Abstract
To investigate the prognostic value of the Pediatric Sequential Organ Failure Assessment (pSOFA) in children with sepsis during hospitalization. Clinical data for children with sepsis or severe sepsis hospitalized in the PICU of the First Affiliated Hospital of Sun Yat-Sen University and that of Shenzhen Children’s Hospital from December 2014 to December 2019 were retrospectively analyzed. Spearman correlation analysis was used to compare correlations among pSOFA, PRISM III, PELOD-2 and P-MODS. Receiver operating characteristic (ROC) curves were plotted to evaluate the efficacy of pSOFA, Pediatric risk of mortality Ⅲ (PRISM III), pediatric logistic organ dysfunction-2 (PELOD-2), and pediatric multiple organ dysfunction score (P-MODS) in predicting risk of death from childhood sepsis based on the area under the ROC curve (AUC). A total of 456 eligible pediatric patients were ultimately enrolled. The median age was 21 months, the mortality rate was 24.1%, and the average length of hospital stay in the PICU was 9 days. Spearman correlation analysis showed the best correlation between pSOFA and PELOD-2 scores (R = 0.554, P < 0.001), followed by PRISM III (R = 0.474, P < 0.001) and P-MODS (R = 0.466, P < 0.001). Based on ROC curve analysis, the AUCs of pSOFA, PRISM III, PELOD-2 and P-MODS for predicting mortality risk were 0.85 (95% CI, 0.81–0.88, P < 0.001), 0.80 (95% CI, 0.76–0.84, P < 0.001), 0.78 (95% CI, 0.74–0.82, P < 0.001) and 0.72 (95% CI, 0.67–0.76, P < 0.001), respectively. The best cutoff value of pSOFA for predicting in-hospital death in children with sepsis was > 7 (sensitivity 88.07%, specificity 64.71%). Moreover, the Hosmer–Lemeshow goodness-of-fit test indicated better calibration between predicted mortality and observed mortality for pSOFA PRISM III and PELOD-2 (pSOFA: P=0.366;PRISM III༚P༝0.189༛PELOD-2༚P༝0.121), whereas P-MODS showed poor calibration (P<0.001). The AUC value of pSOFA was the highest, and its is superior to PRISM III and PELOD-2 scores at predicting the severity and prognosis of sepsis in children. pSOFA showed the best calibration between predicted mortality and observed mortality in childhood sepsis, followed by PRISM III and PELOD-2. Therefore, pSOFA has important guiding value in predicting risk of death from sepsis in children.
Introduction
In pediatric intensive care units (PICUs), the mortality rate is higher compared to general wards, highlighting the importance of reducing death among critically ill children. Mortality prediction models, such as the Pediatric risk of mortality Ⅲ (PRISM III), pediatric logistic organ dysfunction-2 (PELOD-2), and pediatric multiple organ dysfunction score (P-MODS), play a crucial role in assessing the quality of care provided to these patients1,2,3.
Severe sepsis in children is a life-threatening condition with an 8.2% morbidity rate and a staggering in-hospital mortality rate of up to 25%. This trend has become a significant global public health concern, leading to a substantial social burden4,5. The definition of sepsis according to Sepsis-3 emphasizes the presence of infection and systemic manifestations, ultimately causing life-threatening organ dysfunction due to a dysregulated response to infection6,7. Organ dysfunction was assessed with the use of sequential Sepsis-related organ failure assessment (SOFA), and an increase of 2 points or more in SOFA may lead to in-hospital mortality of more than 10% and eliminate the original definition of severe sepsis8.
While the Sequential Organ Failure Assessment (SOFA) score is commonly used in adults, it cannot be directly applied to pediatric patients due to differences in values such as creatinine and blood pressure. The development of the pediatric SOFA (pSOFA) score, which combines age-specific indicators with PELOD-2 and SOFA, aims to address this gap9. A prospective observational study reported that the pSOFA and PELOD-2 showed better discrimination power (area under the curve (AUC): 0.77 and 0.74, respectively)10. Unfortunately, calculation of the PELOD-2 score is cumbersome. Lalitha, A V et al.11 reported that among children admitted to the PICU with septic shock, pSOFA scores on both days 1 and 3, have a greater discriminative power for predicting in-hospital mortality than either PRISM III score (within 24 h of admission) or PELOD-2 score (days 1 and 3). Within a comprehensive retrospective cohort analysis encompassing 3,999,528 cases, the findings demonstrated that patients meeting the pSOFA criteria for septic shock exhibited significantly elevated mortality rates compared to other diagnostic groups12. A recent study also found that the pSOFA scores improved the accuracy of mortality prediction in PICU patients13.However, there is a limited amount of research on pSOFA worldwide, including in China, highlighting the need for further pediatric clinical studies to validate its effectiveness. Therefore, The purpose of this study is the suitability of the pSOFA score for monitoring the quality of intensive care in our unit was validated.
Materials and methods
Study design and patients
This was a retrospective observational study performed in the PICUs of two tertiary hospitals between Dec 1, 2014, and Dec 1, 2019. This study was conducted in accordance with the STROBE (Strengthening the Reporting of Observational Studies in Epidemiology) guidelines. A total of 594 patients presented with sepsis and were screened during the study period of which 456 subjects met the inclusion criteria. Inclusion criteria included: (1) all children with sepsis between the ages of 1 month to 14 years; (2) patients staying in the ICU for ≥ 24 h; (3) patients with complete information for the variables used to estimate the PRISM III, P-MODS, and PELOD-2 scores. Exclusion criteria included: (1) patients staying in the ICU for < 24 h; (2) withdrawing treatment; (3) Lack of clinical data. Patients in whom treatment was withdrawn against medical advice were also excluded because the end date was unknown. Readmission to the PICU during the same hospitalization was recorded as two admissions. No interventions or procedures beyond routine clinical practice were implemented. Parental consent for enrollment in the study was obtained for all children. The Institutional Review Board approved the study.
Data collection
Definition of Sepsis7: systemic inflammatory response syndrome (SIRS) in the presence of or as a result of suspected or proven infection.
A unified form was developed for clinical data collection, including data on sex, age, admission diagnosis, discharge diagnosis, whether mechanical ventilation was used, length and cost of PICU stay, clinical outcome (survival or death), and physiological parameters involved in pSOFA, PRISMIII, PELOD-2 and P-MODS scoring (If a variable is measured multiple times on the same day, we select the worst value for all scoring systems), admission sources (Emergency Department, general wards, outpatient service, operating rooms, transferred from other hospitals), status entering the PICU (invasive or noninvasive ventilator support, vasopressor support, cardiopulmonary resuscitation performed 24 h before PICU admission, etc.), length of PICU stay, and PICU cost.
For the pSOFA score, 11 indicators, including PaO2/FiO2 or SpO2:FiO2, platelet count, bilirubin, creatinine, mean arterial pressure, dopamine dose, epinephrine dose, norepinephrine dose, dobutamine dose, GCS score and 24-hour urine volume were used.
For the PRISMIII score, sixteen variables, including temperature, systolic blood pressure, heart rate, partial pressure of arterial oxygen/fraction of inspired oxygen ratio (PaO2), partial pressure of arterial carbon dioxide (PaCO2), Glasgow Coma Scale (GCS), pupillary reaction, prothrombin time (PT) or activated partial thromboplastin time (APTT), serum creatinine, serum urea nitrogen, serum potassium, blood glucose, serum bicarbonate, white blood cells and platelets, were collected at 24 h after PICU admission. The higher the score was, the greater the risk of death was.
P-MODS can be used to evaluate five organ systems: the circulation, breathing, liver function, blood coagulation and kidney function. Because P-MODS does not utilize the nervous system as a parameter, prognostic assessment of children with nervous system diseases may be affected.
The PELOD-2 score was employed to evaluate five organ systems (neurologic, cardiovascular, respiratory, renal, and hematologic). Ten variables (namely, GCS, pupillary reaction, lactatemia, mean arterial blood pressure, PaO2/FiO2 ratio, PaCO2, invasive ventilation, creatinine, white blood cell count, and platelets) were recorded at 24 h after PICU admission.
It should be noted that if a variable was measured more than once in 24 h, the worst value was selected when calculating the above three scores.
Outcomes
The primary result of this study was in-hospital mortality, which was defined as all-cause death within 3 months after admission. Patients who survived or were transferred to the general ward were defined as surviving (coded as 0); patients who died were defined as nonsurviving (coded as 1). Patients were routinely transferred to the general ward when the following criteria were met: stable life signs, no mechanical ventilation, no blood purification, and removal of vasoactive drugs for more than 48 h.
To ensure data quality, a contact in charge of data recording and another specified person responsible for supervision were designated in the participating PICUs. To standardize pSOFA, PRISMIII, PELOD-2 and P-MODS calculation, an operating procedure manual was created and applied in the participating PICUs. The person in charge was asked to demonstrate the accurate calculation process to the registrar and a senior experienced person. The data were first registered by the registrar and then checked by the senior experienced person. The results were sent to the person responsible for supervision by e-mail. The superintendent collated the data and identified problems in it. The identified problems were discussed and resolved promptly.
Statistical analysis
All statistical analyses were performed using Statistical Program for Social Science version 24.0. Continuous discrete variables are expressed as medians and ranges and categorical variables as frequencies and percentages. First, the data in the study were tested for normality. Normally distributed data are expressed as the mean ± standard deviation (x ± s). The t test was applied for comparisons between groups. Nonnormally distributed data are expressed as the median (quartile) [M (QL, QU)]. A nonparametric rank sum test was used for comparisons between groups. Counting data were compared by the χ2 test. To evaluate the discrimination or ability of the model to differentiate between survivors and nonsurvivors, the area under the receiver operating characteristic curve (AUC-ROC) and its 95% CI were calculated. The best truncation value, sensitivity and specificity were also calculated. Acceptable discrimination is represented by an area under the curve of 0.70–0.79, good discrimination by an area ≥ 0.80, and excellent discrimination by an area ≥ 0.90. Statistical comparisons between the ROC curves were performed using DeLong’s test for paired ROC curve analysis, which provides a nonparametric approach to evaluate the statistical significance of differences in AUC values. Furthermore, the Hosmer‒Lemeshow goodness-of-fit test was employed to evaluate the calibration or degree of agreement between the predicted and observed mortality through the PRISM III, P-MODS and PELOD-2 scoring systems, and the sample data were divided into 10 groups according to the prediction probability. The P value was calculated according to the chi-square distribution of degrees of freedom, and the logistic model was validated. If P > 0.05, the predicted value of the model was basically consistent with the observed value, indicating that the predicted model had good calibration; if P < 0.05, the predicted value of the model was significantly different from the observed value, suggesting that the prognostic model was not effective and had no justification to be applied for that population.
Ethical approval
The ethical and scientific aspects of the research were evaluated and approved by the Research Ethics Committees of the participating PICUs (KY-2021-069-02). In all cases, informed consent for participation was waived because the data recorded were deemed to be regular at each participating PICU. The data used in the study were protected due to patient privacy protection requirements.
Results
A total of 594 patients with sepsis admitted to the PICUs of the First Affiliated Hospital, Sun Yat-Sen University (n = 335) and Shen-Zhen Children’s Hospital (n = 259) were initially enrolled. Next, 138 patients were excluded due to the above-described exclusion criteria, including 38 patients with missing data, 35 patients with an age of less than 28 days, 43 who were hospitalized for less than 24 h, and 22 who died within 8 h after admission. Thus, a total of 456 patients were included in this study (Fig. 1). Among them, 256 (58.6%) were male and 189 (41.4%) female; the median age was 21 months. Disease categories included bloodborne infection (61 cases, 17.6%), respiratory infection (148 cases, 42.8%), digestive system infection (53 cases, 15.4%), urinary tract infection (34 cases, 9.8%), nervous system infection (28 cases, 8.1%), skin and soft tissue infection (14 cases, 4.3%) and other site infection (7 cases, 2.0%). The survival group included 346 patients (75.9%); the nonsurvival group included 110 patients (24.1%). There were no significant differences in sex, age, underlying diseases or length of hospital stay in the PICU between the two groups (P > 0.05). (Table 1).
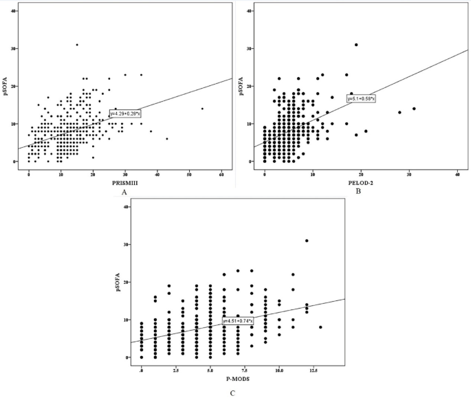
Correlation between pSOFA and PRISM III, PELOD-2 and P-MODS. Correlation between pSOFA and PRISM III scores. B. Correlation between pSOFA and PELOD-2 scores. C. Correlation between pSOFA and P-MODS scores.
Among pSOFA, PRISM III, PELOD-2 and P-MODS, pSOFA had the best correlation with PELOD-2 (R = 0.554, P < 0.001), followed by PRISM III (R = 0.474, P < 0.001) and P-MODS (R = 0.466, P < 0.001) (Fig. 2).
ROC curves for scores based on pSOFA, PRISM III, PELOD-2, and P-MODS.
Scores using pSOFA, PRISM III, PELOD-2 and P-MODS were significantly higher in the nonsurvival group than in the survival group (P < 0.01) (Table 2).
Each scoring system was used to predict death in the critically ill children (Fig. 2). In Table 3, The performance of pSOFA score for predicting in-hospital mortality (AUC, 0.85; 95% CI: 0.81–0.88, P < 0.001) was better than the performance of PRISM III (AUC, 0.80; 95% CI: 0.76–0.84, P < 0.001), PELOD-2 (AUC, 0.78; 95% CI: 0.74–0.82, P < 0.001) and P-MODS PELOD-2 (AUC, 0.72; 95% CI: 0.67–0.76, P < 0.001). Moreover, the discriminatory performance of ROC curves was statistically compared using the DeLong method, which demonstrated significant differences in AUC values across the four scoring systems—pSOFA, PRISM III, PELOD-2, and P-MODS (all pairwise comparisons, p < 0.05) (Table 3). Therefore, the results showed that pSOFA, PRISM III, PELOD-2, and pSOFA had the highest predictive value, followed by RISM III, PELOD-2 and P-MODS. In addition, the cutoff value of pSOFA, PRISM III, PELOD-2, and P-MOD scores were respectively 7, 12, 5 and 3 score (Table 4).
Based on the Hosmer‒Lemeshow goodness of fit test (Table 5), pSOFA, PRISMIII and PELOD-2 scores predicted the mortality of children with sepsis, with a good matching effect with the actual mortality (pSOFA: χ2 = 6.853, P = 0.366; PRISM III: χ2 = 10132, P = 0.189; PELOD-2: χ2 = 12.536, P = 0.121). Conversely, the case fatality rate predicted by P-MODS had a poor fitting effect with the actual case fatality rate (P-MODS: χ2 = 38.637, P < 0.001).
Discussion
Sepsis is a serious condition endangering human life. Therefore, 2018 Surviving Sepsis Campaign (SSC) was launched internationally. The guidelines clearly emphasize “one-hour cluster treatment”. Sepsis is regarded as an emergency medical event rather than a single disease, and early recognition and timely intervention are particularly critical. An evaluation tool for early identification of critically ill children with sepsis is a top priority. The results of adult sepsis studies have confirmed that the sensitivity and specificity of SIRS scores are insufficient for discrimination and risk stratification of adult patients with sepsis14. SOFA is better than other scores in predicting infection and hospital mortality in adult patients15. Therefore, Sepsis-3 uses SOFA as a quantitative evaluation method to assess organ function in sepsis. However, this international consensus is based only on research involving adults16. As the normal value of organ function varies between children of different ages17,18, the SOFA score cannot be directly applied for children with sepsis. In addition, there are very few studies in China that use pSOFA, PCIS and PRISM III scores to assess the prognosis of severe sepsis in children, and there is no mature model to accurately predict sepsis in children. The predictive ability of a model is of great significance for distinguishing death and survival. At the same time, it is necessary to compare differences between the expected number and the actual number of deaths at different severity levels, and the fit of any given model is particularly critical. Overall, the results of this study showed a mortality rate of 24.1%, which is consistent with mortality rate (of over 20%) reported from other studies of the developing countries throughout the world4,5. As a result, This observational study evaluated pSOFA for predicting in-hospital mortality, including comparisons to other validated pediatric severity of illness commonly used in pediatric patients admitted with a diagnosis of sepsis.
There are currently 3 versions of pSOFA, including the Matics version of pSOFA, Schlapbach version of pSOFA3 and Shime version of pSOFA2, but there is no unified pSOFA standard. Studies in 2015 showed that the Pediatric Organ Dysfunction Score (PELOD) and PELOD-2 can well assess the organ function and hospital mortality of children with infection2,19,20,21. In 2017, Matics et al.9 applied the age stratification method of cardiovascular system and renal function indicators for the PELOD-2 score, combined with the age stratification index of SpO2/FiO2 in children for assessing lung injury proposed by Khemani et al.21,22, and SOFA for adults. The scoring was partially modified to propose the pSOFA score. In that study, the effectiveness of pSOFA, PELOD and PELOD-2 in predicting the prognosis of children with sepsis was compared. A total of 6,303 children with sepsis were included, and the AUC of pSOFA on the day of admittance to the PICU for predicting risk of death during hospitalization was 0.95, which was better than that of both PELOD (P = 0.001) and PELOD-2 (P = 0.02). There are also studies23,24 showing that the pSOFA (Matics version) score has unique advantages in predicting death in children with sepsis during hospitalization. Therefore, this study was conducted according to the pSOFA standard of the Matics version.
In this study, the results showed that for the definition and diagnosis of sepsis in children, pSOFA has the best correlation with PELOD-2, followed by PRISM III and P-MODS. Based on AUC-ROC analysis, pSOFA, PRISM III, PELOD-2 and P-MODS are at in identifying survival or death in children with sepsis, which is consistent with reports in the literature4,9,24. These findings indicate that in clinical settings, the pSOFA and PELOD-2 scoring systems can be employed synergistically to leverage their respective advantages. Specifically, pSOFA demonstrates utility for initial patient screening and rapid risk stratification, whereas PELOD-2 provides more comprehensive evaluation of ongoing organ dysfunction. The complementary application of these two assessment tools enables clinicians to simultaneously address two critical diagnostic questions at the bedside: the likelihood of sepsis and the severity of organ impairment. This dual approach may enhance diagnostic accuracy while minimizing both underdiagnosis and overtreatment.
Furthermore, pSOFA had the best efficacy at identifying survival or death in children with sepsis, followed by PRISM III, PELOD-2 and P-MODS, consistent with previous reports9,20. The Hosmer‒Lemeshow goodness-of-fit test results demonstrated that pSOFA can predict the fatality rate, with the best consistency with the actual fatality rate. pSOFA, as an effective index for evaluating organ function in children with sepsis, can effectively predict the prognosis of children with sepsis during hospitalization. These findings further indicate that the SOFA score can serve multiple critical functions in clinical and research settings: (1) pSOFA score serves as an effective prognostic tool, enabling rapid and accurate prediction of disease severity and mortality risk in pediatric sepsis patients. Its clinical application facilitates early risk stratification and timely intervention, thereby contributing to reduced mortality rates in this vulnerable population; (2) as an objective risk reassessment measure during daily ICU shift transitions to monitor clinical progression; and (3) as a standardized inclusion criterion for multicenter clinical trials and quality improvement initiatives, ensuring methodological consistency across study populations.
Matics et al.9reported that pSOFA has the best cutoff value for predicting death during hospitalization in children with sepsis, at > 8 points. Zhong et al.23 found that pSOFA has the best predictive value for death during hospitalization of children with sepsis, at ≥ 5 points. In this study, the best value for pSOFA predicting death during hospitalization in children with sepsis was > 7 points, which was slightly different from the best predictive value reported by Matics et al. The reason for the difference in the best predictive value of pSOFA for death from sepsis in children may be due to the heterogeneity of each study, different sample sizes, and differences in the underlying diseases of the included subjects. Therefore, the value of pSOFA for predicting risk of death from sepsis needs further research. The pSOFA score demonstrated optimal discriminative capacity for mortality prediction in pediatric sepsis, as reflected by its superior AUC-ROC performance compared to alternative scoring systems. Our analysis revealed a significant dose-response relationship between pSOFA scores and mortality risk, with each incremental 1-point increase associated with a progressively elevated odds ratio for fatal outcomes. The pSOFA score ≥ 7 points correlating with markedly elevated mortality risk. This threshold serves as a critical clinical indicator, necessitating intensified monitoring and prompt escalation to advanced life support interventions in this high-risk pediatric cohort. This evidence-based stratification framework facilitates rapid clinical decision-making and ensures appropriate resource allocation based on illness severity, while maintaining the crucial balance between timely intervention and avoidance of over treatment.
Overall, this study establishes that a pSOFA score ≥ 7 points (sensitivity 0.88, specificity 0.65) represents the optimal prognostic threshold for mortality prediction in Chinese tertiary pediatric intensive care settings. These findings provide an evidence-based, population-specific cutoff value for clinical practice in South region of China, addressing the critical need for regionally validated scoring parameters rather than direct extrapolation of Western-derived criteria. the severity of diseases differs, even the same disease in different individuals, and there are also great differences in the condition of the same disease. In addition, underlying disease and therapeutic intervention have an impact on prognosis. Therefore, it is complicated to assess the severity of a disease and predict risk of death. This study found that the pSOFA, PRISM III, PELOD-2 and P-MODS scoring systems can well distinguish survival or death in children with sepsis. Among them, pSOFA was the most effective at identifying survival or death in children with sepsis, followed by PRISM III, PELOD-2 and P-MODS, and Hosmer‒Lemeshow goodness-of-fit test results show that pSOFA predicts the fatality rate and actual fatality rate the best. pSOFA, as an effective index for evaluating the organ function of children with sepsis, can effectively predict the prognosis of children with sepsis during hospitalization, which provides a powerful tool for clinicians to quickly, accurately and effectively assess the death risk of children with sepsis.
This study has the following limitations: (1) it was a retrospective study including only two centers, and the sample had limitations; (2) Significant disparities exist in disease etiology, clinical profiles, and severity stratification between China’s more developed and less developed regions. The current study cohort was exclusively recruited from two tertiary care centers in economically advanced regions, which may limit the generalizability of our findings. While the results demonstrate strong applicability to tertiary hospitals in southern China, extrapolation to nationwide populations requires cautious interpretation due to potential regional heterogeneity in healthcare resources and disease patterns; and (3) there is a lack of continuous and dynamic pSOFA scores to analyze sepsis severity and prognosis. Our next step is to conduct a prospective cohort study on the dynamic monitoring of pSOFA at different time points. In addition, it should be emphasized that pSOFA cannot completely replace PRISM III in predicting the severity of disease in all children in the PICU. Therefore, for critically ill children, such as those with sepsis, no scoring method can replace continuous and close disease monitoring and careful physical examination. Regardless of the scoring method adopted, dynamic and repeated assessments are required for a more comprehensive and accurate assessment of critical illness.
Conclusions
In conclusion, The disease status of children requires not only the pSOFA score but also multiple scores, such as PRISM III, PELOD-2 and P-MODS, for effective evaluation.
Data availability
All data generated or analyzed during this study are included in this published article.
Abbreviations
- APTT:
-
Activated partial thromboplastin time
- AUC:
-
Area under the receiver operating characteristic curve
- GCS:
-
Glasgow coma scale
- PaCO2:
-
Partial pressure of arterial carbon dioxide
- PaO2:
-
Partial pressure of arterial oxygen/fraction of inspired oxygen ratio
- PELOD-2:
-
Pediatric logistic organ dysfunction-2
- PICU:
-
Pediatric intensive care unit
- P-MODS:
-
Pediatric multiple organ dysfunction score
- PRISM III:
-
Pediatric risk of mortality III
- pSOFA:
-
Pediatric sequential organ failure assessment
- PT:
-
Prothrombin time
- ROC:
-
Receiver operating characteristic
References
Wolfler, A. et al. The importance of mortality risk assessment: validation of the pediatric index of mortality 3 score. Pediatr. Crit. Care Med. 17 (3), 251–256 (2016).
Goncalves, J. P. et al. Performance of PRISM III and PELOD-2 scores in a pediatric intensive care unit. Eur. J. Pediatr. 174 (10), 1305–1310 (2015).
Leteurtre, S. et al. Daily Estimation of the severity of organ dysfunctions in critically ill children by using the PELOD-2 score. Crit. Care. 19, 324 (2015).
Rudd, K. E. et al. Global, regional, and National sepsis incidence and mortality, 1990–2017: analysis for the global burden of disease study. Lancet 395 (10219), 200–211 (2020).
Kissoon, N. & Uyeki, T. M. Sepsis and the global burden of disease in children. JAMA Pediatr. 170 (2), 107–108 (2016).
Carcillo, J. A. & Fields, A. I. Clinical practice parameters for hemodynamic support of pediatric and neonatal patients in septic shock. Crit. Care Med. 30 (6), 1365–1378 (2002).
Goldstein, B., Giroir, B. & Randolph, A. International pediatric sepsis consensus conference: definitions for sepsis and organ dysfunction in pediatrics. Pediatr. Crit. Care Med., 6(1): pp. 2–8. (2005).
Singer, M. et al. The third international consensus definitions for sepsis and septic shock (Sepsis-3). JAMA 315 (8), 801–810 (2016).
Matics, T. J. & Sanchez-Pinto, L. N. Adaptation and validation of a pediatric sequential organ failure assessment score and evaluation of the Sepsis-3 definitions in critically ill children. JAMA Pediatr. 171 (10), e172352 (2017).
Jyotsna, Kumar, R., Sharan, S., Kishore, S. & Prakash, J. The various scoring systems in pediatric intensive care units: A prospective observational study. Cureus 15 (5), e39679 (2023).
Lalitha, A. V. et al. Sequential organ failure assessment score as a predictor of outcome in sepsis in pediatric intensive care unit. J. Pediatr. Intensive Care. 10 (2), 110–117 (2021).
Kaukonen, K. M. et al. Systemic inflammatory response syndrome criteria in defining severe sepsis. N Engl. J. Med. 372 (17), 1629–1638 (2015).
Raith, E. P. et al. Prognostic accuracy of the SOFA score, SIRS criteria, and qSOFA score for In-Hospital mortality among adults with suspected infection admitted to the intensive care unit. JAMA 317 (3), 290–300 (2017).
Hassinger, A. B. et al. The current state of the diagnosis and management of acute kidney injury by pediatric critical care physicians. Pediatr. Crit. Care Med. 17 (8), e362–e370 (2016).
周利兵等 中国当代儿科杂志, 21(09): –898. (2019).
张春侠等 临床急诊杂志, 21(12): –991. (2020).
Schlapbach, L. J. et al. Prognostic accuracy of age-adapted SOFA, SIRS, PELOD-2, and qSOFA for in-hospital mortality among children with suspected infection admitted to the intensive care unit. Intensive Care Med. 44 (2), 179–188 (2018).
Shime, N., Kawasaki, T. & Nakagawa, S. Proposal of a new pediatric sequential organ failure assessment score for possible validation. Pediatr. Crit. Care Med. 18 (1), 98–99 (2017).
El-Nawawy, A. et al. Performance of the pediatric logistic organ dysfunction (PELOD) and (PELOD-2) scores in a pediatric intensive care unit of a developing country. Eur. J. Pediatr. 176 (7), 849–855 (2017).
Khemani, R. G. et al. Comparison of SpO2 to PaO2 based markers of lung disease severity for children with acute lung injury. Crit. Care Med. 40 (4), 1309–1316 (2012).
Kawasaki, T. et al. Paediatric sequential organ failure assessment score (pSOFA): a plea for the world-wide collaboration for consensus. Intensive Care Med. 44 (6), 995–997 (2018).
Sanchez-Pinto, L. N. et al. Derivation and validation of novel phenotypes of multiple organ dysfunction syndrome in critically ill children. JAMA Netw. Open. 3 (8), e209271 (2020).
Zhong, M. et al. Day-1 PELOD-2 and day-1 quick PELOD-2 scores in children with sepsis in the PICU. J. Pediatr. (Rio J). 96 (5), 660–665 (2020).
Carbayo, T. et al. [Multiple organ failure after spontaneous return of circulation in cardiac arrest in children]. Pediatr. (Barc). 87 (1), 34–41 (2017).
Funding
Shenzhen Science and Technology Program (No.JCYJ20220530145001002), Sanming Project of Medicine in Shenzhen (No.SZSM202211034), Guangdong High-level Hospital Construction Fund, the"415 Project” of the Institute of Emergency and Resuscitation, the Seventh Affiliated Hospital of Sun Yat-sen University (ZSQY2024411503) and the Clinical Research Fund of the Seventh Affiliated Hospital of Sun Yat-sen University (ZSQYLCKYJJ202318) was supported for this study.
Author information
Authors and Affiliations
Contributions
Wen Tang, Yu xiong Guo and Yu cai Cheng conceptualized and designed the study and reviewed and revised the manuscript. Therefore, the corresponding author of this article is Yu cai Cheng, and the joint corresponding authors are Yu xiong Guo and Wen Tang. Lidan Zhang, Li Wang, Yuhui Wu and Hongxin Lin coordinated and supervised data collection, drafted the initial manuscript, and reviewed and revised the manuscript. Therefore, the co-first authors of this article are Lidan Zhang, Li Wang, Yuhui Wu and Hongxin Lin. Xing Nie and Yeqin Xu contributed to data collection and reviewed and revised the manuscript. All authors contributed to manuscript revision and read and approved the submitted version.
Corresponding authors
Ethics declarations
Competing interests
The authors declare no competing interests.
Ethics approval and consent to participate
In accordance with the Declaration of Helsinki, The procedures involving human participants were reviewed and approved by Institutional Review Board of the First Affiliated Hospital and the Seventh Affiliated Hospital, Sun Yat Sen University, and Shen-Zhen Children’s Hospital. Written informed consent to participate in this study was provided by the participants’ legal guardian/next of kin.
Consent to participate
Data were collected after obtaining parental consent.
Consent to publish
The authors afrm that the parents of the patients provided informed consent for publication of their clinical details.
Additional information
Publisher’s note
Springer Nature remains neutral with regard to jurisdictional claims in published maps and institutional affiliations.
Rights and permissions
Open Access This article is licensed under a Creative Commons Attribution-NonCommercial-NoDerivatives 4.0 International License, which permits any non-commercial use, sharing, distribution and reproduction in any medium or format, as long as you give appropriate credit to the original author(s) and the source, provide a link to the Creative Commons licence, and indicate if you modified the licensed material. You do not have permission under this licence to share adapted material derived from this article or parts of it. The images or other third party material in this article are included in the article’s Creative Commons licence, unless indicated otherwise in a credit line to the material. If material is not included in the article’s Creative Commons licence and your intended use is not permitted by statutory regulation or exceeds the permitted use, you will need to obtain permission directly from the copyright holder. To view a copy of this licence, visit http://creativecommons.org/licenses/by-nc-nd/4.0/.
About this article
Cite this article
Zhang, Ld., Wang, L., Wu, Yh. et al. pSOFA score serves as predicting the severity and outcome of sepsis in critically ill children. Sci Rep 15, 43595 (2025). https://doi.org/10.1038/s41598-025-19287-x
Received:
Accepted:
Published:
Version of record:
DOI: https://doi.org/10.1038/s41598-025-19287-x

