Abstract
To explore and develop a screening model for sarcopenia in patients with osteoporotic vertebral compression fracture (OVCF) to enable early identification and intervention in order to reduce the adverse risks associated with sarcopenia. We created and validated a nomogram using data from 301 patients with OVCF.Independent risk factors in the training set were screened by single and multifactorial logistic regression analyses as well as lasso regression analyses, and a nomogram was created to predict the risk of sarcopenia in patients with OVCF. The predictive ability and clinical applicability of the nomogram were evaluated using the area under the curve (AUC), calibration curve, decision curve, and internal and external validation. In this study, we identified the ratio of serum indirect bilirubin to total bilirubin(OR = 0.01, high-density lipoprotein cholesterol OR = 4.06, serum uric acid levels OR = 0.99, height OR = 1.12, and weight OR = 0.85)as significant influencing factors for the occurrence of sarcopenia in patients with osteoporotic vertebral compression fractures.Using the Bootstrap resampling method, the modeling population data were resampled 1000 times, yielding a concordance index (C-index) of 0.863 (95% CI: 0.8121 ~ 0.9120). In both the raining set and validation set, ROC curves were plotted, and the AUC was calculated as 0.859 (95% CI: 0.810 ~ 0.908) and 0.811 (95% CI: 0.709 ~ 0.913), respectively, indicating that the predictive model has good discriminative ability. The Hosmer-Lemeshow test was performed on both groups, and calibration curves were plotted, resulting in P-values of 0.303 and 0.199, both greater than 0.05, indicating good calibration of the model. Additionally, the decision curves for both groups showed high net benefits. IBTBR, HDL-C, UA, height, and body weight are significant factors influencing sarcopenia. The nomogram constructed from these factors can predict the occurrence of sarcopenia in patients with OVCF conveniently, accurately, and reliably.
Introduction
Osteoporosis (OP) is one of the most common metabolic bone diseases worldwide, characterized by decreased bone mass, structural changes in bone tissue, increased brittleness, and high susceptibility to fracture. Nearly 200 million people worldwide suffer from osteoporosis each year, with 8.9 million cases of osteoporotic fractures occurring annually1. Vertebral fractures secondary to osteoporosis are known as osteoporotic vertebral fractures (OVCF) and are the most common type of osteoporotic fracture, often occurring as a result of low-energy injuries. OVCF can lead to persistent pain, kyphotic deformity of the spine, depression, muscle loss, weight loss, decreased quality of life, and even death in patients2. Approximately 1.4 million patients are affected by OVCF each year, and OVCF occurs in around 30%−50% of individuals over 50 years of age globally, with 12% occurring in the 50–79 year old age group for both women and men, predominantly in women3. Currently, approximately 20% of the elderly population worldwide is over the age of 70, with 16% of postmenopausal women experiencing OVCF4. This significantly impacts the quality of life in later years and places a substantial burden on the socio-economic and healthcare sectors.
Continuing research has indicated a close association between sarcopenia and OVCF, with sarcopenia often being considered a risk factor for OVCF. Sarcopenia, first defined by Irwin Rosenberg in 1989, refers to a condition of progressive muscle loss with age. It becomes more prevalent with age and is strongly linked to disability, loss of functional independence, osteoporosis, frailty, poor balance, falls, and fractures in older adults, significantly affecting quality of life and increasing the risk of disability and death in the older population. More than 5% of older adults aged 60–70 years have sarcopenia, while 11%−50% of those aged 80 years or older are affected by sarcopenia5. The European Working Group on Sarcopenia defined sarcopenia in 2010 as a syndrome characterized by progressive and generalized loss of skeletal muscle mass and strength, which may be associated with adverse outcomes such as physical disability, poor quality of life, and death6.
As a systemic disease, sarcopenia is closely associated with many systemic disorders of the body. Among the diseases of the musculoskeletal system, sarcopenia is strongly linked to falls and fractures in the elderly population, as well as age-related muscle and bone loss. Sarcopenia is often correlated with osteoporosis, the prevalence of which increases with the severity of sarcopenia. The prevalence of osteoporosis is 47.6% in individuals without sarcopenia, but it can be as high as 78.1% in those diagnosed with sarcopenia7. Skeletal muscle hypoplasia due to sarcopenia is a significant contributing factor to falls and fractures. Impaired mobility caused by falls and fractures can accelerate muscle mass and strength loss, indicating a causal relationship between sarcopenia and falls and fractures in different directions. This greatly increases the risk of fragility fractures, particularly osteoporotic vertebral compression fractures (OVCF), which are the most common type. Hida et al.8 found a higher prevalence of sarcopenia and leg muscle loss in patients with fresh OVCF compared to other patients. A retrospective analysis by Tokeshi also identified reduced skeletal muscle mass and leg muscle mass as risk factors for OVCF9.
While the diagnosis and treatment of osteoporosis and OVCF are well-established in clinical practice, sarcopenia seems to have not received sufficient attention. There is still a lack of awareness of sarcopenia in the current doctor-patient community. This lack of attention is not only related to diagnostic challenges but also to the need for objective measurements of muscle mass, strength, and physical performance. Skeletal muscle mass is typically assessed using Dual-energy X-ray absorptiometry (DXA), Bioelectrical impedance analysis (BIA), CT, MRI, ultrasound, and other tools10. However, due to equipment limitations, some hospitals in remote or underdeveloped areas may face challenges in implementing these measurements. Furthermore, mobility issues may prevent OVCF patients from undergoing physical function tests such as the 6-minute walk test and stair climbing power test. Many elderly patients also experience cognitive difficulties, Parkinson’s disease, or other underlying conditions that make the grip strength test challenging to conduct, adding to the diagnostic complexity. There is currently a lack of practical, convenient, and cost-effective methods for identifying sarcopenia in elderly OVCF patients. Therefore, we have developed a new tool for diagnosing sarcopenia in OVCF patients.
Information and methodology
Study population
In this study, 301 patients with OVCF who were hospitalized at the Fifth People’s Hospital of Chengdu University of Traditional Chinese Medicine from October 2023 to October 2024 were selected as the study subjects.
Inclusion criteria: (1) presence of vertebral compression fracture with onset less than 3 days; (2) bone mineral density T-score ≤ −2.5; (3) informed and consenting patients.(4) Age ≥ 50 years.
Exclusion criteria: (1) presence of tumors or severe infections; (2) use of medications that may impact body composition (e.g., glucocorticoids); (3) patients with cognitive or psychiatric disorders; (4) inability to communicate and cooperate; (5) incomplete medical records.
Data collection
Clinical data of the patients were collected through the electronic medical record system, including: (1) basic patient information such as name, age, gender, BMI, history of hypertension, and history of diabetes mellitus; (2) admission examination data including various biochemical parameters such as total protein (TP), prealbumin (PA), albumin, and others.
Diagnostic criteria
(1) Diagnostic criteria for osteoporotic vertebral compression fracture: Bone density measured by DXA bone densitometer is converted to a T-score for diagnosis, with a T-score of ≤ −2.5 indicating osteoporosis. MRI of the thoracic and lumbar spine was performed to assess spinal fractures and confirm the diagnosis11.
(2) Diagnosis of sarcopenia: Sarcopenia is diagnosed based on criteria related to skeletal muscle mass, muscle strength, and somatic function as outlined by the Asian sarcopenia working group12.
Since patients with osteoporotic vertebral fractures are often immobile, the examination of somatic function is not conducted, and the diagnosis of sarcopenia can be confirmed when the patient meets criteria (1) and (2). Among these criteria, skeletal muscle mass was assessed using the DXA body composition analysis instrument, and a hand-held dynamometer (Camry, model: TH-01, Guangdong, China) was utilized on the first day of hospital admission with an accuracy of 0.1 kg. All participants were measured three times using their dominant hand, and the highest result of the three measurements was utilized for the study.
Statistical analysis
The data distribution was assessed using the Kolmogorov-Smirnov test. Normally distributed continuous quantitative variables were presented as mean and standard deviation, while non-normally distributed continuous quantitative variables were presented as median and interquartile range. Qualitative variables were expressed as absolute and relative frequencies. Differences between quantitative variables were analyzed using Student’s t-test or Mann-Whitney U-test, while differences between qualitative variables were examined using the X2 test. SPSS software and R language were employed for data analysis, with a significance level set at P < 0.05.
Model development and evaluation
The Least Absolute Shrinkage and Selection Operator (LASSO) regression was utilized to screen factors influencing sarcopenia in patients with OVCF in the training set population. Statistically significant variables were then included in a multifactorial logistic regression to further identify independent factors influencing sarcopenia. Each independent risk factor was taken as a dependent variable to construct a prediction model, which was visualized as a nomogram. The nomogram model was evaluated based on the AUC and C index for differentiation, calibration curve for consistency, and Decision Curve Analysis (DCA) for clinical application value.
Validation of the model
Internal validation of the model was conducted using the Bootstrap method with 1000 repeated samples. External validation of the model was also performed using data from 71 patients admitted between August 2024 and October 2024, with external validation done using the Bootstrap method.
Results
General
A total of 301 patients were included in this study. Among them, there were 160 patients (53.2%) in the sarcopenia group and 141 patients (46.8%) in the non-sarcopenia group. The proportion of females (61.2%) was higher than that of males (50.9%). The analysis of baseline data showed (Table 1) that the age of patients in the sarcopenia group was significantly higher than that in the non-sarcopenia group (73 ± 10, p < 0.001), and the body weight (52 ± 10, p < 0.001) and BMI (22.8 ± 14.6, p = 0.025) were significantly lower. In terms of nutritional indicators, the levels of pre-albumin (196 ± 53, p = 0.002) and albumin (38.2 ± 4.0, p = 0.005) in the sarcopenia group were significantly lower. Among the inflammatory indicators, the lymphocyte count (1.27 ± 0.59, p = 0.022) in the sarcopenia group was significantly lower, while the platelet-to-lymphocyte ratio (189 ± 123, p < 0.001) was significantly higher. In terms of bone metabolism, the vertebral bone mineral density (−3.54 ± 1.13, p < 0.001) and the bone mineral density of the left femoral neck (−2.49 ± 1.00, p = 0.002) in the sarcopenia group were significantly lower. In addition, the levels of serum sodium (141.5 ± 3.4, p = 0.001) and uric acid (284 ± 85, p < 0.001) in the sarcopenia group were significantly lower, while the levels of 25-hydroxyvitamin D (22 ± 9, p = 0.025) and high-density lipoprotein cholesterol (1.45 ± 0.42, p < 0.001) were significantly higher. There were no statistically significant differences between the two groups in terms of basic diseases such as gender, diabetes mellitus, and hypertension (p > 0.05).
Screening and analysis of predictor variables
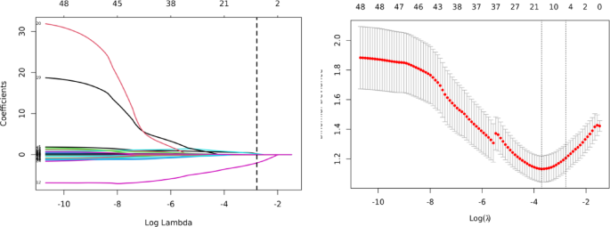
LASSO regression analysis
In the training set population, the regression coefficient path diagram and cross-validation curve of variable screening using Lasso regression analysis are shown in Fig. 1. To achieve a good model fitting effect, through cross-validation, the λ (Lambda.min) corresponding to the minimum mean squared error was selected. Through Lasso regression analysis, a total of 18 variables were obtained, namely: gender, age, serum albumin, pre-albumin, albumin/globulin ratio, aspartate aminotransferase, indirect bilirubin to total serum bilirubin ratio, serum glucose, high-density lipoprotein cholesterol, serum uric acid, 25-hydroxyvitamin D, platelets, lymphocyte count, white blood cells, platelet to lymphocyte ratio, height, body weight, and the presence or absence of diabetes. In addition, in order to further rule out the existence of multicollinearity among the variables, before conducting the multivariate Logistic regression analysis, we carried out a multicollinearity analysis on the 18 variables. As shown in Table 2, the variance inflation factor (VIF) values of the 18 variables such as gender, age, and serum albumin were all less than 5, further demonstrating that there is no collinearity among these 18 variables.
Multifactor logistic regression analysis
The 18 screening variables mentioned above were included in a multifactorial logistic regression analysis. The results indicated that the ratio of indirect bilirubin to serum total bilirubin, high-density lipoprotein cholesterol (HDL-C), serum uric acid level, height, and body weight were independent factors influencing the occurrence of sarcopenia in patients with osteoporotic vertebral compression fracture (P < 0.05) (Table 3). The predictive equation was Y = −5.166–5.21 (IBTBR) + 1.402 (HDL-C) - 0.006 (UA) + 0.115 (height) - 0.166 (weight).
Modeling of column map predictions
Based on the results of multivariate analysis, a dynamic nomogram (Fig. 2A) and a general nomogram (Fig. 2C) were created to predict the risk of developing sarcopenia in patients with OVCF. Available online (https://liao123.shinyapps.io/dynnomapp), as shown in Fig. 2B.
Nomogram prediction model for sarcopenia. (A) Established nomogram in the training cohort by incorporating the following five parameters: IBTBR, HDL-C, UA, height, and body weight.** p < 0.01, *** p < 0.001. (B) Online dynamic nomogram accessible at https://liao123.shinyapps.io/dynnomapp.
Evaluation of the model
The ROC curve of the training set population was constructed as shown in (Fig. 3). The C-index and AUC of the training set population were obtained as 0.859 (95% CI: 0.8103–0.9075), and the calibrated C-index was 0.847, indicating that the model has a good discriminatory ability. In addition, the Youden index of the ROC curve was 0.65, and this index further reflected the model’s ability to distinguish between patients of different categories. At the same time, the sensitivity of the model was 0.804, and the specificity was 0.846. A higher sensitivity means that the model can better identify patients who actually have sarcopenia and avoid missed diagnoses; a higher specificity indicates that the model has a high accuracy in judging patients without sarcopenia and reduces the possibility of misdiagnosis. Taken together, these indicators jointly demonstrate that the nomogram model performs excellently in terms of discrimination and has high clinical application value.
Further goodness-of-fit tests were performed, and calibration plots were plotted to assess the calibration of the nomogram. The Hosmer-Lemeshow test showed X2 = 9.490, P = 0.303. The calibration curve (Fig. 4A) is a straight line with a slope close to 1, illustrating the good agreement between the actual observed and predicted values of the column-line graph. The column-line diagram model showed good discriminatory ability.
Decision curve analysis (DCA) was used to evaluate the clinical utility of the nomogram (Fig. 5A). The DCA curve showed that the nomogram had a positive net benefit and a wide range of threshold probabilities. The net clinical benefit of the nomogram was greater than 0 for training sets with threshold probabilities ranging from 7 to 80%.
Validation of the column-line diagram model
Internal validation
In this study, the Bootstrap resampling method (number = 1, repeats = 1000) was used to conduct an internal validation of the nomogram model. An internal sampling with replacement was performed on the training set data. One set of data was sampled each time, and the resampling was repeated 1000 times to obtain the Bootstrap-ROC curve (Fig. 6). It can be concluded that the C-index and AUC value of the model are 0.863 (95% CI: 0.8121–0.9120). Compared with the AUC of the training set, which is 0.859 (95% CI: 0.8103–0.9075), the predictive ability of the internal validation set for the model is slightly higher than that of the training set, indicating that it has excellent predictive ability.
Temporal external validation
The external validation dataset consisted of 71 patients. The ROC curve of the nomogram (Fig. 3B) showed an AUC of 0.811 (95% CI 0.709 ~ 0.913) and Youden’s index of 0.568, with a sensitivity and specificity of 0.676 and 0.892, respectively, suggesting good predictive performance of the model. The Hosmer-Lemeshow test on the external validation set yielded X2 = 11.06, P = 0.199 > 0.05, indicating that the actual and predicted probabilities did not have a statistically significant difference (P > 0.05), and the model fit well. The calibration curves (Fig. 4B) displayed Brier score of 0.176. These results indicate that the model was well calibrated in the external validation set. Additionally, the decision curve from the external validation set (Fig. 5B) demonstrated a good clinical benefit of the model.
Discussion
Sarcopenia remains an under-recognized problem in patients with osteoporotic vertebral compression fractures. Studies have shown that patients with sarcopenia have a higher risk of osteoporotic vertebral compression re-fractures, and that patients with OVCF combined with sarcopenia have a higher risk of poor functional recovery and increased long-term (36-month follow-up) mortality after percutaneous kyphoplasty13,14. Currently, there are limited targeted methods to predict the occurrence of sarcopenia in patients with OVCF. Therefore, we developed a sarcopenia risk prediction model to identify high-risk patients early and implement appropriate interventions promptly to reduce poor prognosis and other risks.
In this study, we constructed a columnar plot using five simple and easily accessible variables (IBTBR, HDL-C, UA, height, and weight) for screening sarcopenia in an OVCF population. The model was evaluated using AUC, calibration curves, decision curve analysis, and both internal and external validation, demonstrating its accuracy, ease of implementation, and effectiveness in predicting and detecting sarcopenia in the osteoporotic vertebral compression fracture population. Additionally, a website was constructed based on the model for ease of clinical use(https://liao123.shinyapps.io/dynnomapp).
Bilirubin has been repeatedly associated with the development of osteoporosis. It can contribute to the progression of osteoporosis in patients with liver disease by impairing bone formation through the inhibition of osteoblast proliferation and differentiation, as well as osteoclast bone mineralization15. Unconjugated bilirubin has been shown to decrease the survival of osteoblasts and increase osteoclast viability in cellular assays compared to controls16. Studies on bilirubin and sarcopenia are also emerging, with research demonstrating a positive correlation between serum indirect bilirubin levels and skeletal muscle mass in elderly men with type 2 diabetes mellitus17. Similarly, other studies18 have concluded that serum bilirubin and indirect bilirubin are positively associated with skeletal muscle mass index (SMI) in men with diabetes mellitus. However, fewer studies have explored the relationship between bilirubin and sarcopenia in patients with OVCF. In our study, we found that the serum IBTBR was an influential factor in sarcopenia in patients with OVCF and was positively correlated with skeletal muscle mass. The mechanism linking bilirubin and sarcopenia may involve oxidative stress and inflammation, which necessitates further investigation in our follow-up studies.
Furthermore, in our study, HDL-C was identified as an independent risk factor for sarcopenia in patients with OVCF. We found that HDL-C concentrations were positively correlated with the development of sarcopenia, which is consistent with previous research19. Previous studies have also shown a significant correlation between the ratio of non-HDL cholesterol to HDL-C and low muscle mass20. Growing evidence suggests that lipid metabolism intermediates and fatty acids play a crucial role in regulating skeletal muscle mass and function21. The accumulation of lipids and their byproducts in muscle cells can lead to oxidative stress, inflammation, and insulin resistance, ultimately impairing muscle health22.
Uric acid, a byproduct of purine metabolism, has been linked to inflammation, oxidative stress, vasoconstriction, and endothelial dysfunction23. It is a known risk factor for various diseases such as gout, kidney disease, hypertension, diabetes, cardiovascular disease, and Achilles tendon rupture24,25,26,27,28,29. However, recent studies have highlighted the strong antioxidant capacity of uric acid, contributing to approximately 50% of the body’s total antioxidant activity and possibly playing other beneficial physiological roles30. Our study found an association between sarcopenia and uric acid levels in OVCF patients, aligning with previous findings. A study conducted at West China Hospital in China revealed that higher serum uric acid levels in participants aged 50 years or older were linked to better skeletal muscle mass31, suggesting a protective effect of uric acid on muscle mass and lower extremity strength. Additionally, a multivariate linear regression analysis in another study demonstrated a positive association between serum uric acid levels and bone mineral density at three sites (L1-L4, femoral neck, and total femur)32.The potential link between uric acid and the co-occurrence of osteoporotic vertebral fracture and sarcopenia is an intriguing concept that warrants further investigation. It is worth noting that there is limited research exploring the relationship between sarcopenia, OVCF, and uric acid collectively, opening up a new avenue for future studies.
Height and weight are two indicators that are readily available to us in our daily lives, and there have been studies that have included height in models to predict the risk of osteoporosis33. Height loss is also thought to be associated with osteoporosis and is a predictor of vertebral fracture34. Additionally, there is an increased risk of falls, and therefore an increased risk of fracture, at a height loss of 3 to 4 cm. Height loss of more than 4 cm is associated with sarcopenia, which should also be of interest35. Korean researchers have found that individuals with greater height loss are weaker and more likely to be diagnosed with sarcopenia regardless of age and gender36. This underscores the importance of height in sarcopenia research.
However, our columnar graphical model showed that height is a risk factor for sarcopenia, and that height is positively associated with the occurrence of sarcopenia. This may be due to the fact that height is involved in the calculation of the Appendicular Skeletal Muscle mass Index (ASMI = appendicular skeletal muscle mass (kg)/height2 (m2)). Our study only included height at the time of participation and did not follow up on changes in height. Nevertheless, height as a predictor of sarcopenia is valuable. The association between body weight and sarcopenia remains controversial, as changes in body weight do not always reflect changes in body composition. The proportion and distribution of fat mass may differ, even at the same BMI.In our study, multifactorial logistic regression analysis revealed that elevated body weight reduces the risk of developing sarcopenia. Other studies suggest that low BMI may be a risk factor for sarcopenia, as low body weight is often accompanied by low muscle mass37, which aligns with our results.
Strengths of our study include the construction of an accurate, cost-effective, and convenient tool for early identification of sarcopenia in patients with osteoporotic vertebral compression fractures in western China. The nomogram developed can be used for screening and follow-up due to its simple and practical parameters, allowing clinicians to assess and provide timely advice on diet and lifestyle. However, there are limitations to consider. This is a cross-sectional study, so it cannot prove a causal relationship between the factors examined and sarcopenia, only an association. Additionally, being a single-center study, the prediction model may only be applicable to similar populations. Validation through multicenter studies is needed to further demonstrate its validity and applicability.
In conclusion, we have developed a nomogram tool that includes serum indirect bilirubin to total bilirubin ratio (IBTBR), high-density lipoprotein cholesterol (HDL-C), uric acid (UA), height, and weight to detect sarcopenia in patients with osteoporotic vertebral compression fractures. Our findings offer a simple and practical strategy for early identification of sarcopenia in this population, providing additional possibilities for early prevention and treatment of sarcopenia in these patients. This tool may help improve the prognosis and reduce re-fracture incidences in osteoporotic vertebral compression fracture patients, thereby enhancing their quality of life.
Data availability
All data generated or analysed during this study are included in this published article.For additional inquiries, kindly contact the corresponding author.
Abbreviations
- Alb:
-
Albumin
- ALP:
-
Alkaline phosphatase
- ALT:
-
Alanine aminotransfease
- AUC:
-
Area under the roc curve
- AST:
-
Aspartate Aminotransferase
- A/G:
-
Albumin/Globulin
- DCA:
-
Decision Curve Analysis
- HDL-C:
-
High-Density Lipoprotein Cholesterol
- Hb:
-
Hemoglobin
- LDL-C:
-
Low-Density Lipoprotein Cholesterol
- MRI:
-
Magnetic Resonance Imaging
- NLR:
-
Neutrophil to lymphocyte ratio
- OP:
-
Osteoporosis
- OVCF:
-
Osteoporotic Vertebral Compression Fracture
- PA:
-
Prealbumin
- PLR:
-
Platelet-to-Lymphocyte Ratio
- PWR:
-
Platelet-to-Leukocyte Ratio
- PNR:
-
Platelet-to-Neutrophil Ratio
- SII:
-
Systemic Immune-Inflammation Index
- 25-OHVD:
-
25 hydroxyvitamin D
References
Johnell, O. & Kanis, J. A. An estimate of the worldwide prevalence and disability associated with osteoporotic fractures [J]. Osteoporos. Int. 17 (12), 1726–1733 (2006).
Beall, D. P. et al. Economic analysis of Kiva VCF treatment system compared to balloon kyphoplasty using randomized Kiva safety and effectiveness trial (KAST) data [J]. Pain Physician. 18 (3), E299–306 (2015).
Ballane, G. et al. Worldwide prevalence and incidence of osteoporotic vertebral fractures [J]. Osteoporos. Int. 28 (5), 1531–1542 (2017).
Karmakar, A. et al. Evaluation of percutaneous vertebroplasty for management of symptomatic osteoporotic compression fracture [J]. J. Clin. Diagn. Res. 11 (8), Rc07–rc10 (2017).
Satake, S. & Arai, H. Chapter 1 frailty: definition, diagnosis, epidemiology [J]. Geriatr. Gerontol. Int. 20 (Suppl 1), 7–13 (2020).
Cruz-Jentoft, A. J. et al. Sarcopenia: European consensus on definition and diagnosis: report of the European working group on sarcopenia in older people [J]. Age Ageing. 39 (4), 412–423 (2010).
Almohaisen, N. et al. Prevalence of undernutrition, frailty and sarcopenia in community-dwelling people aged 50 years and above: systematic review and meta-analysis [J]. Nutrients 14(8), 1537. https://doi.org/10.3390/nu14081537 (2022).
Hida, T. et al. Sarcopenia and sarcopenic leg as potential risk factors for acute osteoporotic vertebral fracture among older women [J]. Eur. Spine J. 25 (11), 3424–3431 (2016).
Tokeshi, S. et al. Relationship between skeletal muscle mass, bone mineral density, and trabecular bone score in osteoporotic vertebral compression fractures [J]. Asian Spine J. 15 (3), 365–372 (2021).
Cruz-Jentoft, A. J. et al. Sarcopenia: revised European consensus on definition and diagnosis [J]. Age Ageing. 48 (4), 601 (2019).
McCarthy, J. & Davis, A. Diagnosis and management of vertebral compression fractures [J]. Am. Fam Physician. 94 (1), 44–50 (2016).
Chen, L. K. et al. Asian working group for sarcopenia: 2019 consensus update on sarcopenia diagnosis and treatment [J]. J. Am. Med. Dir. Assoc. 21 (3), 300–7e2 (2020).
Wang, W. F. et al. The association between sarcopenia and osteoporotic vertebral compression refractures [J]. Osteoporos. Int. 30 (12), 2459–2467 (2019).
Yin, Z. et al. Influence of sarcopenia on surgical efficacy and mortality of percutaneous kyphoplasty in the treatment of older adults with osteoporotic thoracolumbar fracture [J]. Exp. Gerontol. 186, 112353 (2024).
Ruiz-Gaspà, S. et al. Effects of bilirubin and Sera from jaundiced patients on osteoblasts: contribution to the development of osteoporosis in liver diseases [J]. Hepatology 54 (6), 2104–2113 (2011).
Jurado, S. et al. Bilirubin increases viability and decreases osteoclast apoptosis contributing to osteoporosis in advanced liver diseases [J]. Bone 162, 116483 (2022).
Inoguchi, Y. et al. Relationship between serum indirect bilirubin levels and skeletal muscle mass in older male and female patients with type 2 diabetes [J]. PLoS One. 17 (11), e0276976 (2022).
Wang, C. et al. Relationship between serum bilirubin concentration and sarcopenia in patients with type 2 diabetes: a cross-sectional study [J]. J. Int. Med. Res. 49 (3), 3000605211004226 (2021).
Yin, M. et al. Determination of skeletal muscle mass by aspartate aminotransferase / alanine aminotransferase ratio, insulin and FSH in Chinese women with sarcopenia [J]. BMC Geriatr. 22 (1), 893 (2022).
Hao, J. Q. et al. The association between non–high–density lipoprotein cholesterol to high–density lipoprotein cholesterol ratio (NHHR) and low muscle mass in adults aged 20–59: a population-based study in the united States [J]. Lipids Health Dis. 23 (1), 274 (2024).
Lipina, C. & Hundal, H. S. Lipid modulation of skeletal muscle mass and function [J]. J. Cachexia Sarcopenia Muscle. 8 (2), 190–201 (2017).
Sousa-Victor, P., García-Prat, L. & Muñoz-Cánoves, P. Control of satellite cell function in muscle regeneration and its disruption in ageing [J]. Nat. Rev. Mol. Cell. Biol. 23 (3), 204–226 (2022).
Miller, S. G. et al. Uric acid formation is driven by crosstalk between skeletal muscle and other cell types [J]. JCI Insight 9(2), e171815. https://doi.org/10.1172/jci.insight.171815 (2024).
Li, D. et al. The dysregulation of immune cells induced by uric acid: mechanisms of inflammation associated with hyperuricemia and its complications [J]. Front. Immunol. 14, 1282890 (2023).
Ponticelli, C., Podestà, M. A. & Moroni, G. Hyperuricemia as a trigger of immune response in hypertension and chronic kidney disease [J]. Kidney Int. 98 (5), 1149–1159 (2020).
Grayson, P. C. et al. Hyperuricemia and incident hypertension: a systematic review and meta-analysis [J]. Arthritis Care Res. (Hoboken). 63 (1), 102–110 (2011).
Dehghan, A. et al. High serum uric acid as a novel risk factor for type 2 diabetes [J]. Diabetes Care. 31 (2), 361–362 (2008).
Kushiyama, A. et al. Xanthine oxidoreductase is involved in macrophage foam cell formation and atherosclerosis development [J]. Arterioscler. Thromb. Vasc Biol. 32 (2), 291–298 (2012).
Liang, J. et al. Asymptomatic Hyperuricemia Is Associated with Achilles Tendon Rupture through Disrupting the Normal Functions of Tendon Stem/Progenitor Cells [J]. Stem Cells Int, 2022: 6795573. (2022).
Lu, M. et al. Relationship between serum uric acid and sarcopenia in geriatric heart failure patients with preserved ejection fraction [J]. Exp. Gerontol. 191, 112445 (2024).
Liu, X. et al. Higher uric acid serum levels are associated with sarcopenia in West china: a cross-sectional study [J]. BMC Geriatr. 22 (1), 121 (2022).
Kim, S., Lee, S. & Kwon, H. Association between serum uric acid level and bone mineral density in men more than 50 years of age [J]. Front. Endocrinol. (Lausanne). 14, 1259077 (2023).
Wu, X. & Park, S. A prediction model for osteoporosis risk using a machine-learning approach and its validation in a large cohort [J]. J. Korean Med. Sci. 38 (21), e162 (2023).
Briot, K. et al. Accuracy of patient-reported height loss and risk factors for height loss among postmenopausal women [J]. Cmaj 182 (6), 558–562 (2010).
Asahi, R. et al. Association of height loss with falls and sarcopenia in community-dwelling older women [J]. Osteoporos. Sarcopenia. 6 (2), 59–64 (2020).
Ji, S. et al. Height loss as an indicator of ageing through its association with frailty and sarcopenia: an observational cohort study [J]. Arch. Gerontol. Geriatr. 110, 104916 (2023).
Chen, F. et al. Risk factors for sarcopenia in the elderly with type 2 diabetes mellitus and the effect of metformin [J]. J Diabetes Res, 2020: 3950404. (2020).
Acknowledgements
We are grateful tha the many physicians at our hospital who participated in the collection of data for the paper.
Funding
This study was supported in part by grants from the Department of Science and Technology of Sichuan Province, China(Fund Project No. 2023YFS0235), and the Chengdu Municipal Science and Technology Bureau, China (Fund Project No. 2022-YF05-01676-SN).
Author information
Authors and Affiliations
Contributions
Liao and Xing designed the study; Liao, Fu collected and analysed the data, Liao wrote the paper. All authors read and approved the final manuscript.
Corresponding author
Ethics declarations
Competing interests
The authors declare no competing interests.
Ethics statement
This study was reviewed and approved by the Ethics Committee of the Fifth People’s Hospital of Chengdu, affiliated with Chengdu University of Traditional Chinese Medicine (No. Lun Audit 2023-013-Ko01). Before the start of the experiment, patients were informed of the precautions and signed a written informed consent form.The study confirmed that informed consent was obtained from all participants and that the study was conducted in accordance with the Declaration of Helsinki.
Additional information
Publisher’s note
Springer Nature remains neutral with regard to jurisdictional claims in published maps and institutional affiliations.
Rights and permissions
Open Access This article is licensed under a Creative Commons Attribution-NonCommercial-NoDerivatives 4.0 International License, which permits any non-commercial use, sharing, distribution and reproduction in any medium or format, as long as you give appropriate credit to the original author(s) and the source, provide a link to the Creative Commons licence, and indicate if you modified the licensed material. You do not have permission under this licence to share adapted material derived from this article or parts of it. The images or other third party material in this article are included in the article’s Creative Commons licence, unless indicated otherwise in a credit line to the material. If material is not included in the article’s Creative Commons licence and your intended use is not permitted by statutory regulation or exceeds the permitted use, you will need to obtain permission directly from the copyright holder. To view a copy of this licence, visit http://creativecommons.org/licenses/by-nc-nd/4.0/.
About this article
Cite this article
Liao, Y., Fu, C. & Xing, S. Construction and validation of a nomogram for screening for sarcopenia in patients with osteoporotic vertebral compression fracture. Sci Rep 15, 38525 (2025). https://doi.org/10.1038/s41598-025-17688-6
Received:
Accepted:
Published:
Version of record:
DOI: https://doi.org/10.1038/s41598-025-17688-6





