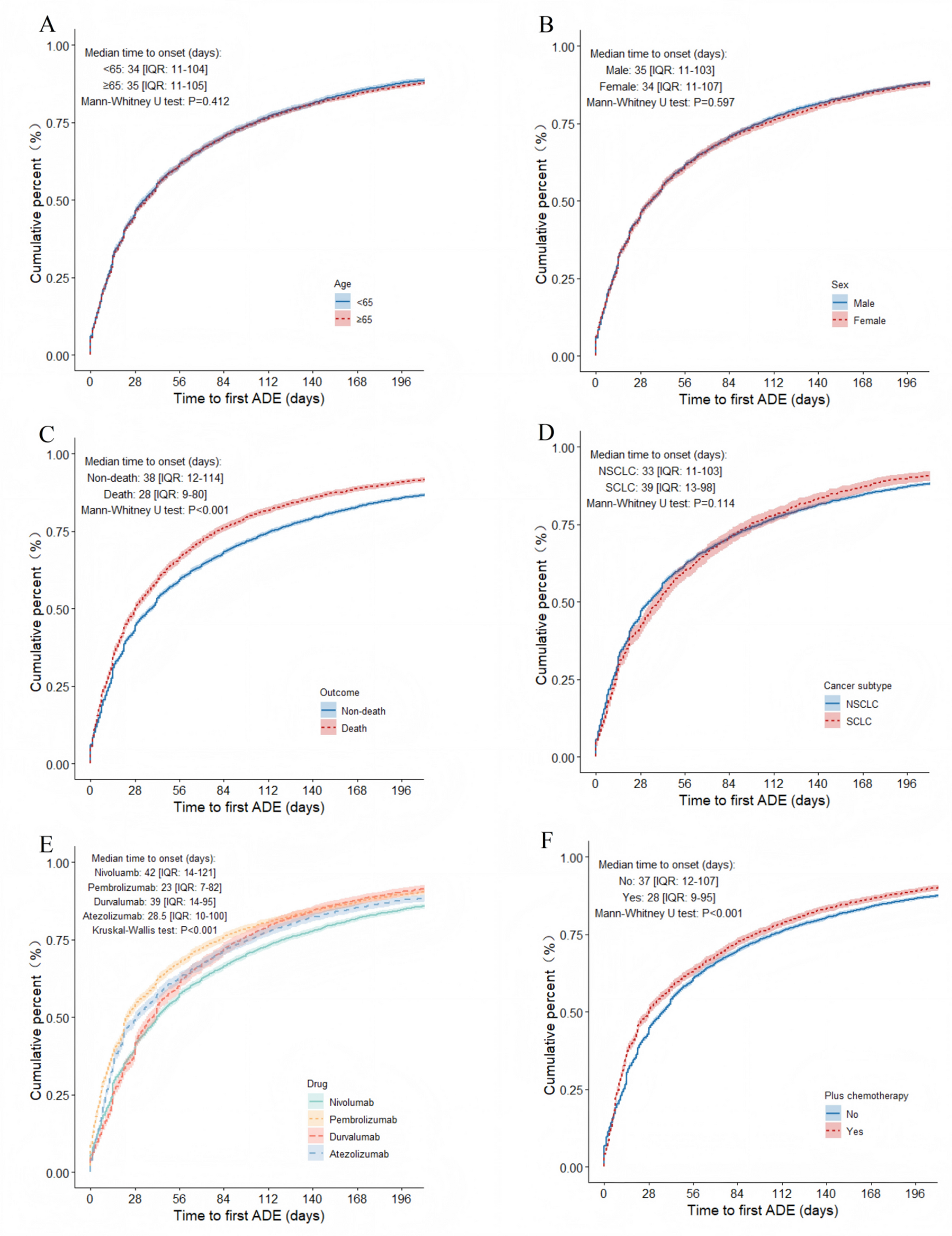
Fig. 5

Analysis of factors associated with the onset of the first ADE (A) Time of the first ADE in different age groups. (B) Time of the first ADE in different gender. (C) Time of the first ADE in those who died or not. (D) Time of the first ADE in cancer subtype groups. (E) Time of the first ADE after treatment with different ICIs. (F) Time of the first ADE with or without combination chemotherapy