Fig. 3
From: Rising snowline altitudes across Southern Hemisphere glaciers from 2000 to 2023

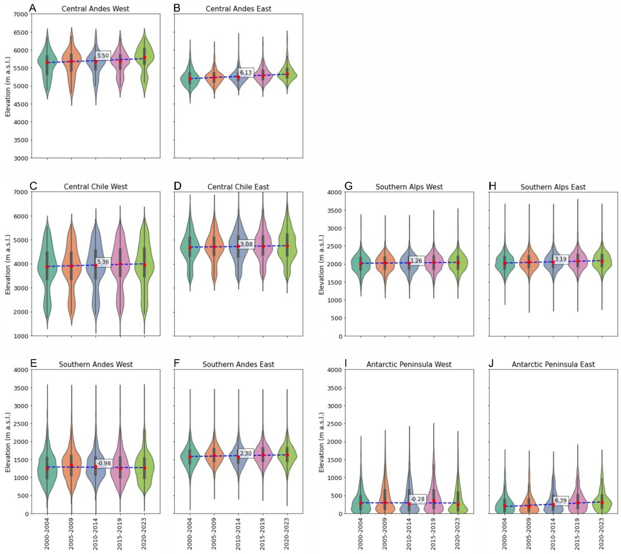
Temporal distribution of our SLAEOS within 5-year bins by sub-region, with median and interquartile range represented by the horizontal bar and box, respectively, a linear trend through the medians indicated by the dashed line and the gradient of that annotated (m yr−1).