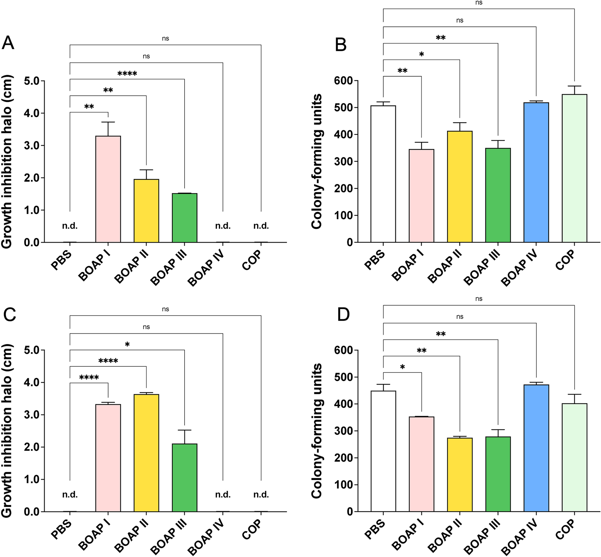
Fig. 8

Disk volatilization test of the fractions with the most pronounced antifungal activity of licuri (S. coronata) BOAPs and the chloroform organic phase, COP) against the MMC1 and MMC2 isolates of C. auris. (A) Inhibition halo and (B) colony-forming units on Petri dishes for the MMC1 isolate of C. auris. (C) Inhibition halo and (D) colony-forming units on Petri dishes for the MMC2 isolate of C. auris. Bars represent the average of three independent experiments. “nd”: not detected. Asterisks denote the one-way ANOVA test using the Dunnet post-test (*p < 0.05, **p < 0.01 and ****p < 0.0001).