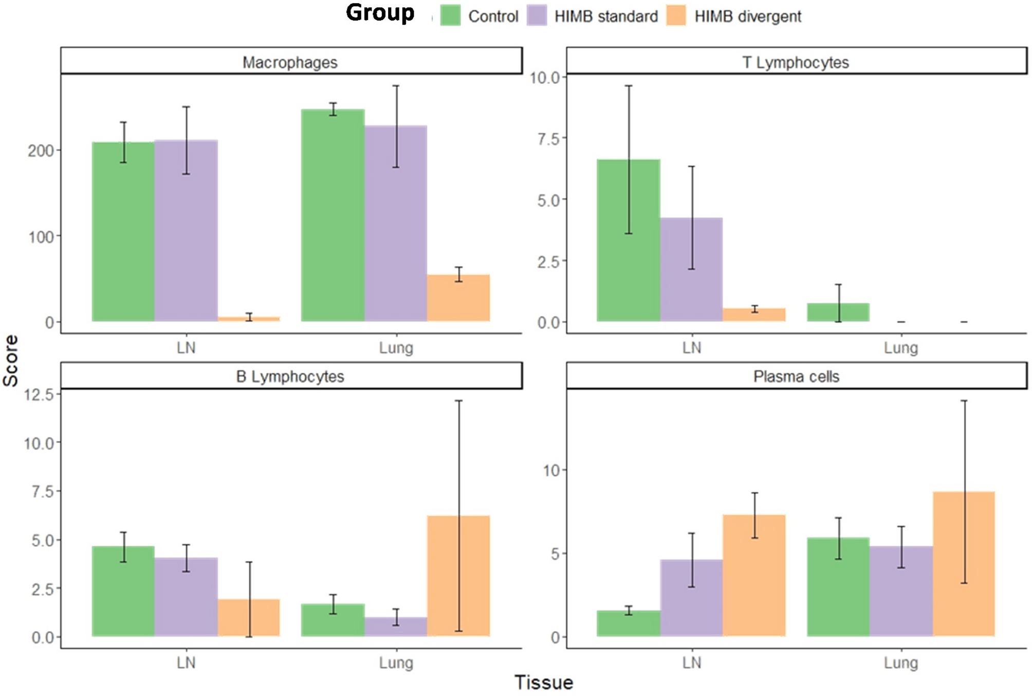
Fig. 1

Average cell scores detected in tuberculous granulomas from badgers. Scores were obtained from the right bronchial lymph node (LN) and right middle lung lobe (Lung) of 15 badgers according to the group (control, standard HIMB and divergent HIMB). Error bars represent the standard error of the mean. HIMB: heat-inactivated Mycobacterium bovis vaccine.