Fig. 3
From: Oral cancer biosensor using ternary photonic crystal and parity time symmetry

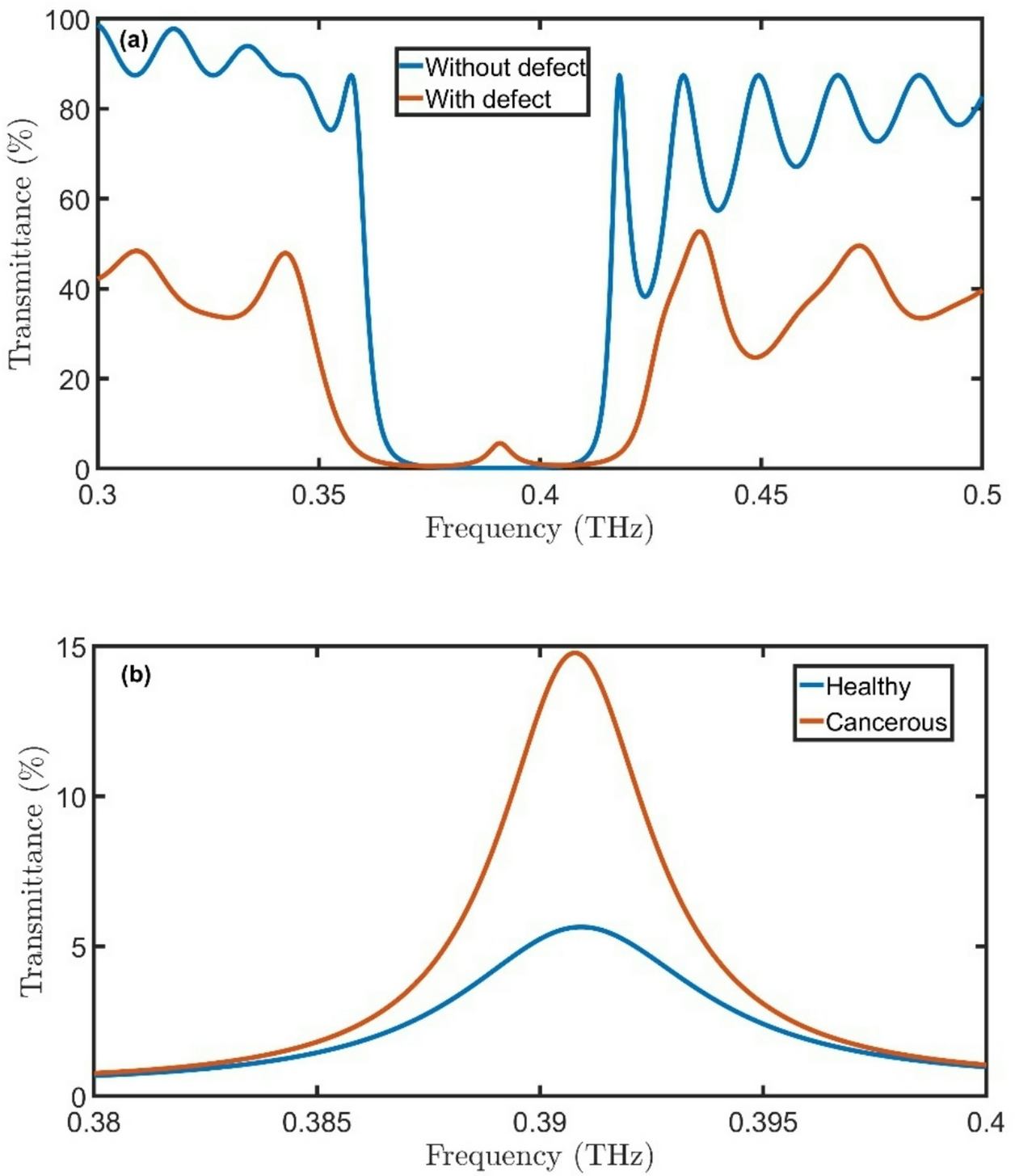
Transmission properties of a 1DTPhC. (a) Comparison of the optical transmittance between the pristine (defect-free) structure and the modified structure containing an embedded defect layer. (b) Transmission spectra showing distinct responses when the defect layer is modeled to mimic the optical properties of healthy versus cancerous cells, highlighting the structure’s potential for biosensing applications.