Abstract
This study explores the theoretical design of a one-dimensional ternary photonic crystal with parity-time (PT) symmetry for terahertz-based optical biosensing of oral cancer. The proposed structure follows the arrangement (ABA)N/D/(ABA)N, where layers A (doped SiO2) and B (Si) form the periodic lattice, and D serves as a defect layer containing either healthy or cancerous oral cells. Transmission spectra were analyzed under varying PT-symmetry parameter (Q) conditions, revealing distinct defect modes within the photonic bandgap that exhibit strong dependence on the optical properties of the biological tissue. Comparative analysis between healthy and malignant cells showed notable variations in transmission amplitude and peak positions, with peak transmittance reaching 7.41 × 1010 at optimized Q-values. The system demonstrated exceptional sensitivity, achieving a maximum transmittance-based sensitivity of 2.1 × 10¹² %/RIU, highlighting its capability to detect minute refractive index changes. These results indicate that the PT-symmetric photonic crystal structure provides a highly sensitive, non-invasive, and label-free optical platform for early and precise oral cancer detection in the terahertz regime.
Similar content being viewed by others
Introduction
Oral cancer remains a pressing global health issue, ranking among the most common malignancies and contributing significantly to cancer-related morbidity and mortality1,2. Early detection plays a vital role in improving survival rates, yet current diagnostic methods often rely on invasive biopsies and histopathological analyses, which can delay timely intervention. In recent years, optical biosensors have gained increasing attention for their potential in non-invasive, label-free, and real-time detection of malignancies, including oral cancer3,4,5,6,7,8,9. Among these, photonic crystal-based biosensors have demonstrated high sensitivity and specificity due to their ability to detect subtle changes in the refractive index of biological samples, a characteristic that is particularly useful for distinguishing between healthy and cancerous cells10,11,12,13,14.
One-dimensional photonic crystals (1D-PhCs)15,16,17,18,19,20,21,22,23, in particular, have emerged as promising platforms for biosensing due to their simple fabrication, strong photonic bandgaps (PBGs), and compatibility with terahertz (THz) frequencies, which are non-ionizing and well-suited for probing biological tissues, hazardous gases, radiation, etc24,25,26,27,28. The integration of a defect layer into these periodic structures enables the creation of highly localized modes whose spectral position is highly sensitive to the refractive index of the inserted analyte, such as tissue samples from the oral cavity29,30.
Furthermore, incorporating parity-time (PT) symmetry into photonic crystals has introduced a new paradigm for enhancing biosensor performance31,32,33,34. PT symmetry, achieved by balancing gain and loss within the photonic system, can lead to unique optical phenomena such as exceptional points, which enable ultrahigh sensitivity to small perturbations in the system, including minute changes in refractive index associated with malignant transformations in oral tissue35. Structures designed with PT symmetry have demonstrated enhanced peak transmittance and sharper defect modes, making them ideal candidates for next-generation biosensors.
PhC–based cancer biosensors have attracted significant attention due to their potential for label-free, optical detection of malignant cells. However, many existing PhC sensors suffer from low sensitivity and a limited quality factor, which restricts their ability to detect subtle biomolecular changes with high precision. A primary limitation in the current body of research is that most detection schemes are simulated to respond to variations in the real part of the refractive index associated with cancerous tissues or cells, while largely neglecting the imaginary part, also known as the extinction coefficient6,36,37. This oversight is significant because the extinction coefficient encapsulates the material’s absorption characteristics, which can carry valuable diagnostic information about cancer progression and biochemical composition. Incorporating both real and imaginary refractive index components into the design and analysis of photonic crystal sensors could lead to a more comprehensive optical fingerprint of cancer, thereby improving both sensitivity and overall diagnostic performance.
In this study, we propose a novel PT-symmetric one-dimensional ternary photonic crystal structure tailored for the terahertz regime, with the goal of detecting oral cancer through variations in the optical properties of biological tissues. The sensor exploits the high sensitivity of PT-symmetric photonic bandgap modes to distinguish between healthy and cancerous cells, offering a promising route toward rapid, accurate, and non-invasive oral cancer diagnostics. The biosensor’s exceptional performance stems from the PT-symmetric photonic crystal’s ability to magnify subtle dielectric differences between cell types through its unique field enhancement properties. These characteristics suggest strong potential for clinical applications, including non-invasive early cancer detection and development of automated diagnostic systems that could outperform current screening methods. The dual-parameter detection capability (combining intensity and frequency measurements) significantly enhances diagnostic reliability compared to conventional single-parameter biosensors.
Equations and theory
In this study, a one-dimensional ternary photonic crystal (TPhC) structure is designed in the form of \(\:{\left(ABA\right)}^{N}/D/{\left(ABA\right)}^{N},\) where layers \(\:A\) and \(\:B\) represent alternating dielectric materials, and \(\:D\) denotes a central defect layer composed of either normal or oral cancerous cells. Specifically, material \(\:A\) is \(\:Si{O}_{2}\) doped with polymer or quantum dots and material \(\:B\) is silicon (\(\:Si\)). The structure is symmetrically arranged around the defect layer to ensure balanced optical confinement. The refractive indices and thicknesses of the layers are defined by \(\:{n}_{A}\), \(\:{n}_{B}\), \(\:{d}_{A}\), and \(\:{d}_{B}\).
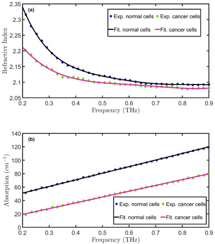
As a foundational step, we examined the experimental study reported by Sim et al.38, which analyzed the optical properties of normal and cancerous oral cells in the THz frequency range. Their investigations were conducted at a temperature of 20 °C using THz imaging for the application to oral cancer diagnosis using many oral tissues. In this study, the frequency-dependent refractive index and absorption coefficient of both normal and oral cancer cells within the 0.2–0.9 THz range have been investigated to study the interaction of electromagnetic waves and infected cells. These parameters are crucial for understanding the interaction of THz waves with biological tissues and serve as the basis for the design of our biosensing platform. The experimentally obtained refractive index and absorption38 were extracted and fitted as follows:
For normal oral cells:
For cancerous cells:
These optical characteristics are instrumental in optimizing the photonic crystal configuration to enhance the sensitivity and selectivity of the proposed biosensor for oral cancer detection. The detailed geometrical parameters used for the simulation are included as \(\:{n}_{A}\) = 2.1, \(\:{n}_{B}\) = 3.4, \(\:{d}_{A}\) = 120 μm, \(\:{d}_{B}\) = 80 μm and \(\:{d}_{D}\) = 90 μm to initate the study. The number of periodic ternary layers on either side of the defect layer is set to N = 5, forming a symmetrical structure of the from \(\:{\left(ABA\right)}^{N}\left(D\right){\left(ABA\right)}^{N}*substrate\). The above layer thicknesses and refractive indices were optimized through iterative simulations to maximize the photonic bandgap, and adjustments were made until the transmission spectra met the target criteria.
To introduce PT symmetry into the PhC, the \(\:Si{O}_{2}\) layers (A) are alternately modeled as loss and gain media. This configuration allows the system to exhibit unique non-Hermitian optical properties, including unidirectional transmission and exceptional point behavior, which are highly sensitive to perturbations in the defect layer. The refractive indices for gain and loss \(\:Si{O}_{2}\) layers are given as39:
where \(\:{n}_{R}\) real part of refractive index (\(\:{n}_{R}=2.1\)) and Q is loss\gain factor. We used transfer matrix method to investigate the transmission characteristics of proposed 1DTPhC structure with defect layer, which is a powerful and fast approach to study a finite sized and defect structure. In this approach, the electromagnetic fields are correclated with a matrix on either side of unit cell, which is known as transfer matrix. The total matrix of \(\:{\left(ABA\right)}^{N}\left(D\right){\left(ABA\right)}^{N}*substrate\) is40,41,42,43,44,45,46:
In the proposed PC design, the optical response of each individual layer is mathematically described using a dedicated transfer matrix formalism. This approach systematically incorporates the layer-specific optical parameters including refractive index (\(\:{n}_{i}\)), physical thickness (\(\:{d}_{i}\)), and propagation angle (\(\:{\theta\:}_{i}\)) to fully characterize light interaction within the structure as follows:
For TE polarized waves\(\:,\)
The total transmittance (T) is given by:
where \(\:{{\varnothing}}_{0}\) and \(\:{{\varnothing}}_{s}\) are for ambient and substrate mediums, and t is:
The transfer matrices collectively model how electromagnetic waves propagate through the multilayer architecture, capturing both the intrinsic material properties and their frequency-dependent behavior. This matrix representation enables precise calculation of the photonic band structure and defect mode characteristics essential for biosensing applications.
Results and discussion
As shown in Fig. 1a,b, the refractive index and absorption coefficient exhibit frequency-dependent variations that distinguish normal and cancerous oral cells in the THz range. Both cell types display a sharp decline in refractive index as frequency increases from 0.2 THz to around 0.4 THz. At higher frequencies, the refractive index stabilizes, reaching a near-saturation state. On the other hand, the absorption coefficient rises almost linearly over the entire frequency spectrum for normal and cancerous cells, suggesting a steady increase in energy loss.
Experimental38 and fitted optical properties of healthy and cancerous cells: (a) Comparative real refractive index profiles across wavelengths; (b) Absorption spectra highlighting key differences between normal and pathological states.
Next, our investigation centered on determining the transmission properties of the 1DTPhC structure, as depicted in Fig. 2. To thoroughly examine its optical behavior, we conducted numerical simulations using TMM to obtain the transmission spectra for two distinct cases: (i) the defect-free 1DTPhC, consisting of a periodic arrangement of three alternating dielectric layers (Fig. 3a), and (ii) the modified 1DTPhC structure incorporating a defect layer, which was strategically introduced to disrupt the periodicity, as illustrated in Fig. 3b. By comparing these two configurations, we aimed to assess how the presence of a defect layer influences the PBG and transmission characteristics of the system.
Transmission properties of a 1DTPhC. (a) Comparison of the optical transmittance between the pristine (defect-free) structure and the modified structure containing an embedded defect layer. (b) Transmission spectra showing distinct responses when the defect layer is modeled to mimic the optical properties of healthy versus cancerous cells, highlighting the structure’s potential for biosensing applications.
The transmission characteristics of the 1DTPhC reveal important optical properties, as illustrated in Fig. 3(a). The pristine structure, without any defect layer, exhibits a well-defined PBG between 0.3689 THz and 0.4085 THz. This PBG forms due to the periodic variation in refractive indices among the alternating layers, which creates destructive interference that blocks electromagnetic wave propagation within this frequency range. The presence of this PBG confirms the structure’s ability to selectively filter specific terahertz frequencies while reflecting others. In Fig. 4(a–c), the electric field distribution (EFD) is depicted using finite element method (COMSOL MULTIPYSICS) for regions both inside and outside the photonic bandgap (PBG) in a 1DTPhC without defect cavity. Outside the PBG (Fig. 4a and c), the EFD shows transmission, whereas within the PBG (Fig. 4b), the EFD is suppressed, indicating bandgap blocking.
When a defect layer composed of healthy oral cells is incorporated at the center of the 1DTPhC, a sharp transmission peak emerges within the PBG at 0.39075 THz, reaching an amplitude of 5.64%. This defect mode arises because the introduced layer breaks the periodicity of the crystal, allowing a localized resonant state to form. The resulting transmission peak indicates that the structure permits a narrow frequency band to pass through, despite the surrounding PBG. This phenomenon demonstrates the tunability of the photonic crystal’s optical response, suggesting potential applications in sensing and frequency-selective filtering.
Further analysis of Fig. 3(b) compares the defect modes produced by healthy and cancerous cells, revealing distinct shifts in resonant frequency and transmission intensity. These differences arise from variations in the dielectric properties of the two cell types, which alter the defect layer’s interaction with the surrounding photonic crystal. Such sensitivity to subtle changes in refractive index highlights the potential of 1DTPhC structures for biomedical sensing, particularly in detecting cellular abnormalities at terahertz frequencies. The ability to distinguish between healthy and diseased tissues based on their transmission signatures could pave the way for non-invasive diagnostic technologies.
The introduction of cancerous oral cells as the defect layer induces measurable changes in the photonic crystal’s transmission characteristics. As shown in Fig. 3b, the defect mode shifts to a marginally lower frequency of 0.39078 THz compared to the healthy cell case, while demonstrating a substantial increase in transmission intensity to 14.78%. This nearly threefold enhancement in peak transmission is because the diseased tissues have lower absorption coefficient (Fig. 1b). In Fig. 5a,b, the EFD is depicted for the 1DTPhC with defect cavity (normal and cancer cells). The localized electric field in the case of cancer cells is higher than that of normal cells.
The pronounced contrast in transmission behavior between normal and pathological cells underscores the remarkable sensitivity of the 1DTPhC structure to subtle biomolecular variations. These findings suggest that the proposed photonic crystal architecture can effectively discriminate between healthy and diseased tissues based on their distinct THz signatures. Such capability positions the 1DTPhC as a promising platform for developing next-generation terahertz biosensors with potential applications in early cancer detection and non-invasive medical diagnostics. The system’s ability to resolve minute differences in cellular composition through measurable changes in transmission spectra could revolutionize THz-based biomedical imaging and point-of-care testing technologies.
Our investigation then focused on analyzing how the gain-loss parameter Q affects the defect mode’s optical properties, particularly its transmission intensity and spectral linewidth (Fig. 6). Loss and gain parameter can be managed post-fabrication of the device by optical or electrical pumping47. We performed detailed simulations of the 1DTPhC structure containing healthy oral cells as the defect layer while systematically adjusting the Q parameter. The results presented in Fig. 6 clearly show that higher Q values produce two important effects; a significant boost in the transmission peak amplitude, and a progressive narrowing of the spectral linewidth (FWHM). This combination of effects indicates that increasing Q (up to a specific value) enhances both the resonance strength and spectral selectivity of the defect mode.
Transmission spectra of the 1D photonic crystal with a defect layer composed of healthy cells, demonstrating the evolution of the defect mode under varying gain-loss parameter (Q) values: (a) \(\:Q=0.5\), (b) \(\:Q=1\), (c) \(\:Q=1.5\), (d) \(\:Q=2\), (e) \(\:Q=2.5\), (f) \(\:Q=3\), (g) \(\:Q=3.5\), (h) \(\:Q=3.6\), (i) \(\:Q=3.80290\), (j) \(\:Q=3.9\), (k) \(\:Q=4\), and (l) \(\:Q=4.5\).
The gain layer is energized by an external pump, causing the gain medium to absorb energy via energy-level transitions (stimulated emission). At a particular frequency, the absorbed energy is re-emitted with identical energy to the propagating electromagnetic waves. This results in coupling resonance between them, leading to amplification of the resonant peak. The observed behavior can be understood by considering how the Q parameter influences the balance between gain and loss in the system. As Q increases, the gain mechanism becomes more dominant, leading to stronger light-matter interaction within the defect layer. This not only amplifies the transmitted signal but also sharpens the resonance peak, as evidenced by the decreasing FWHM48,49.
The enhanced peak sharpness suggests an improvement in the quality factor of the resonance, which is particularly valuable for applications requiring high spectral resolution. These findings demonstrate the potential for precisely controlling defect mode characteristics through careful tuning of the gain-loss parameter.
The ability to manipulate both the intensity and linewidth of the transmission peak by adjusting Q offers exciting possibilities for optimizing photonic crystal-based devices. In sensing applications, for instance, higher Q values could enable detection of weaker signals while maintaining excellent frequency selectivity. Furthermore, the relationship between Q and defect mode properties provides a valuable design guideline for developing tunable photonic devices with tailored optical responses. These results highlight the importance of gain-loss engineering in photonic crystal systems and its potential for creating advanced optical components with precisely controlled characteristics.
The spectra reveal a systematic enhancement in transmission peak intensity and spectral narrowing (reduced FWHM) with increasing Q values, illustrating the critical role of gain-loss balance in tuning the resonant properties of the photonic structure. The exceptional point observed at Q = 3.80290 (panel i) marks a transition in the system’s optical behavior, where the defect mode reaches maximum sharpness before spectral features begin to broaden at higher Q values.
To quantitatively assess the impact of the gain-loss parameter (Q), we measured both the transmission amplitude and FWHM of the defect mode for each Q value, as shown in Fig. 7. The results demonstrate a transmission intensifies dramatically to a peak value of 7.25 × 10¹⁰ at Q of 3.8029. This non-monotonic behavior reveals the existence of an exceptional point at Q = 3.8029, representing the optimal gain-loss balance in this PT-symmetric system before the onset of instability. The corresponding FWHM measurements show an inverse relationship with transmission intensity, exhibiting progressive narrowing until the critical Q value is reached, followed by spectral broadening. These quantitative findings provide fundamental insights into the operational limits of PT-symmetric photonic systems and their potential for ultra-sensitive optical applications.
To extend our investigation, the optical response of the 1DTPhC structure is evaluated when the defect layer consisted of oral cancerous cells. Figure 8 presents the transmission spectra for different Q values in this configuration. Similar to the healthy cell case, increasing Q leads to a pronounced sharpening of the defect mode peak along with a significant amplification in transmission intensity. This behavior confirms the critical role of the gain-loss parameter in enhancing resonant energy confinement within the defect layer.
Transmission spectra of the 1D photonic crystal with a defect layer composed of cancerous cells, demonstrating the evolution of the defect mode under varying gain-loss parameter (Q) values: (a) \(\:Q=0.5\), (b) \(\:Q=1.0\), (c) \(\:Q=1.5\), (d) \(\:Q=2\), (e) \(\:Q=2.3\), (f) \(\:Q=2.35\), (g) \(\:Q=2.37865\), (h) \(\:Q=2.5\), (i) \(\:Q=3\), (j) \(\:Q=3.5\), (k) \(\:Q=4\), and (l) \(\:Q=4.5\).
The consistent trend observed for both healthy and cancerous cells underscores the universal impact of PT symmetry on defect mode characteristics in photonic crystals. However, subtle differences in transmission amplitude and resonant frequency between the two cases arise due to variations in the dielectric properties of the biological materials. As Q approaches the PT-symmetric threshold, the system exhibits stronger field localization and improved spectral selectivity, reinforcing the potential of such structures for high-sensitivity biosensing applications. These findings further validate the tunability of defect mode properties through gain-loss engineering, regardless of the specific defect composition.
A detailed examination of the transmission properties was conducted by systematically analyzing the peak amplitude and spectral linewidth across different Q values, as illustrated in Fig. 9. The results demonstrate a nonlinear relationship between the gain-loss parameter and transmission efficiency. In the initial phase (Q < 2.3), the transmission shows moderate enhancement, suggesting progressive improvement in resonant energy confinement. The system reaches optimal performance at Q = 2.37865, where the transmission peaks at 7.41 × 1010 with minimal spectral broadening, indicating the PT-symmetry threshold. Beyond this critical point, the transmission efficiency deteriorates rapidly, characteristic of symmetry-breaking behavior in non-Hermitian photonic systems.
The observed behavior follows similar trends to the healthy cell case but exhibits distinct quantitative differences. Most notably, the critical Q value for cancerous cells (2.37865) is substantially lower than that of healthy cells (3.8029), representing a 37.5% reduction in the symmetry threshold. This shift arises from differences in the dielectric properties between healthy and malignant tissues, particularly in terms of water content and cellular structure. The consistent operational patterns, combined with measurable variations in transition points, validate the structure’s capability to distinguish subtle biological differences through precise photonic measurements.
These findings have significant implications for biomedical sensing technologies. The measurable variation in critical Q values between cell types demonstrates the potential for developing highly sensitive diagnostic platforms. The system’s ability to detect minute changes in dielectric properties through clear photonic signatures suggests promising applications in early disease detection. Furthermore, the consistent observation of PT-symmetry breaking across different biological samples confirms the robustness of this photonic approach, while the quantifiable differences in transition points provide a reliable metric for biological characterization. This combination of sensitivity and specificity positions the 1DTPhC structure as a promising candidate for next-generation biosensing devices.
Our investigation culminates in assessing the proposed 1DTPhC structure’s biosensing capabilities through comparative analysis of defect modes induced by healthy and cancerous cells. Figure 10 presents the transmission spectra obtained at two strategically selected Q-values: Q = 3.8029 (optimal for healthy cells) and Q = 2.37865 (optimal for cancerous cells). These specific parameters were chosen based on our previous findings regarding the critical gain-loss balance for each cell type.
The spectral comparison reveals distinct signatures for each biological condition. At their respective optimal Q values, cancerous cells demonstrate a transmission peak that is both more intense and slightly redshifted compared to healthy cells. This behavior can be attributed to the modified dielectric environment created by the malignant cells, which affects both the resonance strength and the effective refractive index of the defect layer. The pronounced difference in transmission characteristics between the two cell types, particularly in terms of peak intensity, spectral position, and linewidth, validates the structure’s sensitivity to biological variations.
The proposed 1DTPhC biosensor demonstrates remarkable sensitivity in distinguishing between healthy and cancerous oral cells through their distinct transmission signatures. As shown in Fig. 10a, at the optimal Q-value for healthy cells (Q = 3.8029), the biosensor produces a sharp resonance peak at 0.390872 THz with an exceptionally high transmission amplitude of 7.25 × 1010 for healthy cells, while cancerous cells under the same conditions yield a significantly weaker response (33.65 amplitude) at a slightly shifted frequency of 0.390765 THz. This represents a measurable 107 MHz frequency shift, providing two independent parameters for cellular discrimination. In Fig. 11a,b, the EFD is depicted for the 1DTPhC with defect cavity (normal and cancer cells). The localized electric field in the case of normal cells (3.25 × 104 V/m) is higher than that of cancer cells (1.8 × 103 V/m) at \(\:Q=0.390872\).
The reciprocal behavior observed at the cancerous cell’s optimal Q-value (Q = 2.37865), shown in Fig. 10b, further confirms the biosensor’s specificity. In this configuration, cancerous cells generate a strong resonance (7.41 × 1010) at 0.390764 THz, while healthy cells produce a much weaker response (35.51) at 0.390921 THz. The consistent appearance of these dramatic contrasts, with intensity differences spanning eight orders of magnitude and reproducible spectral shifts around 150 MHz, regardless of operational Q-value demonstrates the robustness of this detection methodology. In Fig. 12a,b, the EFD is depicted for the 1DTPhC with defect cavity (normal and cancer cells). The localized electric field in the case of normal cells (2.25 × 103 V/m) is lower than that of cancer cells (3.25 × 104 V/m) at \(\:Q=2.37865\).
To rigorously assess the sensing capability of our 1DTPhC structure, we performed a quantitative analysis using transmittance-based sensitivity (S(T)), defined as:
where ΔT is the change in transmission amplitude and Δncells represents the difference in refractive index between healthy and oral cancerous cells. The sensitivity was evaluated at two different Q-values to examine the influence of PT symmetry on biosensing performance. At \(\:Q=1.565488\), the transmittance-based sensitivity was found to be \(\:S\left(T\right)=2.0\times\:{10}^{12}\:\%/RIU\). A slight increase in Q to 1.613267 resulted in an increased sensitivity of \(\:S\left(T\right)=2.1\times\:{10}^{12}\:\%/RIU.\) The proposed 1DTPhC biosensor demonstrates unprecedented sensitivity for early oral cancer detection in the terahertz regime. This exceptional performance stems from the optimized PT-symmetric design, which combines gain-loss engineering with the 1DTPhC structure’s enhanced light-matter interaction.
Conclusion
This study presents a novel 1D ternary photonic crystal (1D-TPC) structure with PT symmetry for highly sensitive terahertz biosensing applications, particularly for early oral cancer detection. By incorporating defect layers composed of either healthy or cancerous oral cells, we systematically investigated the transmission characteristics and demonstrated the structure’s exceptional sensing capabilities. Our results reveal that the biological defects create well-defined resonant modes within the photonic bandgap, with transmission properties that are strongly influenced by both the cellular optical parameters and the PT-symmetry gain-loss parameter Q. The most significant finding is the structure’s extraordinary sensitivity, reaching 2.1 × 1012 %/RIU, which enables detection of minute refractive index differences between healthy and malignant tissues. At critical Q values, we observed substantial variations in both the intensity and spectral position of defect modes for different cell types, providing multiple discrimination parameters for accurate diagnosis. These findings establish the 1D-TPC design as a breakthrough platform for terahertz biosensing, combining unprecedented sensitivity with the ability to operate in the biologically important THz frequency range. The structure’s performance metrics and consistent discrimination capability between cell types suggest strong potential for developing non-invasive diagnostic tools that could enable earlier detection of oral malignancies than currently possible with conventional methods. This work not only advances photonic biosensing technology but also opens new possibilities for PT-symmetric structures in medical diagnostics and other applications requiring ultra-high sensitivity detection.
Data availability
Requests for materials or code should be addressed to Zaky A. Zaky.
References
Hashmi, A. A. et al. Risk Factors of oral squamous cell carcinoma with special emphasis on areca nut usage and its association with clinicopathological parameters and recurrence. Int. J. Surg. Oncol. 2024, 9725822. https://doi.org/10.1155/2024/9725822 (2024).
Nokovitch, L. et al. Oral cavity squamous cell carcinoma risk factors: state of the Art. J. Clin. Med. 12, 3264. https://doi.org/10.3390/jcm12093264 (2023).
Aly, A. H. & Zaky, Z. A. Ultra-sensitive photonic crystal cancer cells sensor with a high-quality factor. Cryogenics 104, 102991. https://doi.org/10.1016/j.cryogenics.2019.102991 (2019).
Vijayalakshmi, D. Photonic crystal fiber-based skin cancer sensor. J. Opt. https://doi.org/10.1007/s12596-021-00801-z (2022).
Karki, B., Sarkar, P., Dhiman, G., Srivastava, G. & Kumar, M. Platinum diselenide and graphene-based refractive index sensor for cancer detection. Plasmonics, vol. 19, pp. 953–962, (2024). https://doi.org/10.1007/s11468-023-02051-0
Ayyanar, N., Raja, G. T., Sharma, M. & Kumar, D. S. Photonic crystal fiber-based refractive index sensor for early detection of cancer. IEEE Sens. J. 18, 7093–7099. https://doi.org/10.1109/JSEN.2018.2854375 (2018).
Ghaforyan, H. Ultra-sensitive Two-dimensional photonic crystal biosensor for oral cancerous cell detection. J. Adv. Biomedical Sci. https://doi.org/10.18502/jabs.v14i3.16357 (2024).
Karki, B., Alsubaie, A. S., Sarkar, P., Sharma, M. & Ali, N. B. Detection of skin, cervical, and breast cancer using Au–Ag alloy and WS2-based surface plasmon resonance sensor. Plasmonics. https://doi.org/10.1007/s11468-024-02521-z (2024).
Sinibaldi, A. Cancer biomarker detection with photonic crystals-based biosensors: an overview. J. Lightwave Technol. 39, 3871–3881. https://doi.org/10.1109/JLT.2021.3056225 (2021).
Afsheen, S. et al. Modeling of 1D Au plasmonic grating as efficient gas sensor. Mater. Res. Express. 6, 126203. https://doi.org/10.1088/2053-1591/ab553b (2019).
Chen, Y. et al. Experimental realization of D-shaped photonic crystal fiber SPR sensor. J. Phys. D. 50, 025101 (2016).
Daher, M. G. et al. Design of a nano-sensor for cancer cell detection based on a ternary photonic crystal with high sensitivity and low detection limit. Chin. J. Phys. 77, 1168–1181. https://doi.org/10.1016/j.cjph.2022.03.032 (2022).
Daher, M. G., Taya, S. A., Colak, I. & Ramahi, O. M. Design of a novel optical sensor for the detection of waterborne bacteria based on a photonic crystal with an ultra-high sensitivity. Opt. Quant. Electron. 54, 108. https://doi.org/10.1007/s11082-021-03486-7 (2022).
Mohamed, Z. A., Almawgani, A. H., Adam, Y. S. & Gumaih, H. S. Plasmon-induced transparency in a periodic silver cavity for optical sensing applications. Plasmonics. https://doi.org/10.1007/s11468-025-03013-4 (2025).
Zaky, Z. A. et al. Theoretical optimization of Tamm plasmon polariton structure for pressure sensing applications. Opt. Quant. Electron. 55, 738. https://doi.org/10.1007/s11082-023-05023-0 (2023).
Saini, J., Kumar, A. & Goyal, A. K. Performance analysis of chirped graded photonic crystal resonator for biosensing applications. Photonics 1173. https://doi.org/10.3390/photonics11121173 (2024).
Goyal, A. K., Dash, D., Saini, J. & Massoud, Y. Theoretical analysis of graded-index topological resonator for improved sensing performance. Opt. Express. 32, 4102–4110. https://doi.org/10.1364/OE.511412 (2024).
Goyal, A. K., Divyanshu, D. & Massoud, Y. Excitation of optical Tamm state for photonic spin hall enhancement. Sci. Rep. 14, 175. https://doi.org/10.1038/s41598-023-50067-7 (2024).
Goyal, A. K., Kumar, A. & Massoud, Y. Performance analysis of heterostructure-based topological nanophotonic sensor. Sci. Rep. 13, 19415. https://doi.org/10.1038/s41598-023-46784-8 (2023).
Goyal, A. K., Saini, J. & Massoud, Y. Performance analysis of organic material assisted dynamically tunable excitation of optical Tamm state. Opt. Quant. Electron. 55, 563. https://doi.org/10.1007/s11082-023-04843-4 (2023).
Dash, D., Saini, J., Goyal, A. K. & Massoud, Y. Exponentially index modulated nanophotonic resonator for high-performance sensing applications. Sci. Rep. 13, 1431. https://doi.org/10.1038/s41598-023-28235-6 (2023).
Goyal, A. K., Kumar, A. & Massoud, Y. Performance analysis of DAST material-assisted photonic-crystal-based electrical tunable optical filter. Crystals 12, 992. https://doi.org/10.3390/cryst12070992 (2022).
Goyal, A. K., Husain, M. & Massoud, Y. Analysis of interface mode localization in disordered photonic crystal structure. J. Nanophotonics. 16, 046007–046007. https://doi.org/10.1117/1.JNP.16.046007 (2022).
Zaky, Z. A., Al-Dossari, M., Hendy, A. S., Zayed, M. & Aly, A. H. Gamma radiation detector using cantor quasi-periodic photonic crystal based on porous silicon doped with polymer. Int. J. Mod. Phys. B. 38, 2450409. https://doi.org/10.1142/S0217979224504095 (2024).
Zaky, Z. A. et al. Theoretical analysis of porous silicon one-dimensional photonic crystal doped with magnetized cold plasma for hazardous gases sensing applications. Opt. Quant. Electron. 55, 584. https://doi.org/10.1007/s11082-023-04907-5 (2023).
Zaky, Z. A., Al-Dossari, M., Hendy, A. S. & Aly, A. H. Studying the impact of interface roughness on a layered photonic crystal as a sensor. Phys. Scr. 98, 105527. https://doi.org/10.1088/1402-4896/acfa4a (2023).
Zaky, Z. A., Zhaketov, V., Kozhevnikov, S. & Sallah, M. Photonic crystal with a defect layer of silicon containing polymer nanocomposites as radiation detector. Sci. Rep. 15, 7935. https://doi.org/10.1038/s41598-025-91050-8 (2025).
Zaky, S. A. et al. Replacing toxic dyes with photonic crystals for printing applications: simulation study. Appl. Opt. 64 https://doi.org/10.1364/AO.545462 (2025).
Chaudhary, S., Malik, A. K., Kumar, A., Thapa, K. B. & Nautiyal, V. K. Ultrasensitive high quality Terahertz biosensor based on 1D photonic crystal for the detection of breast cancer cells. Sens. Imaging. 25, 1–16. https://doi.org/10.1007/s11220-024-00521-1 (2024).
Zaky, Z. A., Sallah, M., Zhaketov, V. & Aly, A. H. Topological edge state resonance as gamma dosimeter using Poly nanocomposite in symmetrical periodic structure. Sci. Rep. 15, 17753. https://doi.org/10.1038/s41598-025-02352-w (2025).
Zaky, Z. A., Al-Dossari, M., Sharma, A. & Aly, A. H. Effective pressure sensor using the parity-time symmetric photonic crystal. Phys. Scr. 98, 035522. https://doi.org/10.1088/1402-4896/acbcae (2023).
Zaky, Z. A. et al. Photonic crystal with magnified resonant peak for biosensing applications. Phys. Scr. 98, 055108. https://doi.org/10.1088/1402-4896/accbf1 (2023).
Cao, P. et al. Ultrastrong graphene absorption induced by one-dimensional parity-time symmetric photonic crystal. IEEE Photonics J. 9, 1–9. https://doi.org/10.1109/JPHOT.2017.2653621 (2017).
Zhang, B. et al. Bandwidth tunable optical bandpass filter based on parity-time symmetry. Micromachines 13, 89. https://doi.org/10.3390/mi13010089 (2022).
Liu, H. et al. Ultrasensitive Terahertz biodetection using metasensors based on Parity-Time symmetry. IEEE Trans. Terahertz Sci. Technol. https://doi.org/10.1109/TTHZ.2024.3496560 (2024).
Sharma, P., Sharan, P. & Deshmukh, P. A photonic crystal sensor for analysis and detection of cancer cells. in International conference on pervasive computing (ICPC) 1–5 (2015). https://doi.org/10.1109/PERVASIVE.2015.7087208
Bijalwan, A., Singh, B. K. & Rastogi, V. Analysis of one-dimensional photonic crystal based sensor for detection of blood plasma and cancer cells. Optik 226, 165994. https://doi.org/10.1016/j.ijleo.2020.165994 (2021).
Sim, Y. C., Park, J. Y., Ahn, K. M., Park, C. & Son, J. H. Terahertz imaging of excised oral cancer at frozen temperature. Biomedical Opt. Express. 4, 1413–1421. https://doi.org/10.1364/BOE.4.001413 (2013).
Zaky, Z. A., Al-Dossari, M., Zhaketov, V. & Aly, A. H. Defected photonic crystal as propylene glycol THz sensor using parity-time symmetry. Sci. Rep. 14, 23209. https://doi.org/10.1038/s41598-024-73477-7 (2024).
John, S. Strong localization of photons in certain disordered dielectric superlattices. Phys. Rev. Lett. 58, 2486. https://doi.org/10.1103/PhysRevLett.58.2486 (1987).
John, S. & Florescu, M. Photonic bandgap materials: towards an all-optical micro-transistor. J. Opt. A: Pure Appl. Opt. 3, S103. https://doi.org/10.1088/1464-4258/3/6/361 (2001).
Yeh, P. Optical Waves in Layered Media (Wiley New York, 1988).
Zaky, Z. A., Zhaketov, V., Sallah, M. & Aly, A. H. Using Periodic Multilayers of Ferromagnetic and Paramagnetic Layers as Neutron Filter: Simulation Study, Plasmonics. https://doi.org/10.1007/s11468-024-02533-9 (2024).
Sayed, F. A. et al. Quasi periodic photonic crystal as gamma detector using Poly nanocomposite and porous silicon. Sci. Rep. 15, 18451. https://doi.org/10.1038/s41598-025-02910-2 (2025).
Zaky, Z. A., Alzahrani, A., Khedr, G. H., Elsharkawy, M. & Sallah, M. Radiation detector based on coupling between defect mode and topological edge state mode in photonic crystal. Sci. Rep. 15, 1–14. https://doi.org/10.1038/s41598-025-99332-x (2025).
Zaky, Z. A. et al. Theoretical study of doped porous silicon in cantor quasi periodic structure for gamma radiation detection. Sci. Rep. 15, 14995. https://doi.org/10.1038/s41598-025-94555-4 (2025).
Klimov, V. et al. Optical gain and stimulated emission in nanocrystal quantum Dots. Science 290, 314–317. https://doi.org/10.1126/science.290.5490.314 (2000).
Wang, T. & Niu, Y. Defect modes in defective one dimensional parity-time symmetric photonic crystal. Sci. Rep. 13, 21338. https://doi.org/10.1038/s41598-023-48737-7 (2023).
Yu, G., Lv, Y., Zhang, X. & Cao, R. Electromagnetic propagation characteristics of one-dimensional photonic crystals with metal layers in quasi-parity-time (PT)-symmetric system. Z. Für Naturforschung A. 75, 665–670. https://doi.org/10.1515/zna-2020-0104 (2020).
Funding
This work was supported and funded by the Deanship of Scientific Research at Imam Mohammad Ibn Saud Islamic University (IMSIU) (grant number IMSIU-DDRSP2501).
Author information
Authors and Affiliations
Contributions
Z.A. Zaky invented the original idea of the study, implemented the computer code, performed the numerical simulations, analyzed the data, wrote and revised the main manuscript text, and was the team leader. A. Hennache analyzed the data and discussed the results. V. D. Zhaketov analyzed the data and discussed the results. Finally, all Authors developed the final manuscript.
Corresponding author
Ethics declarations
Competing interests
The authors declare no competing interests.
Additional information
Publisher’s note
Springer Nature remains neutral with regard to jurisdictional claims in published maps and institutional affiliations.
Rights and permissions
Open Access This article is licensed under a Creative Commons Attribution-NonCommercial-NoDerivatives 4.0 International License, which permits any non-commercial use, sharing, distribution and reproduction in any medium or format, as long as you give appropriate credit to the original author(s) and the source, provide a link to the Creative Commons licence, and indicate if you modified the licensed material. You do not have permission under this licence to share adapted material derived from this article or parts of it. The images or other third party material in this article are included in the article’s Creative Commons licence, unless indicated otherwise in a credit line to the material. If material is not included in the article’s Creative Commons licence and your intended use is not permitted by statutory regulation or exceeds the permitted use, you will need to obtain permission directly from the copyright holder. To view a copy of this licence, visit http://creativecommons.org/licenses/by-nc-nd/4.0/.
About this article
Cite this article
Zaky, Z.A., Hennache, A. & Zhaketov, V.D. Oral cancer biosensor using ternary photonic crystal and parity time symmetry. Sci Rep 15, 33371 (2025). https://doi.org/10.1038/s41598-025-17739-y
Received:
Accepted:
Published:
Version of record:
DOI: https://doi.org/10.1038/s41598-025-17739-y














