Fig. 5
From: Comprehensive analysis of MAGE-A10 in pan-cancer and its validation in gastric cancer

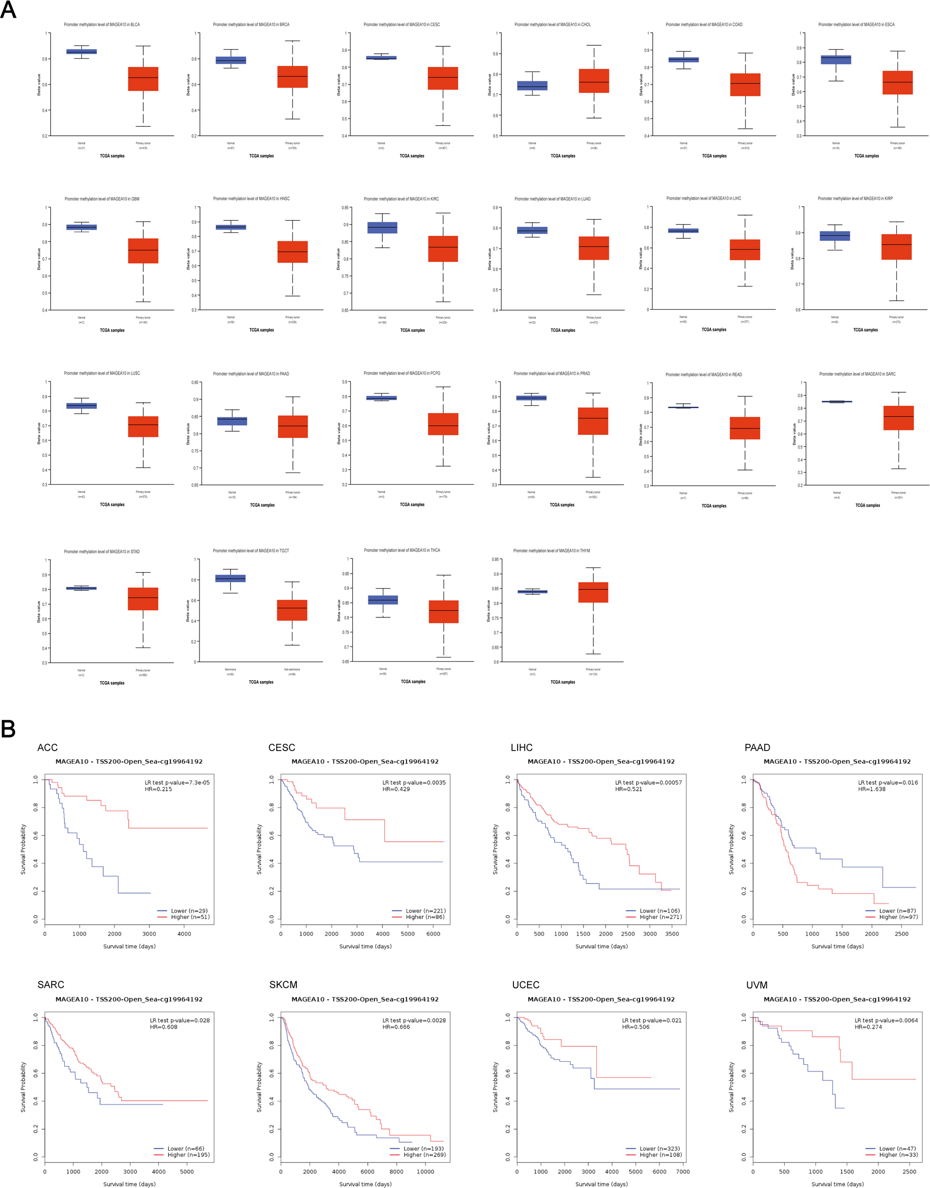
Methylation analysis of MAGEA10. (A) Comparison of MAGEA10 gene promoter methylation levels between 22 types of tumor tissues and normal tissues in UALCAN. (B) Prognostic relevance of methylation levels at the MAGEA10 cg19964192 site in different cancers.