trader status was determined based on participants’ responses to key questionnaire items regarding trading frequency, portfolio performance, and portfolio monitoring.
Assessment of ADHD traits
ADHD traits were evaluated using the 22-item ADHS-Selbstbeurteilungsskala (ADHS-SB)20a validated German self-report questionnaire aligned with DSM-5 criteria1. This scale assesses inattention, hyperactivity and impulsivity, with responses rated on a 4-point scale (0 = “absent” to 3 = “severe”), resulting in a total score range of 0–54. Participants were classified as “ADHD-positive” if they endorsed ≥ 5 symptoms of inattention and/or hyperactivity-impulsivity ranked as “severe”, with symptom onset before age 12 and significant impairment in daily life. Since formal clinical diagnostic procedure was not conducted, we refer to these scores as ADHD traits rather than symptoms.
FRT assessment
FRT was measured using the Grable Risk Tolerance Scale15with higher scores indicating greater willingness to take financial risks. To allow for a more detailed analysis, all 20 items (see supplementary material) were recorded, and three subscales were calculated:
-
1.
Gambling risk score – Evaluates the ability to assess trade-offs between guaranteed returns and probabilistic gains. Items present scenarios requiring decisions between a certain, lower payout and a higher, uncertain outcome.
-
2.
Speculative risk score – Measures willingness to engage in speculative financial activities, such as taking financial risks with uncertain but potentially high returns.
-
3.
Investment risk score – Assesses risk tolerance in investment decisions, integrating financial knowledge and emotional resilience. Items reflect willingness to invest in higher-risk assets (e.g., equities, real estate) versus safer alternatives.
Statistical analysis
Data were analysed using SPSS Version 30. Normality of distributions was assessed with the Shapiro-Wilk test. For correlations analysis we used Pearson’s correlation for continuous and normally distributed variables and Spearman’s rank correlation for non-normally distributed or ordinal variables. Independent t-tests compared ADHD-positive and ADHD-negative participants and assessed sex differences. Multiple linear regression was used to identify predictors of ADHD trait scores, with FRT subscores, portfolio returns and expectations, portfolio tracking, and trading frequency entered as independent variables. Assumptions of multicollinearity and residual independence were checked using variance inflation factors (VIF) and the Durbin-Watson statistic. Statistical significance was set at p < 0.05.
Results
Recruitment and participant flow
A total of 1,520 participants were recruited, with 945 (62.2%) completing the survey with valid data. The remaining 575 participants (37.8%) were excluded due to incomplete responses, defined as providing less than 90% of the survey, finishing in under five minutes (average completion time was 12 min), or missing key data relevant for characterising trading behaviour, such as trading frequency, portfolio performance and portfolio tracking (see flow chart in Fig. 1).
Participant characteristics
The mean age of participants was 35.5 years (SD ± 11.95). The sample was predominantly male (74.5%), with 24.9% female and 0.6% identifying as diverse. Marital status was as follows: 37.3% married, 34.8% single, and 62.6% had no children. Educational attainment was high: 66.1% held a high school diploma, 48.0% a university degree, 12.4% a doctorate and 1.7% a postdoctoral qualification. Nearly 60% reported net earnings exceeding €3,000 per month, which is higher than the average income in Germany (Statistisches Bundesamt, 2025). Additionally a notably high proportion reported assets over €500,000 (20.3%, see Table 1).
Financial behaviours
Participants were highly engaged in financial management, with 30.1% checking their portfolios multiple times daily. Preferred investments included exchange-traded funds (ETFs, 50.6%), individual stocks (26.5%) and real estate (9.9%). Most participants (90%) reported positive portfolio returns in the past year: 50.4% earned 0–10%, 30.0% earned 10–20% and 10.9% earned > 20%. Regarding trading frequency, 75% of participants traded fewer than five times per month, while 5% traded over 10 times and another 5% traded more than 20 times monthly (see Fig. 2).
Prevalence of ADHD traits
The median ADHD symptom score in the ADHS-SB was 17.53 (SD ± 13.9, range: 0–54). While a total score of ≥ 18 is considered a suggestive threshold20classification in this study was based on DSM-5 criteria mirrored through ADHS-SB subscale responses. According to DSM-5 criteria154 participants (5.7%) were classified as ADHD-positive. Of these, 30 (56%) exhibited primarily inattention symptoms, 17 (31%) exhibited hyperactivity/impulsivity and 7 (13%) showed a combined presentation. Notably, 17 of the 54 ADHD-positive participants (31%) were female, a slightly higher proportion than in the overall sample (24.9%). Additionally, females reported significantly higher ADHD symptom scores than males (19.1 vs. 15.9; p < 0.01). Finally, ADHD traits showed small but significant negative correlations with age, education, income, and assets (see supplementary Table 1).
FRT in ADHD
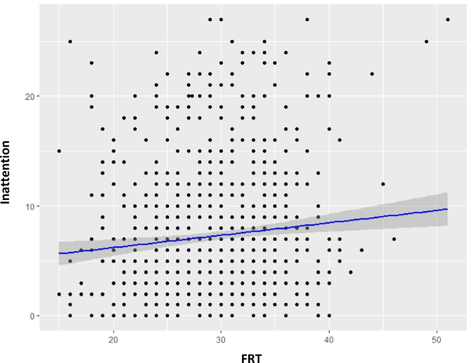
FRT scores averaged 29.5 (SD ± 5.9, range: 0–47) and were normally distributed, with 22% of participants scoring ≥ 33, classified as highly risk-tolerant. Those in the ADHD-positive group had significantly higher mean FRT scores compared to the ADHD-negative group (30.9 vs. 29.4; p = 0.025), driven mainly by greater speculative risk-taking (11.6 vs. 10.9; p = 0.015), while no significant differences emerged for gambling or investment risk scores. ADHD traits were positively correlated with overall FRT (r = 0.079, p = 0.015), particularly with inattention symptoms (r = 0.103, p = 0.01, see Fig. 3) but not with hyperactivity/impulsivity. Additionally, ADHD traits were negatively correlated with portfolio returns over the past 12 months (r = -0.075, p = 0.02). Significant sex differences were also observed: males demonstrated higher mean FRT scores (30.4 vs. 26.8; p < 0.01) and achieved better portfolio returns (4.5% vs. 4.1%; p < 0.01). Age, education and income each showed small but significant positive correlations with FRT, whereas assets were not significantly related to FRT. A full matrix of first-order correlations between the study variables is provided in the supplementary material (see supplementary figure and Table 1).
Regression analysis
Multiple linear regression analysis identified predictors of ADHD symptom scores. Higher trading frequency (B = 0.769, p = 0.046), increased speculative risk-taking (B = 0.675, p = 0.034), and optimistic portfolio return expectations (B = 1.237, p = 0.041) were significant positive predictors. Conversely, higher investment risk scores (B = -0.590, p = 0.034) and greater portfolio returns over the past 12 months (B = -1.067, p = 0.019) were significantly associated with lower ADHD symptom scores (see Table 2).
Discussion
In this study we aimed to assess a potential influence of ADHD traits on key financial behaviours and outcomes in a community of active online traders. The cohort, predominantly male (74.5%) with a median age of 34 years, showed above-average levels of education, income, and financial engagement compared to the general population14,15. The prevalence of participants screening positive for ADHD (5.7%) was slightly higher than population estimates (2.2–2.8%)21, though many individuals exhibited subclinical ADHD traits. In contrast to clinical populations21our sample showed a higher proportion of participants with a predominantly hyperactive/impulsive presentation. This unexpectedly high rate may reflect sample-specific bias and is likely influenced by the relatively small number of ADHD-positive individuals.
Our findings in the correlation analysis suggest that ADHD traits go along with higher FRT. Notably, considering the ADHD traits, particularly inattention and not hyperactivity/impulsivity were linked to FRT. At first sight, this may seem counterintuitive, as impulsivity is typically seen as the trait most closely aligned with risk-taking13. However, inattention in this context may reflect an inconsistency between initial planning to final execution, as well as difficulties in maintaining strategic focus and resisting distractions. Therefore, inattention may amplify behavioural biases including loss aversion, overconfidence, and recency bias, potentially impacting decision-making in volatile markets22,23,24. These effects may be further shaped by individual circumstances such as having children, outstanding debts, or a mortgage, which can influence both risk perception and the psychological pressure behind financial decisions25,26.
Contrary to expectations, no significant correlation was found between hyperactivity/impulsivity and FRT. Seen together, these findings may indicate that impulsive tendencies alone do not drive risky financial decision-making. Instead, impulsive decision-making appears to be driven more by other factors like personality traits, risk perception and expected benefits27. It is also possible that the measure used, which included both hyperactivity and impulsivity items, did not isolate impulsivity sufficiently, potentially obscuring relevant associations28. This highlights the need for future studies to incorporate more targeted tools, such as the Barratt Impulsiveness Scale29to better capture the facets of impulsivity relevant to financial risk-taking.
Further regression analysis identified both positive and negative predictors of ADHD traits in financial behaviour, revealing a pattern consistent with prior psychological and behavioural research6.
One of the positive predictors was speculative risk-taking, aligning with existing literature linking ADHD to an aversion against delay and preference for immediate rewards30. Surprisingly, the gambling risk score was not a significant predictor, which was unexpected given its conceptual similarity to speculative risk-taking31. In our study speculative risk tolerance, linked to delay aversion9was positively associated with ADHD traits, whereas investment risk, reflecting long-term decision-making, was negatively related. This contrasts with findings by Hamurcu et al.18who reported such associations in individuals with ADHD.
A further positive predictor of ADHD traits was the trading frequency. This supports previous studies suggesting that frequent trading may reflect maladaptive behavioural tendencies, potentially indicative of addictive patterns32. Furthermore, it is well known that frequent trading goes with poorer portfolio returns resulting in poorer long-term investment outcomes33.
In addition, higher portfolio expectations were positively associated with ADHD traits. These traits may foster short-term, reactionary trading behaviours that prioritise immediate outcomes over long-term financial planning34.
On the other hand, negative predictors were the actual portfolio performance and the investment risk score. The latter, which is linked to financial literacy14suggests that better-informed individuals make more calculated and consistent investment decisions35. In sensation seeking individuals, the role of emotional regulation should also be considered36. Emotional dysregulation, common in ADHD, may intensify tendencies toward impulsive, short-term financial decisions. This interpretation is further supported by a preference for immediate rewards, which is central to speculative risk-taking37. By assigning ADHD traits as dependent outcome variables in our regression analysis, we provide key parameters that may help to identify elevated ADHD tendencies in non-diagnosed individuals, particularly in non-clinical contexts.
Furthermore, sex differences were observed. Notably, 31% of the ADHD-positive participants were female, a slightly higher proportion than the overall female representation in the sample (24.9%). Given that females are generally less represented in the trading world38this imbalace in our sample is not unexpected. Possibly, the higher ADHD rate among female participants reflects a specific selection effect: women who engage in active trading may be more likely to exhibit ADHD traits, such as impulsivity or sensation seeking. Contrasting with trends in the general population, where women typically adopt more cautious financial strategies and often outperform men39,40in our data males showed higher FRT and better portfolio returns. However, ADHD traits in females were associated with lower FRT and poorer portfolio outcomes, highlighting the impact of sex differences in ADHD traits regarding financial decision making.
Of note, our study has several limitations. First, its cross-sectional design precludes causal conclusions. Therefore, longitudinal studies will be necessary to further investigate the influence of ADHD traits on financial behaviours over time and vice versa. Moreover, we here only assessed ADHD traits by self-reporting tools. Even though the applied ADHS-SB questionnaire is a validated German screening tool reflecting the DSM-5 criteria of ADHD, a clinical assessment would provide a higher diagnostic precision. Additionally, the effect sizes observed in this study were relatively small, which limits the strength of the conclusions and underscores the need for replication in more diverse samples. Nevertheless, we view this study as an important initial observation that suggests a potential link between ADHD traits and financial behaviour. Moreover, our sample consisted largely of young, educated, and financially engaged individuals, which may limit the generalisability of the findings. Given that higher ADHD symptoms are often associated with lower income and education in the general population41the high socioeconomic status of our sample may have influenced the observed associations. Future investigations are necessary to better understand the broader implications of ADHD traits on financial behaviour.
Conclusions
This study reveal significant associations between ADHD traits, particularly inattention, and financial behaviours such as increased trading frequency, greater risk tolerance, and more speculative decision-making. While ADHD traits turn out to be linked to a preference for immediate rewards, they also correlate with poorer portfolio returns, suggesting that impaired decision-making - rather than a simple preference for risk - drives suboptimal financial outcomes. Physicians and psychotherapists should address this in their clinical conversations and promote preventive strategies when appropriate. Increasing patient awareness may enhance self-regulation of investment decisions. Therefore, systematic research is necessary to evaluate these effects more rigorously.
Flowchart of the sample acquisition. Participants of the online survey were recruited via various platforms. Initially, 1,520 people participated. Out of these, 494 were excluded since they answered less than 90% of the questionnaire or finished the survey in less than 5 min. Further 81 participants were excluded from analysis as they did not give key information on their portfolio performance, portfolio tracking and/or trading frequency.
Data availability
Individual participant-level data is not available due to confidentiality concerns and data-sharing agreements in place. However, the study protocol and statistical analysis plan are available upon request from the corresponding author.
Abbreviations
- ADHD:
-
Attention deficit/hyperactivity disorder
- ADHS-SB:
-
ADHS-Selbstbeurteilungsskala‘ (ADHD self-assessment scale)
- FRT:
-
Financial risk tolerance
References
American psychiatric association. diagnostic and statistical manual of mental disorders. Fifth Edition. American Psychiatric Association. (2013). https://doi.org/10.1176/appi.books.9780890425596
Kooij, J. J. S. et al. Updated European consensus statement on diagnosis and treatment of adult ADHD. Eur. Psychiatry. 56 (1), 14–34. https://doi.org/10.1016/j.eurpsy.2018.11.001 (2019).
Song, P. et al. The prevalence of adult attention-deficit hyperactivity disorder: A global systematic review and meta-analysis. J. Glob Health. 11, 04009. https://doi.org/10.7189/jogh.11.04009 (2021).
Michielsen, M. et al. The relationships between ADHD and social functioning and participation in older adults in a Population-Based study. J. Atten. Disord. 19 (5), 368–379. https://doi.org/10.1177/1087054713515748 (2015).
Jensen, P. S., Book Review, R. A., Murphy, K. R. & Fischer, M. ADHD in Adults: What the Science Says. New York: Guilford. J Atten Disord. 13 (1) 97–98. (2008). https://doi.org/10.1177/1087054709333321
Altszuler, A. R. et al. Financial dependence of young adults with childhood ADHD. J. Abnorm. Child. Psychol. 44 (6), 1217–1229. https://doi.org/10.1007/s10802-015-0093-9 (2016).
Beauchaine, T. P., Ben-David, I. & Sela, A. Attention-deficit/hyperactivity disorder, delay discounting, and risky financial behaviors: A preliminary analysis of self-report data. Lidzba K, ed. PLoS ONE. 12 (5) e0176933. (2017). https://doi.org/10.1371/journal.pone.0176933
Bangma, D. F. et al. Financial decision-making in adults with ADHD. Neuropsychology 33 (8), 1065–1077. https://doi.org/10.1037/neu0000571 (2019).
Scheres, A., Lee, A. & Sumiya, M. Temporal reward discounting and ADHD: task and symptom specific effects. J. Neural Transm Vienna Austria 1996. 115 (2), 221–226. https://doi.org/10.1007/s00702-007-0813-6 (2008).
Marx, I., Hacker, T., Yu, X., Cortese, S. & Sonuga-Barke, E. ADHD and the choice of small immediate over larger delayed rewards: A comparative meta-analysis of performance on simple choice-Delay and Temporal discounting paradigms. J. Atten. Disord. 25 (2), 171–187. https://doi.org/10.1177/1087054718772138 (2021).
Nicolosi, G., Peng, L. & Zhu, N. Do individual investors learn from their trading experience? J. Financ Mark. 12 (2), 317–336. https://doi.org/10.1016/j.finmar.2008.07.001 (2009).
Mäntylä, T., Still, J., Gullberg, S. & Del Missier, F. Decision making in adults with ADHD. J. Atten. Disord.. 16 (2), 164–173. https://doi.org/10.1177/1087054709360494 (2012).
Schulze, M., Coghill, D., Lux, S. & Philipsen, A. Disentangling adhd’s Presentation-Related Decision-Making—A Meta-Analytic approach on predominant presentations. Front. Psychiatry. 12, 519840. https://doi.org/10.3389/fpsyt.2021.519840 (2021).
Kuzniak, S., Rabbani, A., Heo, W., Ruiz-Menjivar, J. & Grable, J. The Grable and Lytton risk-tolerance scale: A 15-year retrospective. Financ Serv. Rev. 24 (2), 177–192. https://doi.org/10.61190/fsr.v24i2.3240 (2015).
Grable, J. & Lytton, R. H. Financial risk tolerance revisited: the development of a risk assessment instrument. Financ Serv. Rev. 8 (3). https://doi.org/10.1016/S1057-0810(99)00041-4 (1999).
Barber, B. M. & Odean, T. Boys will be boys: gender, overconfidence, and common stock investment. Q. J. Econ. 116 (1), 261–292. https://doi.org/10.1162/003355301556400 (2001).
Bangma, D. F., Tucha, L., Fuermaier, A. B. M., Tucha, O. & Koerts, J. Financial decision-making in a community sample of adults with and without current symptoms of ADHD. Sudzina F, ed. PLoS ONE. 15 (10) e0239343. (2020). https://doi.org/10.1371/journal.pone.0239343
Hamurcu, Ç., Hamurcu, H. D. Y. & Karakuş, M. Financial risk-taking in adult attention deficit hyperactivity disorder. Rev. Behav. Finance. 16 (3), 394–405. https://doi.org/10.1108/RBF-04-2023-0113 (2024).
Coloma-Carmona, A., Carballo, J. L., Miró-Llinares, F., Aguerri, J. C. & Griffiths, M. D. Development and validation of the trading disorder scale for assessing problematic trading behaviors. J. Behav. Addict. 14 (2), 941–958. https://doi.org/10.1556/2006.2025.00019 (2025).
Rösler, M. et al. Instrumente Zur diagnostik der Aufmerksamkeitsdefizit-/Hyperaktivitätsstörung (ADHS) Im erwachsenenalter: selbstbeurteilungsskala (ADHS-SB) und diagnosecheckliste (ADHS-DC). Nervenarzt 75 (9), 888–895. https://doi.org/10.1007/s00115-003-1622-2 (2004).
Faraone, S. V. et al. The world federation of ADHD international consensus statement: 208 Evidence-based conclusions about the disorder. Neurosci. Biobehav Rev. 128, 789–818. https://doi.org/10.1016/j.neubiorev.2021.01.022 (2021).
Thaler, R. H. & Johnson, E. J. Gambling with the house money and trying to break even: the effects of prior outcomes on risky choice. Manag Sci. 36 (6), 643–660. https://doi.org/10.1287/mnsc.36.6.643 (1990).
Guillemette, M., Finke, M. S. & Gilliam, J. R. Risk tolerance questions to best determine client portfolio allocation preferences. Househ Finance EJ. . Published online 2012. https://api.semanticscholar.org/CorpusID:153584998
Rabbani, A. G., Grable, J. E., O’Neill, B., Lawrence, F. & Yao, Z. Financial risk tolerance before and after a stock market shock: testing the recency bias hypothesis. J. Financ. Couns. Plan. https://doi.org/10.1891/JFCP-19-00025
Gathergood, J. Self-control, financial literacy and consumer over-indebtedness. J. Econ. Psychol. 33 (3), 590–602. https://doi.org/10.1016/j.joep.2011.11.006 (2012).
Mani, A., Mullainathan, S., Shafir, E. & Zhao, J. Poverty impedes cognitive function. Science 341 (6149), 976–980. https://doi.org/10.1126/science.1238041 (2013).
Birkley, L. & Smith, E. T. Recent advances in Understanding the personality underpinnings of impulsive behavior and their role in risk for addictive behaviors. Curr. Drug Abuse Rev. 4 (4), 215–227. https://doi.org/10.2174/1874473711104040215 (2011).
Allan, D. M. & Lonigan, C. J. Examination of the structure and measurement of inattentive, hyperactive, and impulsive behaviors from preschool to grade 4. J. Abnorm. Child. Psychol. 47 (6), 975–987. https://doi.org/10.1007/s10802-018-0491-x (2019).
Patton, J. H., Stanford, M. S. & Barratt, E. S. Factor structure of the Barratt impulsiveness scale. J. Clin. Psychol. 51 (6), 768–774. (1995).
Theule, J., Hurl, K. E., Cheung, K., Ward, M. & Henrikson, B. Exploring the relationships between problem gambling and ADHD: A Meta-Analysis. J. Atten. Disord. 23 (12), 1427–1437. https://doi.org/10.1177/1087054715626512 (2019).
Weber, E. U., Blais, A. & Betz, N. E. A domain-specific risk‐attitude scale: measuring risk perceptions and risk behaviors. J. Behav. Decis. Mak. 15 (4), 263–290. https://doi.org/10.1002/bdm.414 (2002).
Guglielmo, R., Ioime, L. & Janiri, L. Is pathological trading an overlooked form of addiction?? Addict. Health. 8 (3), 207–209 (2016).
Chakrabarty, B., Moulton, P. C. & Trzcinka, C. The performance of Short-Term institutional trades. J. Financ Quant. Anal. 52 (4), 1403–1428. https://doi.org/10.1017/S0022109017000400 (2017).
Chachar, A. S. & Shaikh, M. Y. Decision-making and attention deficit hyperactivity disorder: neuroeconomic perspective. Front. Neurosci. 18, 1339825. https://doi.org/10.3389/fnins.2024.1339825 (2024).
Lusardi, A. & Mitchell, O. S. The economic importance of financial literacy: theory and evidence. J. Econ. Lit. 52 (1), 5–44. https://doi.org/10.1257/jel.52.1.5 (2014).
Graziano, P. A. et al. ADHD symptomatology and risky health, driving, and financial behaviors in college: the mediating role of sensation seeking and effortful control. J. Atten. Disord. 19 (3), 179–190. https://doi.org/10.1177/1087054714527792 (2015).
Shaw, P., Stringaris, A., Nigg, J. & Leibenluft, E. Emotion dysregulation in attention deficit hyperactivity disorder. Am. J. Psychiatry. 171 (3), 276–293. https://doi.org/10.1176/appi.ajp.2013.13070966 (2014).
Agnew, J., Balduzzi, P. & Sundén, A. Portfolio choice and trading in a large 401(k) plan. Am. Econ. Rev. 93 (1), 193–215. https://doi.org/10.1257/000282803321455223 (2003).
Majumdar, S., Kumar Mishra, A. & Chandra, A. Do fund managers’ performance rely on gender and team size? Evidence from India. North. Am. J. Econ. Finance. 71, 102094. https://doi.org/10.1016/j.najef.2024.102094 (2024).
Cueva, C., Iturbe-Ormaetxe, I., Ponti, G. & Tomás, J. Boys will still be boys: gender differences in trading activity are not due to differences in (over)confidence. J. Econ. Behav. Organ. 160, 100–120. https://doi.org/10.1016/j.jebo.2019.02.027 (2019).
Russell, G., Ford, T., Rosenberg, R. & Kelly, S. The association of attention deficit hyperactivity disorder with socioeconomic disadvantage: alternative explanations and evidence. J. Child. Psychol. Psychiatry. 55 (5), 436–445. https://doi.org/10.1111/jcpp.12170 (2014).
Acknowledgements
We would like to thank Prof. Thomas Klockgether and Dr. Taraneh Ebrahimi for their valuable feedback. There was no financial support for this research, except for the 10 premium accounts offered by Getquin to incentivise participation in the study.
Funding
Open Access funding enabled and organized by Projekt DEAL.
Author information
Authors and Affiliations
Contributions
MW conceptualised the study, designed the methodology, conducted the formal analysis, created visualisations, and drafted the original manuscript, in addition to contributing to its review and editing. MS and JW contributed to the methodology, formal analysis, and manuscript review and editing. NB, HR, PM and AP were involved in the review and editing process. MK contributed to the conceptualisation, methodology, formal analysis, and supervision, and participated in drafting and revising the manuscript.
Corresponding author
Ethics declarations
Competing interests
The authors declare no competing interests.
Ethics approval and consent to participate
The study "ADHD Traits and Financial Decision Making in Stock Trading" has received ethical approval from the Ethics Committee for Clinical Trials on Humans and Epidemiological Research with Personal Data at the Medical Faculty of the Rheinische Friedrich-Wilhelms-Universität Bonn (Ethics Committee of the Medical Faculty of the University of Bonn, Reference Number: 2024-233-BO). Data collection and processing adhere to ethical and data protection guidelines. Written informed consent was obtained from all participants prior to their involvement in the study.
Additional information
Publisher’s note
Springer Nature remains neutral with regard to jurisdictional claims in published maps and institutional affiliations.
Supplementary Information
Below is the link to the electronic supplementary material.
Rights and permissions
Open Access This article is licensed under a Creative Commons Attribution 4.0 International License, which permits use, sharing, adaptation, distribution and reproduction in any medium or format, as long as you give appropriate credit to the original author(s) and the source, provide a link to the Creative Commons licence, and indicate if changes were made. The images or other third party material in this article are included in the article’s Creative Commons licence, unless indicated otherwise in a credit line to the material. If material is not included in the article’s Creative Commons licence and your intended use is not permitted by statutory regulation or exceeds the permitted use, you will need to obtain permission directly from the copyright holder. To view a copy of this licence, visit http://creativecommons.org/licenses/by/4.0/.
About this article
Cite this article
Witry, M., Schulze, M., Braun, N. et al. ADHD traits and financial decision making in stock trading. Sci Rep 15, 32011 (2025). https://doi.org/10.1038/s41598-025-17467-3
Received:
Accepted:
Published:
Version of record:
DOI: https://doi.org/10.1038/s41598-025-17467-3





