Fig. 6
From: Oral cancer biosensor using ternary photonic crystal and parity time symmetry

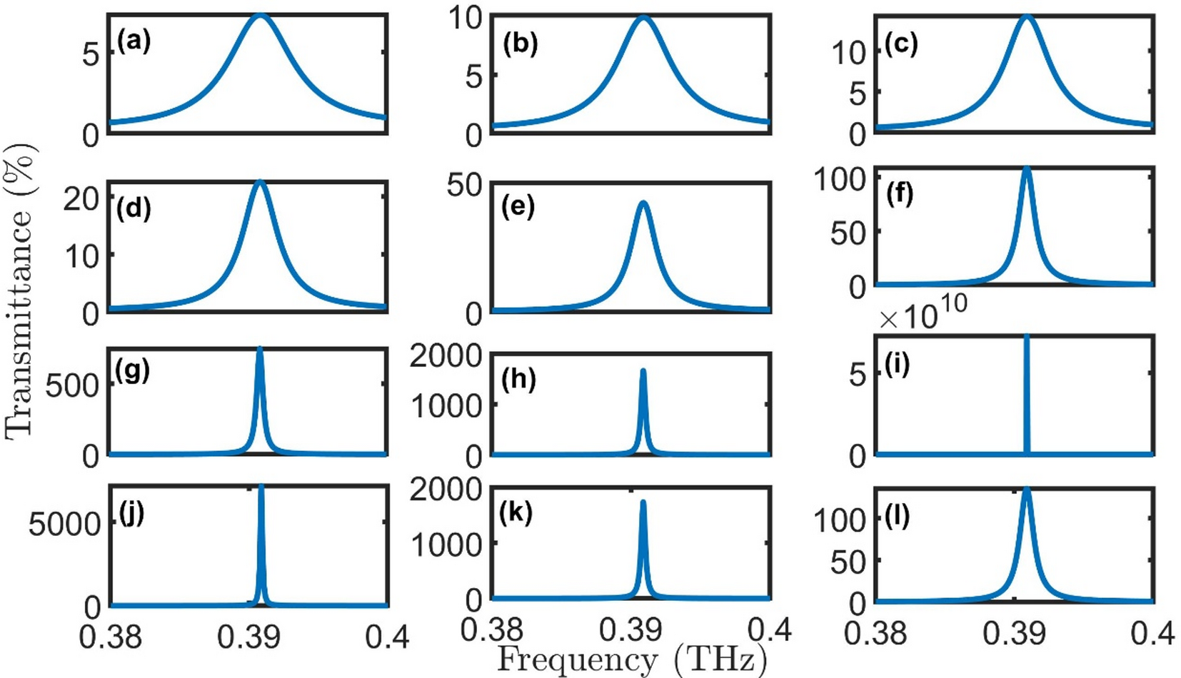
Transmission spectra of the 1D photonic crystal with a defect layer composed of healthy cells, demonstrating the evolution of the defect mode under varying gain-loss parameter (Q) values: (a) \(\:Q=0.5\), (b) \(\:Q=1\), (c) \(\:Q=1.5\), (d) \(\:Q=2\), (e) \(\:Q=2.5\), (f) \(\:Q=3\), (g) \(\:Q=3.5\), (h) \(\:Q=3.6\), (i) \(\:Q=3.80290\), (j) \(\:Q=3.9\), (k) \(\:Q=4\), and (l) \(\:Q=4.5\).