Abstract
When tunnel boring machines (TBMs) excavate in mudstone, argillization of the rock reduces tunneling efficiency. To investigate the influence of argillization on TBM performance and determine the optimal operational parameters, numerical investigation was conducted based on the energy evolution by Particle Flow Code 3D (PFC3D). Argillization was simulated by adhesive rolling resistance Linear model. The effects of argillization on forces acting on the disc cutter, crack evolution, and energy consumption were analyzed. Furthermore, the influence of operational modes, tip angles, and tip widths on energy consumption, the mass of slurry adhered to the cutters, and tunneling efficiency were investigated. Results indicate that argillization decreases the normal force while increasing the rolling and lateral forces. Besides, argillization significantly increases mechanical work, thereby reducing tunneling efficiency of the TBM. When excavating in the mudstone, load control mode, coupled with a cutter tip angle of 40° and a tip width of 15 mm, can effectively mitigate argillization risks and improve efficiency. This study provides valuable references for the operation of the TBM in mudstone, thereby expanding the machine’s range of application.
Similar content being viewed by others
Introduction
Tunnel boring machines (TBMs) offer significant advantages in tunnel engineering, including high efficiency, lower costs, reduced ground disturbance, and adaptability to diverse strata compared to the drill-and-blast method1,2. However, due to the repeated rolling of disc cutters combined with high temperature and moisture transforms mudstone into cohesive slurry that adheres to cutter surfaces. The process is defined as the argillization effect of mudstone. The argillization effect causes cutter clogging and mud cake formation, severely reducing excavation efficiency3,4.
Previous studies have pointed out that the main factors affecting TBM excavation performance include mechanical and geological parameters, such as cutter spacing, penetration depth, cutter radius, and rock strength5,6,7,8,9,10. With the development of the algorithm, in recent years, some artificial intelligence algorithms for the prediction of TBM excavation rates were proposed based on geological conditions11,12,13. However, most of studies focus on the excavation efficiency in the hard rock layer. These approaches often overlook the unique challenges posed by clay-bearing rocks like mudstone, where high clay mineral content leads to severe argillization and reduced efficiency. The specific influence of operational parameters on TBM performance in argillized mudstone remains poorly understood.
In addition, the rock-breaking mechanism of TBMs in mudstone layer has widely been investigated. The parameters affecting the rock-breaking performance of the TBM in mudstone are water content, confining pressure, penetration depth, installation radius of disc cutters, etc. In detail, as the water content increases, the optimal cutter spacing decreases, the rock breaking efficiency of the TBM decreases firstly and then increases. Both confining pressure and water content restrain the vertical fracture zone within the cutter’s breaking area14,15. As for the penetration depth and installation radius of disc cutters, the distribution of fracture bonds and stress is proportional to the penetration depth, while the lateral force is inversely proportional to the installation radius of disc cutters16. Typically, the cracking behavior of the mudstone by disc cutter differs from the hard rock. The distribution of fracture bonds is biased towards the outside of the cutter. Fractures are more likely to occur in the direction of existing cutting grooves. The variation in roller cutter load is related to the breaking of connecting bonds, which reduces the local stiffness and strength of the rock17. Under the penetration of the disc cutter, significant macroscopic cracks occur, shear failure is dominant in the mudstone18. However, until now, the influence of operational parameters on the tunneling efficiency of TBM in mudstone remains unclear.
Under natural conditions, the mudstone is prone to disintegrate due to the change of water and temperature. The phenomenon is termed as the argillization, which decreases the stability of bank slope, even cause the landslide. Therefore, much attention has been paid to the argillization mechanism of mudstone. The studies have shown that the soften of soft rock is mainly caused by the swelling and disintegration of clay minerals, ion exchange adsorption, the dissolution of soluble minerals, the nonlinear chemical kinetics of soft rock19. As soaking time increased, clay particles expand, causing uneven stress and pores. Contact between particles transforms from face-edge and face-face to edge-edge and face-edge combinations20. Besides, some scholars found that microstructure of the mudstone could also provide pathways for water intrusion, leading to the expansion of clay minerals and the dissolution of carbonates, which facilitates the propagation and connectivity of internal cracks in the rock21. Under the dry-wet cycle, the argillization of mudstone is accelerated. The reduction in clay mineral content and the increase in pores and fractures are the main reasons for the disintegration of the mudstone during dry-wet cycles. The disintegration process exerts an onion-like peeling pattern22. However, under the penetration of the disc cutter, mechanical action promotes the disintegration and softening of mudstone, which differs from the argillization mechanism in the nature. Nonetheless, the argillization under the action of the disc cutters and its impact on TBM excavation performance remain unclear.
To reveal the effects of argillization on the tunneling efficiency of TBM in the mudstone and obtain the optimal operational parameters, the study firstly investigates the argillization mechanism of mudstone under the action of the disc cutters. Subsequently, the rotary cutting process of the disc cutter in mudstone was simulated by the PFC3D. The adhesion of the slurry on the cutter surface was simulated. Thus, the effects of the argillization on the forces acting on the disc cutters, the cracking process, and energy evolution were studied. Then, the tunneling process of the disc cutter was simulated under different control methods, tip angles and tip widths. The elastic strain energy, friction energy, damping energy, kinetic energy, bonding energy, total energy, the mass of slurry adhered to the cutter, and excavation efficiency under different parameters were analyzed. Therefore, the optimal excavation was determined from the perspective of energy. The results provide some references for design of TBM and construction scheme in the mudstone.
Establishment of numerical model for the rotatory cutting process of the disc cutters
To investigation the effect of argillization on the tunneling performance of the TBM, the miniature TBM rotatory cutting test conducted by Yang23 are simulated by PFC3D firstly. The micro-parameters of the numerical model are calibrated. Subsequently, full-scale three-dimensional numerical models are simulated. In the models, the slurry is adhered to the disc cutter gradually. The normal and rolling forces acting on the cutter, the mass of slurry adhered to the cutter, the energy in the model (elastic strain energy, friction energy, damping energy, kinetic energy, bonding energy, total energy) were obtained.
Calibration of micro-parameters
In the discrete element model, the physical and mechanical properties of the rock are influenced by the contact forces between particles and the properties of the particles. Therefore, it is crucial to determine the micro-parameters of the mudstone based on the physical and mechanical properties of the rock. According to the physical and mechanical properties of the rock in the experiment by Yang23uniaxial compression tests and Brazilian split tests were simulated. The micro-parameters of the rock in the particle flow model are calibrated according to the density, uniaxial compressive strength, Poisson’s ratio, and elastic modulus of mudstone. In the uniaxial compression test, a cylinder with a diameter of 50 mm and a height of 100 mm is established, in the Brazilian split test, a cylinder with a diameter of 50 mm and a height of 50 mm is established, as shown in Fig. 1. Linear parallel bond model is employed to simulate the mechanical behavior of the rock24while the linear model is employed to simulate the contact between the rock and the loading plate. The numerical simulation results are presented in Fig. 2. It is seen that the numerical and experimental uniaxial compressive strength and tensile strength of the mudstone are similar with each other. According to the calibration, the micro-parameters of the rock in particle flow model are obtained, as list in Table 1, the mechanical parameters of the rock obtained by PFC3D and the experiment are list in Table 2. In this table, the cohesion (c) and internal friction angle (φ) are derived by the Hook-Brown empirical formula:
The micro-parameters of the rock obtained in Table 1 will be employed to simulate the breaking of the mudstone by the disc cutters. After the calibration, the forces acing on the disc cutter and energy consumption during the cutting were verified.
The establishment of three-dimensional numerical model
After determining the micro-parameters of the rock, a three-dimensional particle flow model for the miniature TBM rotatory cutting test conducted by Yang23 is established, as shown in Fig. 3. In this model, the size of mudstone block is 160 mm×160 mm×80 mm. The rock block is fixed by the walls. During the tunneling, two disc cutters with diameter of 70 mm and installation radius of 45 mm rolls on the mudstone block under the normal force of 1 kN. The rotational speed of cutterhead is 30 r/min. Linear contact model and linear contact model were employed to simulate the contact between particles in rock and the contact between the rock and the walls. Besides, adhesive rolling resistance linear model is selected to simulate the contact between the cutter surface and the mudstone, thus the clogging of the cutters can be realized. Adhesive rolling resistance linear model is an innovative model which is developed from rolling resistance linear model in PFC3D 5.0. The model realizes the cohesion between particles in a mall range, i.e. Van der Waals force. The cohesion is determined by the maximum attraction (F0) and the attraction range (D0). Figures 4 and 5 illustrate the mechanical principles of the adhesive rolling resistance linear model, as well as the relationship between cohesion and the distance two blocks, respectively. In the contact model, linear force Fl, damping force Fd, attractive force Fa, and rolling resistance moment Mr between two blocks transmit tensile forces, torques, and cohesive forces. Fl provides linear elastic friction between blocks, Fd provides viscous behavior, and Mr allows for the transmission of torque between the blocks. When the gap between the two blocks is less than the attraction range D0, the attractive force Fa appears. The relationship between the attractive force and the gap is shown in Fig. 5,Fa and \(F_{n}^{a}\) are given by Eqs. 3 and 4:
The miniature TBM rotatory cutting test by (a) Yang35 and (b) corresponding the three-dimensional particle flow model.
Therefore, the normal force Fc and the moment Mc applied on the contact surface are as follows:
Defining the work done by the attractive force as cohesive energy Ea. When the attractive force is activated, the cohesive energy updated at each time step is:
where, ΔEa,n is the cohesive energy updated at each calculation step, Ea,n is the cohesive energy at the (n)-th step, (Fa)0 is the attractive force at the initial time step, \(F_{{n - 1}}^{a}\) is the attractive force at the (n−1)-th step, Δδn is the normal relative displacement increment. When the two blocks are attracted together, Ea>0, conversely, when the two objects separate, Ea<0. To determine the maximum attraction F0 and attraction range D0 in the adhesive rolling resistance linear model, the miniature TBM rotatory cutting test conducted by Yang23 is established. F0 and D0 are set as 500 and 0, respectively. Based on experimental results, the mass of slurry adhered to the disc cutter is 0.15 g. In the experiment, the mass of slurry adhered to a disc cutter is 0.19 g. The simulation result is 21% smaller than the experimental results, suggesting that the model parameters are generally reasonable.
Furthermore, to eliminate the size effect, the rock breaking process by a full-scale disc cutter is simulated by PFC3D. In the numerical model, the rock was established with a radius of 500 mm and a height of 150 mm. Rigid walls are employed to simulate the 17-in disc cutter cutter (ϕ = 432 mm). To increase the computational efficiency, only the cutter ring is established. The installation radius of the cutter is set as 270 mm, as shown in Fig. 6. A single cutter penetrates vertically into mudstone in the displacement control manner. The penetration depth of p = 7 mm. Simultaneously, the cutter rotates around Z-axis at a speed of N = 1 r/min. The rock breaking process for the first six revolutions is analyzed to simplify the calculation.
In the numerical model, the calculated results includes the loads acting on the disc cutter in the X, Y, and Z directions, the normal displacement of the disc cutter, the mass of slurry adhered to the cutter surface ma, the system energy: parallel bond strain energy Epb, linear bond strain energy Elb, rolling strain energy Ekr, frictional energy Eµs, rolling friction energy loss Eµr, contact damping energy Ecβ, local damping energy loss Elβ, kinetic energy Ek, and cohesive energy Ea. The relationships between the normal force, rolling force, and lateral force applied on the cutter in three-dimensional model are given by Zhang22:
where Fx, Fy, Fz are the loads in the x, y, z directions, respectively, while Fx, Fy, Fz are the normal, rolling, and lateral forces.
According to the methodology and setup mentioned above, the rotatory cutting process of the disc cutters was simulated. According to the 3 dimensional model, the normal displacement of the disc cutter, the mass of slurry adhered to the cutter surface, the system energy, normal force, rolling force, and lateral force applied on the cutters were obtained.
The evolution of energy during the tunneling process in PFC
According to the energy dissipation theory, under the load, sliding and fracture of the mineral particles occur within the rock, resulting in energy transformation in a system. Generally, energy in the system is divided into elastic strain energy Ee and dissipated energy Ed. The dissipated energy is specifically manifested as frictional energy Eµ, damping energy Eβ, kinetic energy Ek and cohesive energy Ea. The elastic strain energy is the energy stored due to the elastic deformation of springs between particles. At this case, the deformation of the contact springs does not exceed the limit displacement, no crack occurs in the rock. When the crack initiates in the rock, the displacement of particles causes the friction, which lead to the frictional energy. At the meanwhile friction between particles generates stress waves, and the transmission of these waves within the rock leads to damping forces acting on the particles. The work done by the damping forces refers to the damping energy. In a closed system, both frictional energy and damping energy convert entirely into heat Eh. The motion of particles in the system causes the kinetic energy Ek. The cohesive energy is the work done by the attractive force between the cutter and the slurry. Ea>0 indicates that the slurry adheres to the cutter surface, Ea<0 indicates that the slurry separates from the cutter surface. The relationships among the energies are shown in Fig. 7. The energy can be employed to assess the tunneling efficiency of TBM. In detail, High cohesive energy Ea represent high argillization risk, high frictional energy Eµ, damping energy Eβ and heat Eh indicate the energy waste, which leads to the low tunneling efficiency. Therefore, the optimal operational parameters can be determined.
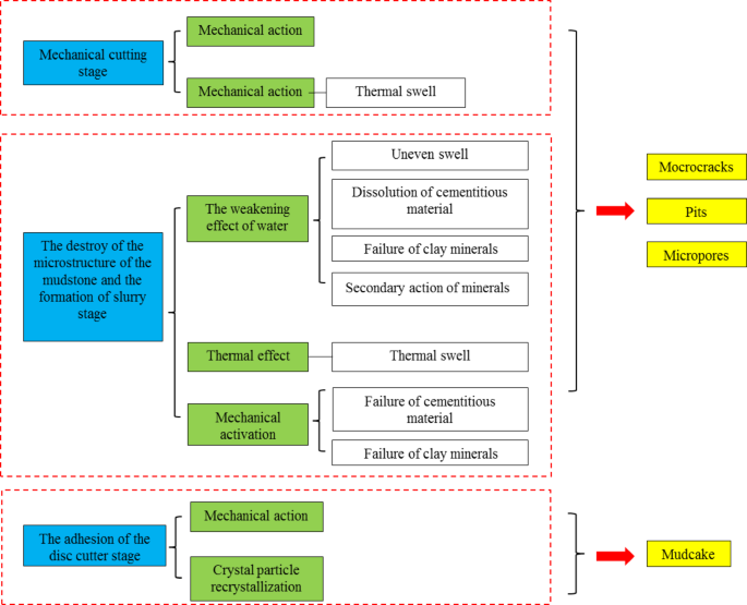
The argillization mechanism of mudstone by the disc cutters
According to the rotary indentation tests on mudstone by Liu25,26, the argillization mechanism of mudstone by disc cutter was revealed. According to the experimental results, the argillization process can be divided into three stages: the mechanical cutting stage, the destruction of the microstructure of the mudstone and the formation of slurry, and the adhesion of the disc cutter. The mechanisms at each stage are illustrated in Fig. 8.
-
(1)
Mechanical cutting stage. At the initiation, when the disc cutters penetrate in the mudstone, the addition of water reduces the adhesion between the slurry and the cutters, thus the cutters contact with the rock directly. Under the action of normal and rolling forces, hard mineral particles penetrate into the metal, leaving the micro furrow on the cutter surface. Additionally, friction between the cutters and the hard particles in the rock generates a large amount of frictional heat, causing the temperature of the cutter ring rises rapidly.
-
(2)
The destruction of the microstructure of the mudstone and the formation of slurry stage. The destruction of the microstructure of the mudstone is mainly caused by the weakening effect of water, thermal effects, and mechanical activation. The process is as follows: (1) “Weakening effect of water” promotes the formation of slurry. Due to the weakening effect of water, uneven mineral expansion occurs27,28, bonding materials between mineral particles dissolve28, thus the structure of mineral lattice is damaged21,29. This process facilitates the clay mineral particles separate from the skeleton particles, causing the disintegration of the mudstone. (2) “Thermal effects” promotes the formation of micro-cracks through thermal expansion. During the rock breaking process, the temperature of the cutter and cutting groove gradually reaches to peak value and keep stable. Consequently, thermal stress develops within the rock. When this stress exceeds the tensile strength of the rock, micro-cracks appear. The flocculation structure of skeleton particles -clay particle will be destroyed, resulting in the separation of clay minerals from the skeleton particles. (3) “Mechanical activation” accelerates the formation of slurry, which differs from the argillization in the natural conditions. Mechanical activation is defined as the process in which mechanical energy increases the reactivity of a system without altering its chemical composition30. During the rock breaking process, the mechanical action of the cutter reduces the particle size of mineral grains, the specific surface area and surface energy increases. Under the influence of mechanical activation, the processes of uneven expansion, dissolution of the bonding materials, and secondary reactions of minerals are accelerated. Finally, clay minerals separated from the mudstone transform into slurry.
-
(3)
The adhesion of the disc cutter stage. Due to the high adhesion, slurry is adhered to the surface of the cutter, causing the clogging of disc cutters.
According to the cavity expansion theory31under the penetration of the cutter, core zone (\(0 \leqslant r \leqslant T/2\)), crushed zone (\(T/2 \leqslant r \leqslant {r_p}\)), plastic zone (\({r_p} \leqslant r \leqslant {r_c}\)) and elastic zone (\(r \geqslant {r_c}\)) are formed inside the rock, as shown in Fig. 9a. However, when cutters penetrate into the mudstone, part of the rock chips in the crushed zone is transformed into slacking mudstone due to the argillization effect. As shown in Fig. 9b. Liu32 have proved that the rock chip within half of thickness of the crushed zone 1/2Lp is transformed into argillization zone in the crushed zone. The rock can be divided into core zone (\(0 \leqslant r \leqslant T/2\)), argillization zone (\(T/2 \leqslant r \leqslant {r_a}\)), plastic zone (\({r_a} \leqslant r \leqslant {r_p}\)) and elastic zone (\(r \geqslant {r_p}\)) under the cutter. The radius of the argillization zone ra and the thickness of argillization layer \({r_{\text{a}}}^{\prime }\)can be expressed as32:
The cavity expansion model under the disc cutter: (a) cavity expansion mode, (b) cavity expansion model considering argillization effect32.
where T is the width of cutter tip, σc is the uniaxial compressive strength of the rock, \({\sigma _c}=\frac{{2c\cos {\varphi _b}}}{{1 - \sin {\varphi _b}}}\), c and φb are the cohesion and internal friction angle of rock, respectively. P0 is the basic contact pressure, \(K=\frac{{1+\sin {\varphi _b}}}{{1 - \sin {\varphi _b}}}\), hˊ is the thickness of slacking mudstone adhered to the cutter tip.
Numerical results and discussions
According to the 3 dimensional numerical model mentioned above, the effect of argillization on the force acting on the disc cutter and the energy were studied firstly. Subsequently, parametric studies were conducted on the effects of operational modes, tip angles, tip widths, and cutter spacing on the energy (elastic strain energy, friction energy, damping energy, kinetic energy, adhesive energy, total energy), the mass of slurry adhered to the cutters and tunneling efficiency, the optimal operational parameters for TBM performance in mudstone were obtained.
The influence of argillization effect on the forces acting on the disc cutter
To investigate the influence of argillization effect on the force acting on the disc cutter, the rotatory cutting tests under the conditions of argillization and without argillization were simulated. In the model that ignores the argillization effect, the attractive force F0 is set as 0, indicating that no slurry is adhered to the cutter surface. The numerical results are shown in Fig. 10. In Fig. 10a, blue particles represent intact rock, red particles denote the rock debris, and yellow particles depict the slurry adhered to the cutter surface. Figure 10b illustrates the spatial distribution of cracks in the rock. In the numerical model, the rock debris is generated under the pressure of the cutter. As the cutter repeatedly rolls on the mudstone surface, the rock debris is broken into slurry gradually due to the argillization effect. Then the slurry is adhered to the cutter surface under the action of the attractive force F0. The process is consistent with experimental results.
Figure 11 compares the variations of normal force Fn, rolling force Fr and lateral force Fl acting on the cutters under the condition of argillization and without argillization. The results show that all the forces continuously increase and then stabilizes during the first two rounds of the cutter. To study the tunneling process through mudstone, the results obtained from 2 nd to 6 th revolution (rotation angle of cutterhead: 720°−2160°) are analyzed in this section. When the cutter rotates from 720° to 1440° (2–4 revolutions), Fn remains relatively stable, while from 1440° to 2160° (4–6 revolutions), Fn fluctuates significantly. Notably, in the case of argillization, Fn is smaller than that in the case without argillization (Fig. 11). Additionally, Fr and Fl fluctuate more dramatically. Furthermore, the averages and standard deviations of normal force Fn, rolling force Fr, and lateral force Fl during the 2–6 rounds were calculated, as shown in Fig. 12. The data indicate that both the averages and standard deviations of Fr and Fl are increased in the case of without argillization, while Fn is decreased.
The changes in the three-dimensional loads suggest that the argillization effect increases the torque acting on the cutterhead. Besides, it aggravates the vibration of the cutterhead during the TBM excavation. Due to the agrillization of mudstone, much adhesive slurry is generated. The slurry cannot be expelled timely. When the cutters roll on the tunnel face, the cutters are prone to be trapped in the slurry, which prevent the uniform rotation of the cutters Besides, the slurry adhered to the cutter draft increases the starting torque of the cutters, leading to the flat wear of cutters, so the rolling and lateral forces increase. Furthermore, when the cutters roll on the tunnel face, the friction between the cutter, slurry and the rock varies significantly. Consequently, the repeating rolling on the slurry and rock leads to the obvious changes in rolling and lateral forces, causing the dramatic vibration of cutterhead. As for the normal force acting on the disc cutters, since the compressive strength of the slurry is lower than that of the rock, the equivalent strength of the rock beneath the cutters decreases, so the normal force acting on the cutter decrease under the condition of argillization.
Figure 13 illustrates the Changes in the number of cracks within the rock under conditions of argillization and without argillization. It is evident that the total number of cracks gradually increases with the rotation of the cutter. However, in the case of argillization, the total number of cracks and tensile cracks are less than that in the case of without argillization, while the number of shear cracks more than that in the case of without argillization. After six rotations, the total number of cracks decreases by 15.20%, the number of tensile cracks decrease by 19.82%, and number of shear cracks increases by 21.27%. Under the action of the cutter, medium cracks are tensile cracks, while lateral cracks and micro-cracks are shear cracks. According to the changes in the three-dimensional forces in Fig. 12, due to the adhesion of slurry, the normal force exerted by the cutter reduces, resulting in the decrease in both the total number of cracks and tensile cracks. However, the increase in lateral force leads to an increase in lateral cracks. Besides, the drastic vibrations of the cutters also facilitate the propagation of micro-cracks within the rock. The combined effects of lateral force and vibration lead to an increase in the number of shear cracks.
Figure 14 presents the Change in the mass of slurry adhered to the cutter surface during the tunneling. It can be seen that the mass generally increases with the rotation of the cutter. However, after the rotational angle exceeding 880°, the growth rate of the mass slows down, eventually, the value keeps at about 7 kg. When rotational angle ranges from 720° to 800°, the destruction of the microstructure of the mudstone and the formation of slurry proceeds (stage 2). After 800°, the much slurry is adhered to the cutter surface gradually. Thus, from 800° to 880°, the mass of the slurry adhered to the cutter surface increases rapidly. Once the mass reaches a certain level, the continuous adhesion and detachment occurs. Finally, the adhesion of slurry keeps at the dynamic balance state.
The influence of argillization effect on the energy consumed in the tunneling process
It is acknowledged that the cracking of the rock is accompanied by the transformation of the energy. Thus, the rock breaking mechanism of TBM can be revealed according to the energy evolution. In the three-dimensional particle flow model, various types of energy were measured during the rock-breaking process, including elastic strain energy Ee, frictional energy Eµ, damping energy Eβ, kinetic energy Ek, cohesive energy Ea and total energy Eb.
Generally, the frictional energy, damping energy and kinetic energy primarily caused by the propagation of micro-cracks, sliding and flow of mud particles within the crushed zone. Moreover, cohesive energy provides insights into the adhesion and detachment of the slurry. So, the evolution of the energies reflects the degree of argillization of the mudstone. Figure 15 illustrates the evolutions of the energy in the case of without argillization and argillization. Furthermore, the energy consumed in these conditions are compared with each other, as shown in Fig, 16. From Fig. 16, in the case of argillization, both Ee and Ea increase rapidly from 760° to 800°. After that, the growth rate slows down. In contrast, in the case of without argillization, Ee increase gradually in the whole tunneling process, Ea is equal to 0. Ek fluctuates obviously in both conditions. When the slurry is adhered to the cutter surface, Ee, Eβ, Ek, Ea and Eb are significantly higher, while Eµ is lower.
The simulation results reveal that argillization leads to an increase in mechanical work, which reduces the tunneling efficiency of the TBM. Initially, when the cutter penetrates into the rock, the elastic deformation of the rock occurs, leading to the elastic strain energy in the rock. However, when the clay minerals are detached from the skeleton particles, the structure of the mudstone is deteriorated, which causes more deformation of the rock under the disc cutter, so the elastic strain energy increases. Besides, the slurry exhibits greater fluidity under the disc cutter, resulting in the increase in both kinetic and damping energies. During the first two revolutions of the cutterhead, the slurry is formed gradually. After that, the slurry is adhered to the cutter surface, leading to a rapid increase in cohesive energy, particularly between 760° and 800°. As the weight of the slurry increases, part of the slurry is detached from the cutter surface due to the gravity. Ultimately, the adhesion and detachment process maintain dynamic balance, the growth rate of the kinetic energy slows down.
The determination of the optimal operational parameters of TBM
To prevent engineering accidents such as the “mud cakes” and clogging of the cutters during the TBM excavation in mudstone, it is crucial to control the operational parameters of the TBM. Proper engineering management facilitate minimize the adhesion of slurry, thereby increase the tunneling efficiency. In this section, the impacts of control mode, tip angle, tip width and cutter spacing on the evolution of the energy (elastic strain energy, frictional energy, damping energy, kinetic energy, cohesive energy, total energy) in the tunneling process were analyzed based on the numerical simulations. In the TBM tunneling project, rock is broken by the cutters through the combined actions of thrust and torque acting on the cutterhead. Although the greater penetration rate corresponds represents higher tunneling efficiency, the increase in thrust and torque at the same penetration rate leads to higher energy consumption and construction costs. Shield excavation efficiency is directly proportional to the penetration rate, but inversely proportional to the applied thrust and torque. To address this, Wang33 proposed the Shield Tunneling Index (KSTI) based on the relationship among thrust, torque, and penetration depth. The KSTI is a comprehensive parameter that reflects the efficiency of TBM tunneling operations. It is defined as the ratio of the applied thrust and torque to the penetration rate, and can be mathematically expressed as follows33:
where p is the penetration depth of the cutter (mm/r), Fn and T are the thrust (kN) and torque (kN·m) exerted by the cutterhead, respectively. According to the definition, higher KSTI indicates higher tunneling efficiency.
The proper criteria for determining the optimal operational parameters is critical. According to the numerical results, the minimum total energy, the mass of slurry adhered to the cutter surface and KSTI indicate the low risk of clogging of cutters and high tunneling efficiency (Fig. 17). In detail, during the rock breaking process, energy consumed due to the friction and damping lead to the heat, which increases the temperature of cutters and cutterhead. The rise in temperature enhances the risk of argillization. Lower kinetic energy and cohesive energy indicate the low risk for the clogging. However, the rock breaking process is complex, it may be difficult to satisfy all criteria mentioned above. Therefore, the overall factors should be taken into account when determining the optimal operational parameters.
The control modes of TBM
During the excavation of TBM, the thrust acting on the cutterhead can be applied in load controlled or displacement control manner. For the load control manner, a constant thrust is applied on the cutterhead. For the displacement control manner, the cutterhead penetrate into the rock with a constant rate, the penetration depth keeps at constant. To investigate the impact of control modes on tunneling efficiency of TBM in mudstone, the rock breaking process by single cutter in the load and displacement control manners are simulated. For the displacement control manner, the penetration depth p is set as 7 mm. It is found that the average normal load acting on the disc cutter is 1.56 kN. To make the numerical model comparable, for the model in the load control manner, the normal force acting on the cutter is fixed at 1.56 kN.
The evolutions of energy for different control manners are illustrated in Fig. 18. It is evident that in the load control manner, Ee, Eµ, Eβ, Ek, Ea and Eb are significantly lower than those in the displacement control manner. Furthermore, the mass of slurry adhered to the cutter in the load control mode is recorded at 1.21 kg, which is considerably less than the mass measured in the displacement control manner (7.14 kg). Additionally, the KSTI in the load control scenario is found to be higher than that in the displacement control manner (Fig. 19). So, the energy consumed in the system is lower in the load control manner. As a result, the temperatures are lower under this condition, which reduces the possibility of argillization. Overall, the results indicate that the load control manner can effectively mitigate the risk of argillization and improve the tunneling efficiency of the TBM.
Tip angle of disc cutter
In addition to the control modes, the appropriate cutter type is a crucial factor for preventing the argillization and improving tunneling efficiency of the TBM. Typically, in the engineering practice, disc cutters with large tip angle are employed in the hard rock layer, while disc cutters with small tip angle are employed in the softer rock layer33. However, too small tip angle might cause the cutter embed into the rock, which results in the rock ridges. The unnelling efficiency is decreased. To address this, it is important to determine the optimal tip angle in the conditions of argillization. In this section, the rock breaking process by the single disc cutter with tip angles ψ of 20°, 30°, 40°, 50°, and 60° were simulated. The cross section of the cutters is illustrated in Fig. 20.
According to the numerical results, the evolutions of energy, the mass of slurry adhered to the cutter and shield tunneling index KSTI for different tip angles is obtained, as shown in in Figs. 21, 22 and 23. The results demonstrate that both elastic strain energy and kinetic energy fluctuates drastically for different tip angles. Especially, for the tip angle ψ of 40°, both damping energy and total energy reach the minimum values. Furthermore, the elastic strain energy, frictional energy, cohesive energy and kinetic energy are relatively low, which results in a higher shield tunneling index. Therefore, the temperatures of the cutter are low, the risk of the argillization is reduced. Besides, it is found that when tip angles ψ = 40°, the mass of adhered to the cutter surface is relatively low, approximately 5 kg, KSTI reaches the peak value, as illustrated in Figs. 22 and 23. Consequently, it is concluded that the optimal tip angle is 40°.
The effect of tip angle on the argillization is influenced by the stress distributed at the front and side surfaces of the cutter. As shown in Fig. 24a, for the constant cross section cutters, the stress p0 is distributed at the front of cutter tip under the normal force. As a result, rock debris in the zone is transformed into slurry due to the argillization effect. Subsequently, the slurry is adhered to the front of cutter tip, i.e. argillization area in the figure. The process increases the energy consumed within the system. For the V-shaped cutter, however, the increase in tip angle increases the stress ps distributed at the side surface of the cutter. Therefore, in addition to the slurry at the front of the cutter tip, the slurry is formed due to the lateral stress, i.e. lateral argillization area in Fig. 24b. Therefore, disc cutters with tip angle of 60° can not effectively mitigate the argillization effect. Considering the degree of argillization and the mass of slurry adhered to the cutter surface; it is advised that V-shaped cutter with a tip angle of 40° is suitable TBM in mudstone.
Tip width of disc cutter
In addition to the tip angle, the tip width is also an essential parameter of the disc cutter. In this section, to investigate the effect of tip width on the tunneling efficiency of the TBM in the mudstone, the rock breaking process by 17-inch disc cutter with tip angle of 40° and tip widths T of 13 mm, 15 mm, 17 mm, 19 mm, and 21 mm were simulated, respectively, as shown in Fig. 25.
Figure 26 presents the evolutions of the energy within the system for different tip widths. It can be seen that total energy, elastic strain energy, frictional energy, damp energy, cohesive energy, kinetic energy and total energy generally increase with the tip width. Besides, when the tip width exceeds 15 mm, the mass of slurry adhered to the cutter increases rapidly, while KSTI becomes decreased (Figs. 27 and 28). The results indicate that the increase in the tip width facilitates the argillization of the mudstone, so the tunneling efficiency of the TBM is decreased. The influence is aggravated when the tip width exceeds 15 mm.
Discussions
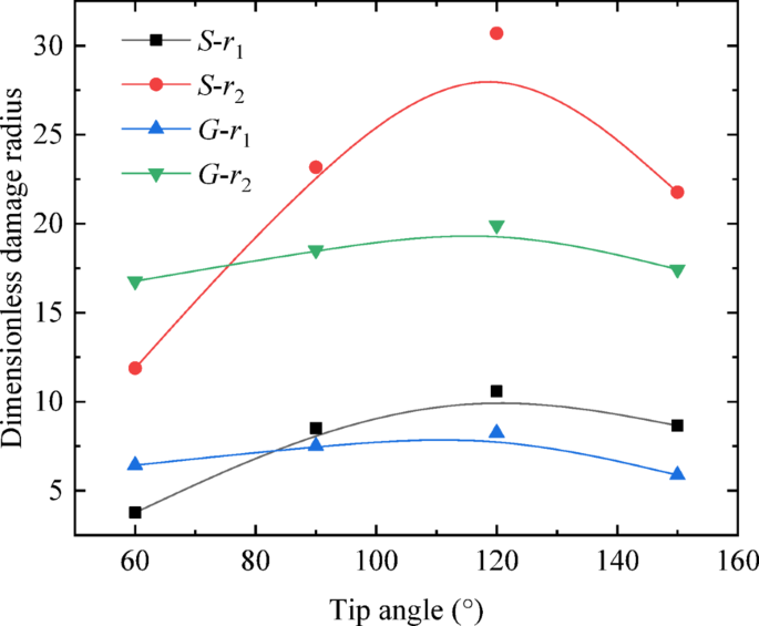
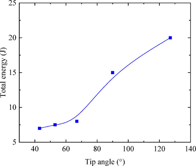
The numerical results are similar with that proposed by the previous scholars. For example, Peng34 investigated the performance of TBMs under various control modes. The study found that when the fixed normal force is less than 85 kN, the force control mode is more effective than displacement control. The load acting on the cutter remains stable during tunneling under force control. These findings highlight that force control is more efficient for rock breaking, which is consistent with the numerical simulations of this study. As for the influence of cutter tip angle on damage zones, Liu35 conducted two-dimensional penetration tests on granite and sandstone using disc cutters with various tip angles (60°, 90°, 120°, and 150°), and monitored the damage process via infrared thermography. The results showed that both the crushed and damage zone radii reach their maximum at a tip angle of 120° (Fig. 29). Similarly, Sun36 investigated the cracking behaviors of the Linear cuttier with tip angles of 43°, 53°, 67°, 90°, and 127° by discrete element software MatDEM. The study demonstrated that total energy consumption during rock breaking increases with tip angle (Fig. 30), and that smaller tip angles generally produce smaller damage zones. The radius of the damage zones reaches the maximum value at the tip angle of 120°. In the mudstone, the thickness of the argillization zone increases with increasing the radius of the crushed and damage zones. Conversely, when the rock is broken by disc cutters with small tip angle, such as the cross section cutters, the rock ridge is formed. So the tunneling efficiency of TBM is decreased. Thus, in the mudstone, it is suggested that the optimal tip angle is 40°.
Variation of the damage zone radius with tip angle, Liu35.
Variation of the total energy in the rock with tip angle, Sun36.
The effect of cutter wear has also been examined. Liu35 investigated the influence of wear width of the cutter on the damage in granite and sandstone through two-dimensional penetration tests. It was found that the radii of the crushed and damage zones increase almost linearly with wear width (Fig. 31). Additionally, Liu32 developed a “mixed lubrication-cavity expansion” model for predicting cutter wear, concluding that the thickness of the argillization layer is proportional to the radius of the crushed zone. As tip width increases, slurry thickness and argillization also increase. Therefore, to minimize argillization during tunneling in mudstone, it is recommended to use disc cutters with a 40° tip angle and a 15 mm tip width.
Variation of the damage zone radius with tip width, Liu35.
In the present study, the clogging of the cutter was simulated by adhesive rolling resistance linear model in PFC3D. The optimal operational parameters were determined by the several indexes such as energy consumed in the system, the mass of adhered to the cutter surface and KSTI. Therefore, the results are credible for the engineering practice. The results will provides valuable references for the operation of the TBM in mudstone. However, due to the complexity of the geological conditions and the layout of the cutters, the optimal operational parameters obtained in the study may not be appropriate for the all the projects. The clay mineral and water content of the mudstone, the installation radius and installation angle of the cutters, and the clogging of the cutterhead does not taken into consideration. These factors will be investigated in the further studies.
Conclusions
The present study investigates the tunneling efficiency of the TBM considering the argillization effect. Firstly, the argillization mechanism of mudstone by the disc cutters were introduced. Subsequently, based on the PFC 3D, a three-dimensional particle flow model for the miniature TBM rotatory cutting test was established. The effect of argillization on the forces acting on the disc cutter and the energy consumed in the tunneling process were investigated. Thus, the tunneling efficiency of TBM under the condition of argillization was studied. Finally, the impacts of control mode, tip angle and tip width on the evolution of the energy in the tunneling process were analyzed, the optimal operational parameters of TBM in the mudstone were determined, the main conclusions are as follows:
-
(1)
The argillization process of the mudstone by disc cutters can be divided into mechanical cutting stages, the destruction of the microstructure of the mudstone and the formation of slurry stage, the adhesion of the disc cutter stage.
-
(2)
In the particle flow model, micro-parameters were calibrated through uniaxial compression tests and Brazilian splitting tests. The contact between the cutter and rock was simulated by using adhesive rolling resistance linear model, which achieve the argillization process of mudstone.
-
(3)
During the tunneling process, the frictional energy Eµ, damping energy Eβ and kinetic energy Ek reflect the degree of argillization, while cohesive energy Ea indicates the adhesion and separation of the slurry on the cutter surface. The argillization effect leads to the decrease in normal force and the increase in rolling and lateral forces acting on the cutters. Generally, the argillization effect increases the mechanical work. Besides, it aggravates the vibration of the cutterhead during the TBM excavation. So, the tunneling efficiency of the TBM is reduced.
-
(4)
The criteria for determining optimal operational parameters are: the minimum total energy, the mass of slurry adhered to the cutter surface and KSTI. According to the numerical results, load controlled manner, V-shaped cutter with an edge angle ψ = 40 and tip width T = 15 mm are suggested to be employed in the tunneling process when considering argillization effect, which reduces the risk of “mud cake” and clogging of cutters, so the tunneling efficiency of the TBM is improved.
Data availability
The authors confirm that the data supporting the findings of this study are available within the article. The data that support the findings of this study are available from the corresponding author upon reasonable request.
Abbreviations
- TBM:
-
Tunnel boring machine
- PFC3D:
-
Particle flow code 3D
- FDEM:
-
Fluid discrete element method
- DEM:
-
Discrete element model
- c :
-
Cohesion
- φ :
-
Internal friction angle
- K STI :
-
Shield tunneling index
References
Chen, H. et al. Failure mechanism and treatment measures of supporting structures at the portal for a shallow buried and asymmetrically loaded tunnel with small clear-distance. Nat. Hazards. 114 (2), 2283–2310. https://doi.org/10.1007/s11069-022-05471-z (2022).
Jiang, Y. et al. Estimation of reinforcing effects of FRP-PCM method on degraded tunnel linings. Soils Found. 57 (3), 327–340. https://doi.org/10.1016/j.sandf.2017.05.002 (2017).
Amirkiyaei, V., Kadkhodaei, M. H. & Ghasemi, E. Estimation of foam (surfactant) consumption in Earth pressure balance tunnel boring machine using statistical and soft-computing methods. J. Rock. Mech. Geotech. 17 (4), 2276–2290. https://doi.org/10.1016/j.jrmge.2024.05.026 (2025).
Jiang, Y. L. et al. Research on muck conditioning for EPB shield tunnelling in composite formation. Sci. Rep. 14(1), 30936. https://doi.org/10.1038/s41598-024-81757-5 (2024).
Lin, Q. H., Zhang, S. C., Liu, H. & Shao, Z. L. Water saturation effects on the fracturing mechanism of sandstone excavating by TBM disc cutters. Arch. Civ. Mech. Eng. 24 (3), 154. https://doi.org/10.1007/s43452-024-00964-z (2024).
Karami, M., Zare, S. & Rostami, J. Tracking of disc cutter wear in TBM tunneling: a case study of Kerman water conveyance tunnel. B Eng. Geol. Environ. 80 (1), 201–219. https://doi.org/10.1007/s10064-020-01931-7 (2021).
Kang, Y. Q. et al. Study on the influence of joint dip angle and spacing on rock fragmentation by TBM double disc cutters. Arch. Civ. Mech. Eng. 23 (4), 222. https://doi.org/10.1007/s43452-023-00762-z (2023).
Wu, Z. J., Zhang, P. L. & Fan, L. F. Numerical study of the effect of confining pressure on the rock breakage efficiency and fragment size distribution of a TBM cutter using a coupled FEM-DEM method. Tunn. Undergr. Space Technol. 88, 260–275. https://doi.org/10.1016/j.tust.2019.03.012 (2019).
Sun, H. K., Gao, Y. & Yang, C. Y. Full-scale rotary cutting experimental study and development of prediction formulas for TBM cutting force. Arab. J. Sci. Eng. 48 (10), 13353–13376. https://doi.org/10.1007/s13369-023-07805-w (2023).
Yang, Z. L. et al. Research on the rock cutting performance and feasibility verification of small-scale rotary cutting test for disc cutter. Sci. Rep. 14 (1), 28558. https://doi.org/10.1038/s41598-024-80059-0 (2024).
Armaghani, D. J., Mohamad, E. T., Narayanasamy, M. S., Narita, N. & Yagiz, S. Development of hybrid intelligent models for predicting TBM penetration rate in hard rock condition. Tunn. Undergr. Space Technol. 63, 29–43. https://doi.org/10.1016/j.tust.2016.12.009 (2017).
Zhang, Q. L., Hu, W. F., Liu, Z. Y. & Tan, J. R. TBM performance prediction with bayesian optimization and automated machine learning. Tunn. Undergr. Space Technol. 103, 103493. https://doi.org/10.1016/j.tust.2020.103493 (2020).
Yan, C. B. et al. Predicting TBM penetration rate with the coupled model of partial least squares regression and deep neural network. Rock. Soil. Mech. 42, 519–528. https://doi.org/10.16285/j.rsm.2020.0164 (2021). (In Chinese).
Wang, G., Liu, X. Q., Yan, C., Song, L. B. & Wang, Z. H. Analysis on rockburst failure energy evolution of model specimen under stress gradient. Rock. Mech. Rock. Eng. 56 (10), 7255–7268. https://doi.org/10.1007/s00603-023-03462-5 (2023).
Yan, C., Wang, T., Zheng, Y., Zheng, H. & Ali, S. Insights into the effect of water content on mudstone fragmentation and cutter force during TBM cutter indentation via the combined finite–discrete element method. Rock. Mech. Rock. Eng. 57 (4), 2877–2912. https://doi.org/10.1007/s00603-023-03700-w (2024).
Tang, M. Y. et al. Study of the cutter-rock interaction mechanism during TBM tunnelling in mudstone: insight from DEM simulations of rotatory cutting tests. B Eng. Geol. Environ. 81 (8), 298. https://doi.org/10.1007/s10064-022-02785-x (2022).
Wang, G. et al. Investigations on the macro-meso mechanical properties and energy dissipation mechanism of granite shear fracture under dynamic disturbance. Int. J. Numer. Anal. Met. 47 (13), 1–21. https://doi.org/10.1002/nag.3584 (2023).
Chu, Z. et al. Mechanical response of inclined TBM tunnel due to drainage settlement of deep sandstone aquifer. Tunn. Undergr. Space Technol. 122, 104393. https://doi.org/10.1016/j.tust.2022.104393 (2022).
Yu, X. W., Fu, H. Y., Zeng, L., Liu, J. & Qiu, X. Y. Damage constitutive model for soft rocks and its experimental verification on silty mudstone considering Cyclic rock-water interactions. B Eng. Geol. Environ. 83 (6), 254. https://doi.org/10.1007/s10064-024-03740-8 (2024).
Zhang, S., Xu, Q. & Hu, Z. M. Effects of rainwater softening on red mudstone of deep-seated landslide, Southwest China. Eng. Geol. 204, 1–13. https://doi.org/10.1016/j.enggeo.2016.01.013 (2016).
Huo, S., Tao, Z., He, M., Wang, F. & Xu, C. Deformation mechanism and npr anchor cable truss coupling support in tunnel through fault fracture zone.. J. Mt Sci-engl https://doi.org/10.1007/s11629-023-8248-6 (2025).
Zhang, Z. H. et al. Disintegration behavior of strongly weathered purple mudstone in drawdown area of three Gorges reservoir, China. Geomorphology 315, 68–79. https://doi.org/10.1016/j.geomorph.2018.05.008 (2018).
Yang, H. Q., He, H. & Chen, C. W. Effect of Cutterhead rotational speed on mudstone argillization during the tunneling process. B Eng. Geol. Environ. 82 (2), 45. https://doi.org/10.1007/s10064-022-03064-5 (2023).
Nallala, S. C., He, H. & Senetakis, K. DEM multi-scale insights on the stress, energy and crack propagation in proppant-fractured rock collisions. Comput. Geotech. 183, 107234. https://doi.org/10.1016/j.compgeo.2025.107234 (2025).
Liu, B. L., Yang, H. Q. & Karekal, S. Effect of water content on argillization of mudstone during the tunnelling process. Rock. Mech. Rock. Eng. 53 (2), 799–813. https://doi.org/10.1007/s00603-019-01947-w (2020).
Liu, B. L. Study on Argillization of Mudstone and Operational Parameters of TBM during the Tunnelling Process (Chongqing University, 2021).
Huang, K. et al. Moisture-absorbing expansion and cracking characteristics of central Sichuan red-bed mudstone based on digital speckle correlation method. B Eng. Geol. Environ. 84 (1), 49. https://doi.org/10.1007/s10064-024-04056-3 (2025).
Xie, Z. et al. Swelling characteristics of red-bed mudstones from Southwest China at variable heat treatment conditions. B Eng. Geol. Environ. 84 (6), 317. https://doi.org/10.1007/s10064-025-04276-1 (2025).
Chang, Z. et al. Case study on hydro-mechanical behavior of tunnel structure in red mudstone adjacent to water-rich fault zones. Alex Eng. J. 123, 620–636. https://doi.org/10.1016/j.aej.2025.03.079 (2025).
Bakil, S. N. A., Tóth, M., Ibrahim, J. E. F. & Mucsi, G. Influence of mechanical activation of coal gangue on the strength and microstructure of geopolymer. Constr. Build. Mater. 486, 141977. https://doi.org/10.1016/j.conbuildmat.2025.141977 (2025).
Liu, J. P., Cao, P. & Li, K. H. A study on isotropic rock breaking with TBM cutters under different confining stresses. Geotech. Geol. Eng. 33 (6), 1379–1394. https://doi.org/10.1007/s10706-015-9907-3 (2015).
Liu, B. L., Yang, H. Q., Wang, G. L., Gao, H. C. & Ren, J. X. Prediction of disc cutter wear considering the argillization effect. Int. J. Geomech. 23 (6), 04023062. https://doi.org/10.1061/IJGNAI.GMENG-8041 (2023).
Wang, L. M., Yang, Z. X., Zhou, J. J., Chen, S. & Lv, Q. Q. Evaluation method of shield tunneling efficiency in different surrounding rock. Chin. J. Undergr. Sp Eng. 15 (1), 240–246 (2019). (In Chinese).
Peng, X. et al. Study on the influence of different control modes on TBM disc cutter performance by rotary cutting tests. Rock. Mech. Rock. Eng. 51, 961–967. https://doi.org/10.1007/s00603-017-1368-y (2018).
Liu, Q. et al. Experimental study on rock indentation using infrared thermography and acoustic emission techniques. J. Geophys. Eng. 15 (5), 1864–1877. https://doi.org/10.1088/1742-2140/aac096 (2018).
Sun, H. Y. Study on rock-breaking Mechanism of Shield Hob in Contact Surface of Upper Soft and Hard Composite Strata (China University of Mining and Technology, 2019).
Funding
This work is supported by the Natural Science Foundation of Zhejiang Province (LTGS23E040001), Science and Technology Plan Project of Shaoxing (2024A11014) and Zhejiang Provincial College Student Innovation and Entrepreneurship Training Program (S202510349112) is greatly appreciated.
Author information
Authors and Affiliations
Contributions
M.W.L and H.W.R. established the numerical model. B.L.L. carried out formal analysis, wrote the main manuscript text. H.C.G. and H.C. reviewed the manuscript. Y.Z., S.C.B., X.Y.C. and X.W. carried out the experiment. B.Q.T and B.Y.L prepared all figures.
Corresponding authors
Ethics declarations
Competing interests
The authors declare no competing interests.
Additional information
Publisher’s note
Springer Nature remains neutral with regard to jurisdictional claims in published maps and institutional affiliations.
Rights and permissions
Open Access This article is licensed under a Creative Commons Attribution-NonCommercial-NoDerivatives 4.0 International License, which permits any non-commercial use, sharing, distribution and reproduction in any medium or format, as long as you give appropriate credit to the original author(s) and the source, provide a link to the Creative Commons licence, and indicate if you modified the licensed material. You do not have permission under this licence to share adapted material derived from this article or parts of it. The images or other third party material in this article are included in the article’s Creative Commons licence, unless indicated otherwise in a credit line to the material. If material is not included in the article’s Creative Commons licence and your intended use is not permitted by statutory regulation or exceeds the permitted use, you will need to obtain permission directly from the copyright holder. To view a copy of this licence, visit http://creativecommons.org/licenses/by-nc-nd/4.0/.
About this article
Cite this article
Lu, M., Ruan, H., Liu, B. et al. Numerical investigation on the tunneling efficiency of TBM considering the argillization effect based on the energy evolution. Sci Rep 15, 34930 (2025). https://doi.org/10.1038/s41598-025-18667-7
Received:
Accepted:
Published:
Version of record:
DOI: https://doi.org/10.1038/s41598-025-18667-7

































