Abstract
Cattle farming plays a vital role in the livelihoods of smallholder farmers in South Kivu, DR Congo, serving as one of the few key sources of income. Despite its importance, ticks and tick-borne diseases pose significant challenges to cattle health and productivity. However, there is a notable lack of research on farmers’ knowledge and management practices related to ticks in the context of climate change in this region. This gap in understanding hinders the development of effective strategies for managing tick infestations and mitigating their impact on livestock. This study was aimed at assessing the knowledge, attitudes, and practices of livestock farmers in South Kivu concerning tick infestations and their management, as well as evaluating the impact of climate change on the distribution, abundance, and severity of tick-borne diseases. The study was conducted in Kabare, Kalehe, Uvira, and Walungu territories of the South Kivu province. A cross-sectional survey, considering farmers density, was performed with 699 livestock farmers (102 from Uvira, 122 from Walungu, 140 from Kalehe and 335 from Kabare) using semi-structured interviews to collect data on herd management, tick control methods, and farmers’ perceptions of climate change. Caretakerage was the dominant farming system (72.4%), with community pastures (67.1%) being the primary grazing area. Mortality rates were significant, with high neonatal losses and disease-related deaths. Tick infestations were highly recurrent at farm level (57.7%), with the most reported effects being blood spoliation (96.1%) and disease transmission (59.8%). Annual tick abundance peaked in July–August (> 90%), while forests, bushlands, and community pastures were identified as hotspots for tick proliferation (75.2% in Uvira). Although 77.2% of farmers conducted tick inspections, only 23.6% received formal tick management training. Spray races was commonly practiced (84.5%), but knowledge of ticks and tick borne diseases was limited (50.4%). Acaricide application was the most commonly used (99.8%), yet as a control approach, it was moderately rated as effective (47.6%). Adoption of zoosanitary products was influenced by gender, age, financial resources, and extension service access (p < 0.001). Climate change perceptions varied, with 20.6% of farmers reporting increased tick abundance and 16.9% noting rising disease incidence. This study exhibits the problems related to ticks management in cattle of the South Kivu province, especially in the context of climate change. Strengthening farmer education, access to affordable veterinary services, and integrated tick management are essential for sustainable livestock health and productivity.
Introduction
Animal protein, due to its improved amino acid balance, is essential to the body’s defense mechanisms1,2. In Africa, cattle are one of the primary source of protein, contributing significantly to the nutritional health of the population, while also playing a crucial role in the financial well-being of their owners3. In addition, cattle are mostly raised in many African nations for their meat and milk, but they also provide jobs, a substantial source of income, energy, and byproducts including skin, hair, hides, and manure4,5.
In the Democratic Republic of Congo (DRC), cattle are the most widely raised and consumed livestock, contributing to over 50 of the total meat intakes3. Despite this, the national cattle herd, estimated at 40 million head, represents only 2.3% of the country’s potential6. As demand for animal-based foods increases, along with efforts to reduce poverty and mitigate the environmental impact of livestock farming, tropical livestock systems must enhance their productivity3. However, research shows that cattle herd sizes in the DRC remain insufficient due to resource constraints, high population density, and poverty7.
This is far below the estimated pastoral potential of 30 to 40 million head, underscoring the challenge of ensuring adequate protein availability. The low productivity of cattle in the DRC, as in other African nations, is hindered by factors such as inadequate nutrition, poor feed quality, high costs of commercial feed, insecurity in rural areas, poor management practices, low genetic potential of local livestock, insufficient biosecurity measures, lack of comprehensive national policies, and the prevalence of endemic diseases with limited veterinary care3,8,9,10,11,12.
Diseases and parasites are among the most severe factors that impact livestock production and productivity. Animal diseases have great impact on food supplies, trade and commerce, and human health globally10,11. Livestock diseases can cause direct losses (deaths, stunting, reduced fertility, and changes in herd structure) and indirect losses (additional costs for drugs and vaccines, added labor costs and profit losses due to denied access to better markets and use of suboptimal production technology) in revenue13. However, in resource-poor farming systems which are predominantly communal areas, cattle diseases and parasites negatively impact cattle production14.
A wide range of parasites often infect cattle, which can have a substantial influence on their health, productivity, and overall well-being. These parasites can be divided into internal parasites and external parasites15. Ticks are among the most serious ectoparasites responsible for substantial economic losses to farmers in livestock production in tropical regions of the world16. Their infestations causes serious effects including wounds and inflammations due to tick bites and blood loss, reduced growth, milk and meat production, as well as transmission of various tick-borne pathogens17. This situation predisposes animals to secondary attacks from other infections such as streptothricosis18.
Ticks and tick-borne diseases affect around 80% of cattle worldwide, in both tropical and sub-tropical areas19. Over 60% of cattle raised in communal areas have been reported to be lost due to tick-borne diseases20, resulting in global economic losses of approximately US$18.7 billion annually21.
Despite the availability of alternative methods such as biological control, manual tick removal, grazing management, selection of tick-resistant cattle breeds, immunological control through vaccinations, and the use of ethno-veterinary practices (herbal extracts)15,22, the use of chemical acaricides remains the primary technique for tick control in cattle. However, the reliance on acaricides presents several challenges, particularly in the context of climate change23. In fact, there is a global concern about the tick resistance to acaricide, environmental contamination and the potential presence of acaricide residues in dairy and meat products and the change in tick populations and distribution24,25.
In the South Kivu province, eastern DR Congo, the impact of climate change on smallholder farmers’ vulnerability and coping strategies have demonstrated not only that it impacts farmers’ socio-economic conditions as well as cattle production and productivity but also that farmers have limited resources to address this situation26. Climate change has a major influence on the abundance and regularity of ticks, altering their habitat (increase in tick distribution range), life cycle (extended activity season) and interaction with hosts23.
These issues generate the need to improve the methods and create opportunities for alternative methods of controlling tick infestations. Integrated tick management, which uses a variety of tools and strategies to control tick infestations while preserving sufficient levels of animal production27,28, is dependent on individual actions, particularly the acceptance and implementation of technician recommendations, as well as government policies that implement extension programs in the livestock industry, which are currently scarce or nonexistent for small farmers29. The process of applying new control methods involves a number of essential aspects, including farmer characteristics (knowledge, motives, economics), local support organizations (resources, priorities), and the treatments used (training, leadership)30,31.
In DRC particularly in South Kivu province, cattle are kept in free ranging system on poor quality pastures3 where they are exposed to a wide range of vectors including ticks. Developing effective control measures requires an understanding of how farmers view tick-related difficulties and modify their management practices in the context of climate change. Thus far, there is no much literature on the farmers’ knowledge, attitudes and practices on tick’s management and farmer’s knowledge with regard to climate change, particularly in the South Kivu province, in the Eastern part of DR Congo. The purpose of this study is to evaluate South Kivu livestock farmers’ knowledge, attitudes, and practices on tick infestations and management techniques. It also investigates at how much climate change affects these behaviors and the need for long-term fixes to lessen its effects on the livestock health and productivity. This knowledge will help to better raise cattle species by minimizing effects of ticks and tick-borne disease on their health and productivity.
Material and methods
Study area
This study was conducted in four out the eight territories of South Kivu province, Eastern DR Congo (Fig. 1) relating to the low altitude (Uvira territory), medium altitude (Kabare territory) and high altitude (Walungu and Kalehe territories). The South Kivu province is located between 1° 36′ and 5° south latitude and between 26° 47′ and 29°20′ east longitude. It covers an area of 69,130 km2 and has an average annual temperature of 19 °C, with an altitude ranging from 773 to 3000 m a.s.l. The selected territories are characterized by grassy savannah with a large number of streams and a mountainous tropical climate; a bimodal rainfall regime (1300–1800 mm); a depleted and eroded clay soil32. Kabare and Kalehe territories are bordered by Lake Kivu while Uvira is bordered by Ruzizi river. The Kahuzi National Park extends to Kabare, Walungu and Kalehe. Thus, the lake, the river and the forest are regulators of rainfall and temperatures despite climate variability which has been reported in the study area. The population largely depends on crop, livestock and fish farming for household. Major subsistence livestock include cattle, goat and chicken3,33. These regions are direct food suppliers to the Bukavu City which constitutes their primary market. The four territories covered by this study are densely populated (> 300persons km2) and inhabited by ~ 1.4 million people, from three main ethnic groups: Bashi, Bahavu and Bafuliru. For these three ethnic groups, cattle is not only a food and cash livestock but also an integral part of social and cultural belief systems. For instance, cattle is part of all major festive ceremonies such as wedding in which it is given as a dowry and provides white cheese as a result of fermentation of cowmilk which is very appreciated by the local population.
Map of the study area created using ArcGis v.10.7 based on data from Référentiel Géographique Commun (RGC: https:// https://www.rgc.cd/).
Study design and participant selection
A cross-sectional survey was carried out in four of eight territories of the South Kivu province, DR Congo previously listed. The participants were selected by snowball sampling34 irrespective of their age, sex, and educational background. The only requirement to participate was to be the most knowledgeable person on the farm. Special emphasis was placed on farmers from small and medium-sized cattle ranches. Verbal informed consent was obtained from all participants after a brief presentation of the study objectives. Consent was sought from the farmers before interviews using the local language. The farmers were assured of the confidentiality of the information provided during the interviews and the anonymized answer of the questionnaire.
Sampling location and data collection
In total, 699 farmers were interviewed in the four selected territories based on the farm’s density: 102 in Uvira, 122 in Walungu, 140 in Kalehe and 335 in Kabare territories. All interviews were conducted in local languages (Swahili) and research assistants acted as translators during the conversations between the farmers and the research team. After explaining the objectives of the research and seeking their consent, the farmers were individually engaged in semi-structured interviews supplemented with questionnaires. This face-to-face survey contained questions on herd management, livestock diseases, ticks, and acaricide-related information such as perceptions, knowledge, and acaricide control methods, efficacy of ticks control strategies and the evolution of ticks as well as their resistance to control strategies in the context of climate change. In addition, information about the zoo sanitary products doses used, perceived efficacy, application method, number and kind of animals treated, acaricide rotation, and prices per product were recorded. The efficacy evaluation was expressed in a scale range from 1 to 5 (1: mediocre, 2: low; 3: pretty high; 4: high; 5: very high). Furthermore, all farmers were asked to indicate the season (dry season, rainy season, all over year) and the months during which tick infestation increases; Tick control practices (Percentage efficacy of acaricides, Chemical control: frequency, zoosanitary used, dosage, route of administration, who prepares the zoosanitary product solution, and treated animals, Alternative control practices used, Type of grazing implemented), Farmers’ perception (Effect of tick infestation, Seasonality of ticks infestation), Farmers’ knowledge (Biology of ticks, Breed predisposition, Tick-borne diseases, Knowledge of economic losses caused by ticks, Correct acaricide treatment), Tick infestation (Level of tick infestation at the farm level), Acaricide resistance (Presence or absence of resistance).
Statistical analysis
MS Excel 2019 was used to input and clean the gathered data. Next, several aspects of the livestock farms under study as well as methods for managing livestock health in the four South Kivu territories were explained using the cleaned database. R software (version 4.0.5) was used to do statistical analysis of the data, utilizing both quantitative and qualitative techniques to investigate the trends found in the data. The farmers were initially described in a descriptive analysis based on their farming techniques, socioeconomic characteristics, and demographics. Frequency distributions were used to examine the qualitative aspects of the dataset, allowing for a thorough examination of the dataset’s categorical variables. However, statistical metrics like means and standard deviations were carefully computed for quantitative variables, giving information about the dispersion and central tendency of numerical data. To show the distributions of important variables and spot any geographical differences in the sample, the data were displayed both graphically and tabularly.
The associations between explanatory factors and the likelihood of zoosanitary products uptake were then evaluated using inferential statistical tests. The factors influencing adoption were determined using a logistic regression model. The coefficients linked to independent variables including territory, gender, age, marital status, education level, income source, and other aspects related to livestock were estimated using this model. The important impacts of certain variables were highlighted by interpreting the results in terms of estimated coefficients, standard deviations, z-values, and p-values.
Results
Sociocharacteristic of cattle farmers in the South Kivu province, eastern DR Congo
Results presented in the Table 1 provide a demographic breakdown and social-economic characteristics of livestock farmers across four regions: Kabare, Kalehe, Uvira, and Walungu. The key insights reflect differences in gender, age, experience, education, and economic activity, among others, which help to understand the context of livestock farming and tick-borne disease control efforts.
In the Table 1, the gender composition is predominantly male, with nearly all farmers being men (93.8% overall). Uvira is the most skewed region with 100 male respondents, while Kabare has the highest proportion of female farmers (12.3%). The minimal participation of women in livestock farming across these regions suggests gender-specific barriers to entry, highlighting a potential area for gender-sensitive interventions in agriculture and livestock development programs.
The age groups vary across the regions, but the majority of livestock farmers are between 40 and 60 years old, accounting for more than half (53.6%) of the total population. The regions of Uvira and Walungu have the largest percentage of farmers aged 40–50 (34.3% and 31.3%, respectively), while Kalehe has a notable concentration of older farmers, with 25 being over 60 years old. The relatively high age of farmers could imply a reliance on traditional methods and potential resistance to adopting modern livestock management practices, including disease control measures.
Most farmers have significant experience, with nearly half (46.8%) having more than 20 years in livestock farming. This is particularly pronounced in Walungu (54.5%) and Kalehe (47.9%). Uvira has a higher concentration of farmers with 15–20 years of experience (26.5%), indicating a generally well-established community of farmers across the regions. However, the number of farmers with less than 5 years of experience is small (7.7%), suggesting a need for integrating younger or newer farmers into knowledge-sharing platforms, especially concerning emerging threats like climate change and tick-borne diseases.
The majority of farmers are married or cohabiting (62.7%), with a smaller but significant portion being widowed (21.2%). Widowed farmers are particularly concentrated in Walungu (26.3%) and Kabare (22.6%), which could impact household labor availability and decision-making dynamics in farming activities.
There is a significant range in education levels among farmers. While 40.3% have completed secondary studies, a notable proportion (22%) is illiterate, with Uvira having the highest percentage of illiterate farmers (30.4%). The relatively low proportion of higher education (7.9%) may limit the farmers’ access to scientific knowledge and modern practices in disease control and animal management. In Kalehe, primary studies dominates (38.6%), indicating that further educational support in the form of training and extension services might be beneficial.
Agriculture and livestock are the primary sources of income for the majority (66.1%) of farmers, particularly in Kalehe (76.4%). Other sources of income include small trade (17.1%) and public service (9.7%), with Uvira having the highest proportion of farmers engaged in public service (14.7%). The predominance of agriculture highlights the critical role of livestock in the livelihood of these populations, making effective tick and disease management crucial for sustaining their economic well-being.
A large majority of farmers (69.4%) belong to associations, indicating that group or community-based approaches may be effective in disseminating information and best practices for tick management and disease control. The importance of social networks is especially pronounced in Walungu (71.7%) and Kabare (71%).
The majority of farmers have little to no contact with extension services (86.7 overall), with Uvira having the lowest contact rate at just 2. Kalehe is the exception, with 28.6 of farmers having had some contact with extension services. This low engagement with extension services suggests a critical gap in the dissemination of knowledge and skills related to livestock health, disease prevention, and climate change adaptation, which could be a barrier to improving livestock management practices and health outcomes.
This demographic and socio-economic profile reveals a population of experienced, predominantly male livestock farmers with varying levels of studies and income sources. The data suggests opportunities for targeted interventions to improve access to education, extension services, and group-based knowledge sharing, especially in areas like climate change adaptation and tick-borne disease management.
Cattle farming system characteristics in South Kivu province, eastern DR Congo
The results in Table 2 below provide valuable insights into livestock farming systems, health management, and mortality rates across the regions of Kabare, Kalehe, Uvira, and Walungu. The differences in farming practices and challenges faced by farmers highlight the need for tailored interventions and support across these areas.
Caretakerage, an activity involving the monitoring, guidance, and protection of cattle, usually carried out outdoors or on pasture by a shepherd, is the predominant livestock management system across all regions (Table 2), particularly in Uvira (98%) and Walungu (86.9%), where it plays a central role in livestock supervision. In contrast, free-range farming is more common in Kalehe (37.1%) than in other regions, reflecting a greater reliance on open grazing. Stabling is most practiced in Kabare (33.5%), where animals are housed more frequently, while in Uvira and Walungu, stabling is nearly absent. This difference in management practices could influence the regions’ vulnerability to diseases like tick-borne illnesses, as systems like free-range and caretakerage increase the likelihood of animal interaction and exposure to environmental risks.
Transhumance, the seasonal movement of livestock, is practiced almost exclusively in Uvira (58.8%), with limited adoption in other regions, particularly in Kabare and Walungu. The significant presence of transhumance in Uvira may increase exposure to external risks, such as climate-related factors and contact with herds from other regions, potentially affecting animal health.
Regarding pasture use, community pastures dominate in Uvira (100%) and Walungu (75.8%). Kabare farmers are more likely to rely on private grazing land (12.3%) or roadside pastures (21.3%). These differences in pasture management suggest varied levels of control over grazing environments, potentially affecting disease transmission and animal nutrition.
Contact between animals on grazing lands is particularly high in Uvira, where 91.2% of farmers report constant contact, posing a significant risk for disease spread between humans and cattle. Similarly, 57.4% of Kabare farmers report frequent contact among animals. Conversely, Walungu has the lowest levels of animal contact (only 6.1% report no contact), which may suggest more controlled grazing conditions.
Health expenses across the regions are predominantly covered by farmers, with Kalehe (97.9%) and Uvira (95.1%) leading in health expenditure. The amounts spent on livestock health vary significantly. Most farmers spend less than $50 annually (36.9% overall), but in Kalehe, 34.3% spend between $150 and $250, and 24.8% spend more than $250, indicating a higher investment in animal health services in this region. This could point to better access to veterinary care or a greater need for disease management.
Farm production trends show variation across regions. Uvira (49%) and Kalehe (42.9%) report increasing production, whereas Kabare (42.6%) and Kalehe (41.4%) have a notable proportion of farmers experiencing declining production. Stable production is observed in Walungu (30.3%) and Uvira (32.4%), suggesting that some farmers maintain consistent output despite challenges.
Mortality records in cattle farming systems in South Kivu province, eastern DR Congo
The radar plot (Fig. 2) compares four health-related issues across the four territories: Kabare, Kalehe, Uvira, and Walungu. The components being measured include frequency of abortions, neonatal and and adult. The plot uses a radial scale from 0 (center) to 3, with labels indicating the frequency or prevalence of the measured outcomes—ranging from “Never” to “Often”. The visualization provides a clear comparison of how each territory fares across the different categories, giving insights into the overall health conditions in these areas.
Health-related issues in in Kabare, Kalehe, Uvira and Walungu territories, eastern DR Congo.
Kalehe, represented by the orange line, consistently shows higher values across all components, particularly in frequence of newborn mortality and frequence of abortions (Fig. 2). This indicates that these adverse outcomes occur more frequently in Kalehe compared to the other territories. The prominence of these issues suggests that Kalehe might be facing significant reproductive health challenges and higher mortality rates, making it the location with the most severe health conditions overall.
Uvira, depicted by the green line, shows more balanced values across the components, with only a slight increase in frequence of adult mortality. This consistency across components suggests that Uvira might have relatively better health outcomes in some areas, though the elevated frequence of adult mortality indicates that there are still some health risks, particularly for adults. Uvira’s overall performance appears to fall in the middle range compared to other territories (Fig. 2).
Kabare, shown by the blue line, exhibits the lowest values in most components, particularly in frequence of abortions and frequence of pup mortality before weaning. This indicates that these adverse outcomes are less frequent in Kabare compared to the other territories. However, Kabare shows a slight increase in frequence of adult mortality, signaling that there are still concerns regarding the health of the adult population. Despite these challenges, Kabare appears to have comparatively better health outcomes across most health-related components.
Walungu, represented by the red line, has similar values to Kabare but with slightly higher frequencies of abortions and newborn mortality. Walungu appears to be relatively balanced across the considered components without significant extremes, but the higher frequencies in some areas suggest that it still faces considerable health challenges, particularly in terms of reproductive outcomes and infant survival.
In general, the radar chart highlights that frequence of newborn mortality tends to be a critical issue across all territories, with each territory showing relatively higher values in this category. Meanwhile, frequence of abortions show more variability between territories, indicating differences in reproductive health challenges. Kalehe emerges as the location facing the most severe health issues, while Kabare generally fares better in most categories, though both Uvira and Walungu occupy a middle ground with their own specific health concerns.
Figure 3 reveals various challenges faced by livestock farmers in Kabare, Kalehe, Uvira, and Walungu, highlighting significant regional differences in issues related to pasture productivity, theft, insecurity, financial constraints, and disease proliferation.
Challenges faced by farmers in Kabare, Kalehe, Uvira and Walungu territories, eastern DR Congo.
Respondents alluded to the fact that pasture productivity has notably declined in Kabare (59.1%) and Uvira (52.6%), reflecting significant stress on the available grazing land (Fig. 3). Kalehe also reports a moderate decline (43.1%), while Walungu farmers face less of an issue in this regard, with only 18.5% experiencing a decline in productivity. This variation could be tied to regional environmental conditions or different grazing practices.
Low business profits are not a significant concern in most regions, with very few farmers reporting this as a major issue. However, Uvira stands out, where 10.5% of farmers cite low profits, compared to Kabare (1.5%) and Walungu (7.4%), suggesting that economic returns from livestock are more stable in the other regions.
Recurrent theft poses a significant threat across the regions, particularly in Kalehe (50%) and Uvira (42.1%), where it is reported as a major challenge. This contrasts with Kabare, where only 22.7% report theft, and Walungu (33.3%). The high levels of theft in Kalehe and Uvira could be linked to broader issues of insecurity in these regions.
Respondents reported that persistent insecurity is most prevalent in Kalehe (29.3%), followed by Uvira (5.3%) and Walungu (3.7%). Kabare, however, reports no significant issues with insecurity. This highlights a stark difference between regions, where Kalehe, in particular, faces elevated levels of insecurity, likely affecting overall livestock management and farmer livelihoods.
Financial constraints, particularly the lack of means, are widely reported, with the highest incidence in Walungu (63%), where farmers struggle with limited resources. Kabare (28.8%) and Kalehe (31%) also report notable financial challenges, though the issue is less severe in Uvira (5.3%). The disparity in financial stability among farmers suggests that some regions may need more support for livestock care and management.
Surveyed farmers reported that disease proliferation emerges as a dominant concern, particularly in Uvira (89.5%) and Walungu (85.2%), where farmers report widespread issues with livestock diseases. Kalehe (75.9%) also faces a high rate of disease prevalence, while Kabare, though still significantly affected (53%), reports fewer problems compared to the other regions. This trend indicates that disease management and veterinary support are critical needs across all regions, with Uvira and Walungu requiring the most urgent interventions.
Overall, the data paints a picture of regionally distinct challenges, from financial limitations to pasture productivity and disease control. Uvira and Kalehe face heightened risks related to theft, disease, and insecurity, while Walungu farmers struggle with financial limitations despite experiencing fewer issues with pasture productivity. Kabare, although dealing with disease and pasture decline, faces relatively fewer issues with theft and insecurity. These insights can inform more targeted, region-specific strategies to improve livestock management and farmer resilience.
Distribution of tick-related issues in South Kivu province, eastern DR Congo
Table 3 presents a detailed breakdown of tick-related issues across four regions: Kabare, Kalehe, Uvira, and Walungu. The categories examined and perceived by the farmer respondents include the recurrence of tick infestations, periods of abundance, vulnerable breeds and ages of livestock, and favorable zones for tick proliferation. These factors offer valuable insights into the distribution and impact of tick infestations on farms in the respective areas.
Ticks have significant adverse effects on livestock in Kabare, Kalehe, Uvira, and Walungu (Table 3), primarily acting as disease vectors, causing skin lesions, and leading to blood spoliation. The role of ticks as disease vectors is recognized by a majority of farmers, with the highest awareness in Walungu (67.7%) and Kalehe (67.4%), followed by Uvira (53.5%) and Kabare (51.9%). This highlights the widespread understanding that ticks are a major cause of disease transmission in livestock, particularly in Kalehe and Walungu.
Skin lesions caused by tick infestations affect animals across all regions, with the highest occurrence reported in Walungu (39.4%) and similar levels in Uvira (33.7%) and Kabare (33.1%). Kalehe reports slightly lower instances of skin lesions at 28.3%, but the overall impact remains significant, as these lesions can lead to further health complications in the affected animals.
The depletion of blood due to tick feeding, is the most common acknowledged effect, with nearly all farmers across regions recognizing its impact. Walungu has the highest occurrence at 99%, followed closely by Uvira (98%), Kalehe (92.8%), and Kabare (96.1%). Blood spoliation is a serious issue as it weakens livestock, reduces productivity, and makes animals more susceptible to other diseases.
Tick issues are highly prevalent across all regions, but the severity and recurrence differ. In Kabare, 51.3 of the infestations are classified as “very recurrent and weaned,” highlighting a high recurrence rate with some level of control. This situation is even more pronounced in Kalehe (69.6) and Uvira (59.4), showing a greater prevalence of severe tick infestations that farmers are dealing with regularly. In contrast, less recurrent infestations are reported, with very few regions reporting non-recurrent or infrequent problems. Walungu presents a similarly high incidence of recurrent issues (49.5), but with a more balanced distribution of severity. The presence of recurrent but not weaned cases is much less common, indicating that in most regions, infestations are being managed to some degree, although they remain a persistent problem.
Across all regions, the majority of tick infestations affect both improved and local breeds, with all breeds being highly vulnerable (83.5). However, improved breeds seem slightly more susceptible in Kalehe (18.1) compared to other regions, while local breeds are more vulnerable in Uvira (13.9). This might be tied to different farming practices, environmental factors, or management systems in each region. When considering the ages of animals, adult livestock are consistently more affected (14.4 overall), while young animals experience significantly fewer tick problems. The “all animals” category shows a high vulnerability rate (85.0), emphasizing that ticks pose a widespread threat across different livestock groups, regardless of breed or age.
Ticks appear to be most abundant in the months of July and August, with all four regions reporting an overwhelming presence of ticks during this period, reaching 99.0 in Uvira and over 90 in the other regions. This period is the peak of the infestation, possibly tied to specific climatic conditions favorable for tick development. May to June also sees a high tick presence (68.1 overall), but it gradually decreases from September to October (60.2) and into the rainy season months of November to December (32.5). The abundance is lowest in January and February, indicating a clear seasonal trend in tick activity, with a resurgence as the dry season progresses (Fig. 4).
Annual trends of tick abundance in Kabare, Kalehe, Uvira and Walungu territories, eastern DR Congo.
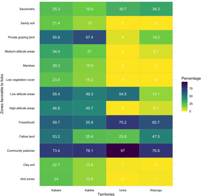
Favorable grazing zones for tick proliferation
The regions vary in the types of environments where ticks are most prevalent (Fig. 5). In Kabare and Kalehe, forests and bushlands present the most favorable environments for ticks (59.7% and 55.8%, respectively), a trend that is even more pronounced in Uvira (75.2%) and Walungu (65.7%). Savannahs also serve as a major farming ground, particularly in Uvira and Walungu, where large expanses of open land facilitate tick reproduction. Interestingly, fallow land is particularly problematic in Kabare (53.2%) and Walungu (47.5%), whereas in Uvira, community pastures (97.0%) and private grazing lands (41.1%) are hotspots for tick activity. These findings suggest that regions with more open, unmanaged areas such as pastures and fallow land are more vulnerable to high tick infestations.
Favorable grazing zones for tick proliferation in Kabare, Kalehe, Uvira and Walungu territories, eastern DR Congo.
Management practices, control strategies and effectiveness of tick control measures in South Kivu province, eastern DR Congo
The Table 4 provides an in-depth analysis of the management practices, knowledge, and effectiveness of tick control measures in the regions of Kabare, Kalehe, Uvira, and Walungu. The focus is on practices related to tick inspections, training, sanitary measures, product use, and access to veterinary services. These variables offer critical insights into how livestock farmers handle tick infestations and prevent tick-borne diseases.
The majority percentage of farmers (Table 4) in all territories perform regular tick inspections on their livestock, with Kabare (79.2%), Kalehe (84.1%), and Walungu (77.8%) showing high rates of inspection. However, Uvira stands out with a relatively lower rate of inspections (64.4%), indicating potential gaps in management practices that could exacerbate the tick problem in that area. Interestingly, while inspections are widely practiced, formal tick management training is lacking. A significant portion of the farmers, especially in Uvira (87.1%) and Walungu (82.8%), have not received any training in tick control. This highlights a critical gap in farmer education, as only about 23.6% overall have undergone training, which might impact their ability to effectively manage infestations and mitigate the associated risks.
Spray races is a well-accepted practice, with the vast majority of farmers in Kabare (87.7%), Uvira (93.1%), and Walungu (92.9%) adopting it as part of their tick control regimen. Kalehe, however, shows a relatively lower adoption rate (68.6%), suggesting that this region could benefit from further promotion of this practice to control tick infestations more effectively. Knowledge of tick-borne diseases is fairly balanced, with around half of the farmers across the regions being aware of these diseases. Walungu leads in awareness (58.6%), while Uvira has the lowest percentage of farmers knowledgeable about these diseases (42.2%), potentially placing livestock in that region at greater risk due to a lack of information.
Most farmers have knowledge of animal zoosanitary products, particularly in Uvira (96.1%) and Kalehe (90.7%). However, the usage of zoosanitary products is somewhat lower in regions like Kabare (78.7%) and Walungu (81.8%), indicating that while knowledge is widespread, access or affordability may limit their use. The effectiveness of these products against ticks is generally rated as fairly high, especially in Kalehe (76.4%) and Uvira (71.4%). However, in terms of effectiveness against tick-borne diseases, satisfaction is lower, with a significant portion of farmers in Uvira (30.6%) and Walungu (32.9%) considering these products as having low effectiveness, pointing to possible limitations in their efficacy or application.
The type of zoosanitary products used by livestock farmers across the regions of Kabare, Kalehe, Uvira, and Walungu shows a strong reliance on acaricides and insecticides. These products are universally applied, with 100% of farmers in Kabare, Uvira, and Walungu, and 99.2% in Kalehe, using them as a primary measure against pests. Repellent products are also fairly common, though their usage varies across the regions. Kabare leads with 30.3% of farmers utilizing these products, followed closely by Kalehe (28.8%). In contrast, only 15.5% of farmers in Uvira and 8.6% in Walungu use repellents, indicating a lower priority or access to these preventive measures in these regions. The use of anti-tick collars is less widespread. Kabare reports the highest usage at 9%, while Kalehe (2.4%), Uvira (4.1%), and Walungu (4.9%) show much lower adoption rates. This suggests that anti-tick collars are not a primary method of protection in most areas. Vaccines are used more frequently in Kalehe (34.4%) and Kabare (19.7%), but much less in Uvira (6.2%) and Walungu (9.9%). This indicates regional differences in the adoption of preventive health measures, with farmers in Kalehe leading in vaccine usage. Curative medicines against tick-borne diseases are notably prominent in Uvira (51.5%) and Walungu (49.4%), where the treatment of diseases appears to be a critical issue. Kalehe (32%) and Kabare (29.5%) also report considerable use of these curative medicines, but to a lesser extent than Uvira and Walungu. This trend points to significant regional variations in both disease prevalence and the approach to treatment.
A major challenge for farmers in all territories (Table 5) is the availability and affordability of animal health products. While these products are commercially available, they are often deemed very expensive, especially in Uvira (82.7%). This high cost could limit access, potentially leading to inadequate tick control. In terms of veterinary services, most regions report limited use, with Kabare (66.5%) and Walungu (74.7%) showing the least reliance on these services. Uvira is the exception, where 75.5% of farmers use veterinary services. Even though services are available, they are often expensive, with the majority of farmers across all regions (43.8%) indicating that veterinary services are locally available but costly, which might deter more frequent usage.
The use of traditional methods, such as medicinal plants, is not widespread. Most farmers across the regions rely on modern veterinary products and zoosanitary measures. However, there is some use of medicinal plants in Uvira (35.3%) and Kalehe (26.4%), where traditional practices are still part of the farming culture. In contrast, Walungu (92.9%) shows minimal reliance on medicinal plants, likely due to a greater preference for or access to formal veterinary solutions.
The strategies employed for controlling ticks and tick-borne diseases (Fig. 6) vary across the territories of Kabare, Kalehe, Uvira, and Walungu, reflecting different approaches to managing livestock health and disease prevention. Pooling control efforts with other farmers is a common strategy, particularly in Walungu (54.5%) and Kabare (52.6%), while it is less frequent in Kalehe (29.5%). Uvira falls in between, with 44.1% of farmers collaborating to manage tick control collectively, showing a significant inclination towards cooperative action in most areas.
Tick and tick-borne disease control strategies in Kabare, Kalehe, Uvira and Walungu territories, eastern DR Congo.
The use of spray races is the most widely adopted strategy across all regions, with Uvira (87.3%) and Walungu (86.9%) leading in its implementation. Kabare and Kalehe also show substantial usage, with 65.6% and 62.6% of farmers, respectively, relying on this method. This demonstrates that spray races are a key preventive measure in tick control in all surveyed regions.
In contrast, anti-tick collars are used sparingly. Kabare reports the highest usage at 3.9%, followed by Kalehe (7.2%) and Uvira (2%), while farmers in Walungu do not report any use of anti-tick collars. This suggests that this particular method of tick control is not widely favored or accessible.
Pasture maintenance as a control strategy is almost non-existent, except for a small percentage of farmers in Kalehe (6.5%) and Kabare (0.6%). Similarly, limiting contact between animals from different farms is adopted by 28.1% of farmers in Kalehe and 19.5% in Kabare, but much less in Uvira (1%) and Walungu (3%), highlighting significant regional variations in disease control through animal movement management.
Limiting animal movements is somewhat more common in Kalehe (23.7%) and Kabare (14.9%) but is infrequent in Uvira (1%) and Walungu (3%), reflecting differences in the need or ability to control livestock mobility in these regions. Pasture rotation, another preventive measure, is rare overall, with only Kalehe (5%) and Walungu (4%) showing some adoption, while Kabare and Uvira exhibit minimal use of this strategy.
Farmers across the regions generally rate the effectiveness of tick control strategies as medium or high, with Kabare having the highest proportion of farmers (50.6%) rating the strategies as highly effective. Kalehe and Uvira show moderate satisfaction with their tick control measures, but there are still concerns about the strategies being low or ineffective, especially in Uvira (19.8%). The effectiveness of these strategies against tick-borne diseases is also seen as medium to high, though Uvira again shows relatively lower confidence, with only 24.8% of farmers rating the effectiveness as high compared to 43.5% in Kabare.
Impact of climate change on tick and tick-borne diseases proliferation in South Kivu province, eastern DR Congo
The Table 5 provides insights into farmers’ awareness of climate change, its impacts on tick abundance, and the trends in tick-borne diseases across four regions: Kabare, Kalehe, Uvira, and Walungu. The data sheds light on the relationship between climate change and tick infestation dynamics, along with the perceived changes in tick species and the incidence of tick-borne diseases.
Farmers’ knowledge of climate change varies significantly across regions (Table 5). Kabare has the lowest proportion of farmers (28.4%) knowledgeable about climate change, while Uvira has the highest (48%). This disparity suggests that education on climate change may be less emphasized or less accessible in certain areas. Despite the varying levels of knowledge, most farmers have experienced exposure to climate change, with an overwhelming majority in Kalehe (93.2%) and Walungu (87.2%) reporting such exposure. This indicates that while awareness may be lacking, the impact of climate change is felt by the majority of the farming population, underscoring the importance of linking climate knowledge with farming practices to help mitigate its effects.
Farmers across all regions have noted changes in tick abundance in relation to climate change, but most perceive stagnation, indicating no significant change in tick numbers (68.3% overall). However, there are regional differences, with a slight increase reported in Uvira (39.2%) and Walungu (25.3%). Kalehe shows a more diverse perception, with 12.9% of farmers observing a slight decrease, suggesting potential regional climate variations that could influence tick populations. The perception of a strong increase in tick abundance is relatively low across regions, but Kalehe has the highest at 8.6%, perhaps indicating a greater sensitivity to climate fluctuations in that area.
The appearance of new tick species is more prevalent in Uvira (59.8%), where over half of the farmers have reported new species, suggesting that climate change may be altering the tick ecology in this region. In contrast, other regions such as Kalehe (3.6%) and Walungu (12.1%) report very low instances of new species. This highlight regional differences in the impact of environmental changes on tick species diversity. The disappearance of certain tick species is rare, with nearly all regions reporting minimal species loss, indicating that while some new species may emerge, existing tick populations remain largely stable.
When it comes to the frequency of tick-borne diseases, most regions report stagnation, with the majority of farmers observing no change in the incidence of these diseases (69.2%). However, Uvira stands out, with 39.2% of farmers reporting a slight increase in disease frequency, which could be linked to the observed increase in tick populations and the appearance of new tick species. Kalehe, on the other hand, shows the highest percentage of farmers (15.0%) who believe there has been a strong increase in the frequency of tick-borne diseases, pointing to a potential hotspot of disease transmission in that region.
In terms of the severity of tick-borne diseases, a large portion of farmers perceive no change (72.4%), although there are notable exceptions. Kalehe (16.4%) and Walungu (23.2%) report an increase in the severity of these diseases, suggesting that in these regions, not only are diseases becoming more frequent, but their impact on livestock health is also worsening. Conversely, Uvira shows minimal concerns regarding disease severity, with the majority of farmers seeing no significant increase.
Similar to the frequency and severity trends, the incidence of tick-borne diseases is reported to be stagnating in most regions (69.2%). However, Uvira again diverges, with 38.2% of farmers noticing a slight increase, while Kalehe shows a stronger variation with 9.3% of farmers reporting a significant decrease. These contrasting trends highlight the complexity of the tick-borne disease landscape across regions, suggesting that different areas experience climate-related impacts on disease transmission in distinct ways.
Logistic regression model of factors influencing the adoption of zoosanitary products in South Kivu province, eastern DR Congo
This logistic regression model summarized in Fig. 7 below analyzes the factors influencing the adoption of zoosanitary products by farmers. The model provides insights into how different characteristics—territory, gender, age, marital status, education, income sources, and farm-related factors—affect the likelihood of farmers adopting these products.
Logistic regression model of factors influencing the adoption of zoosanitary products by farmers.
The intercept is negative and marginally significant (p = 0.050), indicating that when all other factors are held constant at their reference categories, the baseline likelihood of adopting zoosanitary products is low (Fig. 7).
None of the territories—Kabare, Kalehe, or Walungu—show significant differences in the likelihood of adopting zoosanitary products compared to Uvira, as all p-values are above 0.05. This suggests that territorial location alone does not significantly impact the decision to adopt these products.
The gender variable is highly significant (p < 0.001), with male farmers being significantly less likely to adopt zoosanitary products compared to female farmers (β = − 2.309). This large negative coefficient suggests that women are more proactive in adopting these products, potentially due to different roles in livestock care or decision-making dynamics in households.
Age has a mixed influence on adoption. Compared to farmers under 20 years old: Farmers aged 40–50 (β = − 1.967, p = 0.012) and those over 60 (β = − 1.912, p = 0.044) are significantly less likely to adopt zoosanitary products. These results suggest that older farmers may be more resistant to adopting new technologies or products. Farmers in the 20–30, 30–40, and 50–60 age groups do not significantly differ from those under 20, indicating no major effect of age for these groups.
Marital status does not have a statistically significant effect on the adoption of zoosanitary products. Whether farmers are single, divorced/separated, married/cohabiting, or widowed, their likelihood of adoption remains similar. This suggests that family structure may not be a critical determinant in this decision-making process.
Study level also does not show significant effects on adoption. Farmers with primary, secondary, or higher education do not differ substantially from illiterate farmers in their likelihood to adopt zoosanitary products. Although higher education shows a positive trend (β = 1.071, p = 0.113), it does not reach significance. This implies that education level alone may not strongly influence the decision to adopt zoosanitary practices.
Farmers with off-farm income are much more likely to adopt zoosanitary products (β = 1.519, p < 0.001). This suggests that having diversified income sources allows farmers to invest more in livestock care. Other income sources, such as public service, small trade, and small jobs, show no significant impact, though small trade is marginally significant (p = 0.060), indicating a potential negative effect. Additionally, large-scale trade and NGO work are not meaningful predictors, likely due to sparse data in these categories.
Being a member of an association does not significantly influence the adoption of zoosanitary products (p = 0.973). This may suggest that social networks or group dynamics in associations are not strong drivers for this specific decision.
Farmers who have contact with agricultural extension services are much more likely to adopt zoosanitary products (β = 1.830, p < 0.001). This highlights the critical role that extension services play in disseminating information and encouraging the adoption of modern farming practices. Farmers who receive guidance and support from these services are significantly more likely to use zoosanitary products.
There is a significant positive association between herd size and the adoption of zoosanitary products (β = 0.027, p = 0.025). Larger herds are associated with a increased likelihood of adoption, potentially because having large herds is associated with geater financial wealth.
The farming system has a substantial impact on adoption. Farmers who use caretakerage (β = 1.814, p = 0.002) or free-range systems (β = 1.792, p = 0.014) are significantly more likely to adopt zoosanitary products compared to those who practice zero grazing. These results suggest that more extensive farming systems, where animals are not confined, may require greater use of such products to control diseases and pests in the open environment.
The adoption of zoosanitary products is significantly influenced by gender, with females being more likely to adopt these products than males. Age also plays a role, with older farmers (especially those over 40) being less likely to adopt. Off-farm income is a strong positive predictor of adoption, indicating that financial resources and diversified income streams enable farmers to invest in livestock health. Contact with extension services is another critical factor, as farmers who interact with these services are far more likely to adopt zoosanitary products. Lastly, the type of farming system matters, with caretakerage and free-range systems being associated with higher adoption rates compared to zero grazing systems.
Discussion
Farming systems, health management, and mortality
Livestock-infesting ticks are frequently the carriers and/or reservoirs of zoonotic tick-borne diseases, including the newly and re-emerging diseases35. In the present study, the caretakerage is the most farming system practiced in the four territories where cattle are mostly reared on community pastures constituted with bushlands, savannahs and fallow lands. Community pastures predominate in the majority of African nations; in contrast, mixed crop-livestock farming practices and production systems are widespread in DR Congo36. Caretakerage, one of the practiced cattle-farming systems, refers to the livestock surveillance and management by livestock keepers to ensure their safety, well-being and good behavior on grazing rangelands. This system has also been reported by Mugumaarhahama et al.3 as the most widely practiced cattle-raising system in South Kivu province. However, if properly practiced, this system limits the risk of tick infestation in cattle in the way that livestock keepers can avoid areas of high tick density (forest, high grasses, wetlands); rotational grazing prevents the accumulation of ticks in the same area, limiting their reproductive cycle; by monitoring cows, livestock keepers reduce interactions with tick-carrying animals37,38,39. In this study, frequency of newborn mortality, frequency of abortions and adult mortality were the most encountered health-related issues in the study area. Tick-borne diseases cause high morbidity and mortality and lead to reduced growth rate, milk production, and fertility40. It has been reported many signs of tick infestation including tick borne disease mortality of animals as well as frequency of abortions27,41.
Health-related issues and challenges faced by farmers
The results of this study indicate that, regarding tick issues on farm, ticks are very recurrent in the region (57%) showing that ticks management remains one of the priority of cattle diseases. This result corroborates findings of Yawa et al.42 where most of the farmers (78%) perceived that ticks are the major challenge to their cattle production and about 22% of them had no previous experiences of tick problem with their cattle herds and Swai et al.43 who reported an infestation rate of 85.6% in pastoral Maasai community-Ngorongoro, Tanzania. Interviewed farmers reported that these ticks attack all cattle breeds (83.5%) of all categories of age (85%) by spoiling their blood (96.1%). These results are in contrary with findings assuming that the number of ticks on cattle varies according to breed, sex, age, host surface area, skin composition, coat and hair traits, and environmental factors44,45. Indigenous cow breeds are often believed to have high resistance to ticks and may be reared without proper attention on tick management46. However, Dhital47 reported Anemia as one of the major problems due to tick’s infestation while anemia associated to high parasitic loads was found to be one of the direct losses48. Indirect losses are related to the effects of hemoparasites and other diseases that they can transmit35, the cost of treatment for clinical cases, expenses incurred in the control of ticks, unearned income or inefficiencies in the production system (use of genetically resistant breeds to ticks but less productive), confiscation by acaricide residues in meat or milk, trade restrictions of animals between areas and countries49.
Ticks abundancy over the year and associated factors
Farmers reported that ticks are most abundant in the dry season (mostly June to July) while they are less abundant in the rainy season. These results are in accordance with findings of Yawa et al.42 who reported that 61.25% cattle farmers in Sinqu and Elundini communities in the Eastern Cape Province, South Africa noticed that ticks were abundant in the summer season, Katiyatiya et al.14 who reported that ticks and tick-borne diseases are mostly dominant during the rainy season and Zapata et al.50 noticing tick larvae abundance in the hot months. The presence of ticks is influenced by environmental factors such as rainfall, temperature, and relative humidity, which impact its biological cycle50,51. The abundancy of ticks in the dry season could be associated to the high temperature and absence of rainy observed during this season. In fact, elevated temperatures have been linked to higher tick abundance52 as elevated temperature is an important factor in several tick developmental processes, including moulting, oviposition and questing53, while elevated rainfall levels often hinder egg hatching54,55.
Management practices, knowledge, effectiveness of tick control measures and factors influencing the adoption of zoosanitary products
The results of this study indicate that most of farmers do inspection of ticks on their cattle (77.2%), practice cattle spray races (84.5%) but did not receive any training on tick management (76.4%) and are not aware of tick-borne diseases (50.4%). These results are in accordance with findings of Yawa et al.42 who reported that 63.76% of farmers are not aware of tick-borne diseases and 61.2% don’t practice inspection of ticks on their cattle. However, Jamra et al. (2024) reported that more than half of the surveyed farmers did not know how their livestock become infested with ticks or where ticks are typically located in the environment and on the animal, despite the fact that every respondent had encountered a tick problem. The fact that majority of farmers are illiterate could be associated with the lacking awareness of the tick management and tick-borne diseases37.
Regarding the control of ticks, most of animal health products are commercially available but very expensive (61%) and access to veterinary services locally available but very expensive (43.8%). In addition, acaricides are the most zoosanitary products used to treat ticks and ticks’ bones diseases (99.8%). Kerario et al.56 reported that majority of the farmers (87.5%) using acaricides and small proportion of them (12.5%) doing nothing to control ticks on their cattle. Wanzala et al.57 reported that farmers in western Kenya practices hand picking and ethnobotanical suspensions as traditional methods of ticks control. The farmers (59%) were using acaricide to control ticks in Tanzania56. Tick-borne diseases cause high morbidity and mortality and lead to reduced growth rate, milk production, and fertility40. In other studies, farmers also reported weight losses, reduce in milk yield, disease transmission as the major problems due to ticks. A high negative association was observed between the frequency of acaricide usage and the proportion of tick-infested animals, suggesting that the frequent and effective use of acaricides is a significant factor contributing to the variation in tick prevalence across various farms37. The most reported commonly used acaricide are Deltamethrin, cypermethrin, amitraz and ivermectin and but farms experienced high tick infestation, possibly due to owners’ lack of awareness about the correct use of acaricides and the resistance of ticks to the products being used58,59,60. This resistance is related to several factors including parasite genetic factors, operational factors and biological factors35.
In the present study the utilization of these zoosanitary products is very influenced by socio demographic factors such as the gender, age, marital status, study level, source of income, association membership, herd size and farming systems. Previous studies indicated that keeping more heads of cattle, the increase in capital investment, the intensive cattle management, the close contact of farmers with veterinarians, the region where the farmer is located, the belonging to a farmers’ association, the household head’s education level providing great access to information to decide whether to adopt any agricultural technology, the female-headed households enhancing chances of adopting, the farmers experience less than ten years compared to those with greater experience better adopt technologies and innovations61,62,63,64.
Use of medicinal plants
It was reported in the present study that most of the farmers (77%) are not using medicinal plants to eliminate ticks on their cattle. The limited use of ethnoveterinary medicines by farmers in the current study could be attributed to the lack of knowledge on the medicinal plants and their use as they are very oriented to the use of acaricide. This statement is in accordance with the findings of Katiyatiya et al.14 who noted that majority of the farmers depend mainly on acaricide chemicals to control ticks65, with very few farmers using ethnoveterinary medicines14. This is in contrast to reports by Hlatshwayo and Mbati66 in Free State Province, Ndhlovu and Masika67 and Sungirai et al.68 in Zimbabwe, who reported that majority of communal farmers also consider alternative methods to control ticks such as old engine oil, jeyes fluid, paraffin, chickens and manual removal due to unaffordability of the acaricide chemicals. In fact, Ghosh et al.60 reported that Neem (Azadirachta indica) effectively work against ticks. Tobacco (Nicotiana tabacum) is used in eradication of external pest of cattle infestation and mange69. while farmers in Punjab, India resort to the external application of grated/powdered common salt for tick control22.
Climate change on tick abundance and distribution
Evidence climate change is impacting ticks and tick-borne infections is generally lacking. This is primarily because, in most parts of the world, there are no long-term and replicated data on the distribution and abundance of tick populations, and the prevalence and incidence of tick-borne infections23. However, in the present study, regardless of the territories, the majority of livestock farmers are not aware about climate change (61.5%) but among those who have knowledge of climate change, the majority agreed to be exposed to the effects of climate change (85.9%). These statements are in contradiction with the findings of Azine et al.26 who reported that 84.7% of farmers of South Kivu province are aware of climate change phenomena which is mainly due to the poor practices in agriculture and animal husbandry, God’s will, deforestation and unknown causes. However, in this study, livestock farmers indicated any change in tick abundance following exposure to climate change (68.3%) while some of them noticed an increase (20.6%). The same results were found in many countries and regions of the world where any influence of climate change on ticks’ incidence/prevalence have not been recorded23,70. This is often because, in many countries/regions (e.g. Africa, Australia, China, India, Japan, Pakistan, Taiwan, the Arctic, the Middle East), long-term replicated data on tick distribution, prevalence, and abundance are not available, diseases caused by tick-borne pathogens are not notifiable, and basic knowledge of tick-host–pathogen interactions is lacking23. However, if changes in the Earth’s climate are affecting ticks’ infections, signals of change should be related to the geographical distribution, development rate, phenology (seasonal activity) of ticks, tick phenotype/genotype, and tick microbiota23 that, in turn, have a direct impact on tick distribution and abundance71. Most of livestock farmers declare any appearance of new tick species (75%) or disappearance of certain tick species (98.8%). Several researches have shown no appearance or disappearance of tick species following climate change effects71,72,73 but noticed huge differences in tick distribution and abundance. For insistence, Ixodes Ricinus was reported to increase by 9.9% during the observation period and most of expansion occurred in the north part of Sweden where the tick’s coverage area doubled from 12.5% in the early 1990s to 26.8% in 200874. Another long-term study carried out from 1977 to 2011 in Russia reported an increase in the abundance of Ixodes Ricinus in the eastern part of its range75. Climate change has been implicated as an important driving force for the expansion of the taiga tick Ixodes persulcatus habitat and the incidence of tick-borne encephalitis in the north of European Russia76. It is also recognized that Ixodes ricinus is spreading to northern latitudes as a result of the effects of climate change on host populations and on tick development, survival and seasonal activity77. Nonetheless, the relationship between climate change and tick-borne diseases is not uniform across all regions and tick species.
Conclusion
This study draws attention to the difficulties South Kivu province’s cattle producers experience, especially in connection to tick infestations and climate change. The most common method of cattle management is caretakerage where most of them are kept on communal pastures. However, health-related problems including high death rates and regular abortions seriously affect their productivity. Affecting all cattle breeds and age groups, tick infestations continue to be a major issue mostly related to blood spoliation and disease spread. Tick-related issues are widespread, with most farmers reporting very recurrent infestations. Blood loss, skin lesions, and disease transmission are the primary impacts. Tick abundance follows a seasonal trend, peaking during the dry season, particularly in July and August, while declining in the rainy season. Tick proliferation is influenced by grazing surroundings; in Uvira and Walungu especially, woodlands, bushlands, and fallow areas are shown to be most suitable habitats. Although training on tick management is still lacking, management techniques for tick control consist of frequent inspections and hygienic baths. Though their effectiveness varies depending on tick resistance, farmers mostly depend on acaricides. Other control methods, such as pasture rotation and limiting animal contact, are underutilized. Gender, age, income, and interaction with extension services all have an impact on the use of zoosanitary products. These products are more likely to be adopted by women and farmers with mixed incomes. However, financial constraints and limited veterinary access hinder effective tick control. Nevertheless, farmers’ opinions on climate change differ, most say that tick abundance has stagnated, while in other areas, new tick species have emerged and tick-borne diseases have increased. Policies should support better veterinary access, farmer education, and sustainable tick control techniques that include chemical, biological, and environmental methods in order to improve livestock tick management. Long-term monitoring should be the main focus of future studies to better understand how tick populations and disease transmission are impacted by climate change.
Data availability
The datasets used and/or analyzed during the current study are available from the corresponding author on reasonable request.
Abbreviations
- DRC:
-
Democratic Republic of Congo
- IPCC:
-
Intergovernmental Panel on Climate Change
- N:
-
Number of farmers interviewed
- SNSA:
-
Service National des Statistiques Agricoles
References
Bacigale, S. B. et al. Assessing milk products quality, safety, and influencing factors along the dairy value chain in eastern Democratic Republic of the Congo. Front. Sustainable Food Syst. 7, 1105515. https://doi.org/10.3389/fsufs.2023.1105515 (2023).
Ayagirwe, R. et al. Phenotypic variability and typology of cavy (Cavia porcellus) production in the Democratic Republic of Congo (DRC). Genet. Biodivers. J. 3, 11–23. https://doi.org/10.46325/gabj.v3i1.46 (2019).
Mugumaarhahama, Y. et al. Characterization of smallholder cattle production systems in South-Kivu province, eastern Democratic Republic of Congo. Pastoralism 11, 1–15. https://doi.org/10.1186/s13570-020-00187-w (2021).
Gelana, M. et al. Epidemiological study of gastroin -testinal helminthes parasites of Calves in urban, Peri urbanand rural smallholder dairy farms of East Wollega zone, Western Ethiopia. J. Biol. Agric. Health. 6, 17–34 (2016).
Adama, J. Y., Shiawoya, E. L. & Michael, N. Incidence of fetal wastages of cows slaughtered in Minna abattoir, Niger state. Nigeria. J. Appl. Biosci. 42, 2876–2881 (2011).
SNSA. Plan national d’investissement agricole (PNIA) 2014–2020. Kinshasa: Service National des Statistiques Agricoles - Ministère National de l’agriculture. 2014
Cox, T. P. Farming the battlefield: The meanings of war, cattle and soil in South Kivu Democr. Republic of the Congo. Disasters 36, 233–248. https://doi.org/10.1111/j.1467-7717.2011.01257.x (2012).
Mutwedu, V. B. et al. Smallholder farmers’ perception and challenges toward the use of crop residues and agro-industrial byproducts in livestock feeding systems in Eastern DR Congo. Sci. Afr. 16, e01239 (2022).
Mutwedu, V. B. et al. Prevalence and economic losses of calf fetal wastage in ELAKAT public slaughterhouse of Bukavu Democratic Republic of Congo. Vet. World. 12, 1644–1649. https://doi.org/10.14202/vetworld.2019.1644-1649 (2019).
Bisimwa, N. P. et al. Prevalence of gastrointestinal helminths in slaughtered cat-tle in Walungu territory, South Kivu province, Eastern dem-ocratic republic of congo. Austin J. Vet. Sci. Anim. Husb. 5, 1–6 (2018).
Bwihangane, B. A. et al. Seroprevalence surveyof brucellosis among cattle in selected districts of SouthKivu province, Eastern of DR Congo. J. Biol. Innov. 7(3), 424–434 (2018).
Okorie-Kanu, O. J. et al. Slaughter of pregnant goats for meatat Nsukka slaughterhouse and its economic implications:A public health concern. Vet. World. 11(8), 1139–1144 (2018).
Lamy E, Van Harten S, Sales-Baptista E, Guerra MMM, De Almeida AM. Factors Influencing Livestock Productivity. In Springer eBooks. 2012; 19–51. https://doi.org/10.1007/978-3-642-29205-7_2
Katiyatiya, C. L. F., Muchenje, V. & Mushunje, A. Farmers’ perceptions and knowledge of cattle adaptation to heat stress and tick resistance in the eastern cape, South Africa. Asian Australas. J. Anim. Sci. 27, 1663–1670. https://doi.org/10.5713/ajas.2014.14174 (2014).
Muyobela, J., Nkunika, P. O. Y. & Mwase, E. T. Resistance status of ticks (Acari; Ixodidae) to amitraz and cypermethrin acaricides in Isoka District Zambia.. Trop. Anim. Health Prod. 47, 1599–1605 (2015).
Eskezia, B. G. & Desta, A. H. Review on the impact of ticks on livestock health and productivity. J. Biol. Agric. Healthc. 6(22), 1–7 (2016).
De la Fuente, J., Estrada-Pena, A., Venzal, J. M., Kocan, K. M. & Sonenshine, D. E. Overview: ticks as vectors of pathogens that cause disease in humans and animals. Front. Biosci. 13, 6938–6946 (2008).
Mandal, D. B., Sarma, K. & Saravanan, M. Upcoming of the integrated tick control program of ruminants with special emphasis on livestock farming system in India. Ticks Tick Borne Dis. 4, 1–10 (2013).
Lorusso, V. et al. Ixodid ticks of traditionally managed cattle in central Nigeria: where Rhipicephalus (Boophilus) microplus does not dare (yet?). Parasites Vectors. 6, 1–10 (2013).
Sungirai, M., Madder, M., Moyo, D. Z., De Clercq, P. & Abatih, E. N. An update on the ecological distribution of the Ixodidae ticks in Zimbabwe. Exp. Appl. Acarol. 66, 269–280 (2015).
De Clercq, E. M. et al. Geographic distribution of the invasive cattle tick Rhipicephalus microplus, a country-wide survey in Benin. Exp. Appl. Acarol. 58, 441–452 (2012).
Muhammad, G., Naureen, A., Firyal, S. & Saqib, M. Tick control strategies in dairy production medicine. Pak. Vet. J. 28(1), 43 (2008).
Nuttall, P. A. Climate change impacts on ticks and tick-borne infections. Biologia 77(6), 1503–1512. https://doi.org/10.1007/s11756-021-00927-2 (2021).
Akhtar, S. & Ahad, K. Pesticides residue in milk and milk products: Mini review. Pak. J. Anal. Environ. Chem. 18(1), 37–45 (2017).
Rehman, H. U. et al. Heavy metals, pesticide, plasticizers contamination and risk analysis of drinking water quality in the newly developed housing societies of Gujranwala, Pakistan. Water 14(22), 3787 (2022).
Azine, P. C. et al. Assessing smallholder farmers’ vulnerability to climate change and coping strategies in South Kivu Province, eastern Democratic Republic of Congo. Environ. Syst. Res. 14(1), 2. https://doi.org/10.1186/s40068-025-00393-8 (2025).
Rodriguez-Vivas, R. I., Jonsson, N. N. & Bhushan, C. Strategies for the control of Rhipicephalus microplus ticks in a world of conventional acaricide and macrocyclic lactone resistance. Parasitol. Res. 117, 3–29 (2018).
Humblet, M. F., Losson, B. & Saegerman, C. Integrated management of blood-feeding arthropods in veterinary teaching facilities-Part 1: overview of haematophagous arthropods of interest in North-western Europe. Revue Sci. et Tech. (International Office of Epizootics) 39(3), 737–756 (2020).
Muñoz EC. Grazing management strategies adapted to dairy cattle on pasture in the ecuadorian sierra (Doctoral dissertation, Universite de Liege (Belgium) 2023.
Paucar-Quishpe, V. et al. farmers’ adoption, knowledge, and perceptions of tick control measures on dairy farms in subtropical areas of continental ecuador. Transb. Emerg. Dis. 2024(1), 5023240. https://doi.org/10.1155/2024/5023240 (2024).
Jack, C. et al. Determining the influence of socio-psychological factors on the adoption of individual ‘best practice’parasite control behaviours from Scottish sheep farmers. Prev. Vet. Med. 200, 105594 (2022).
Ndjadi, S. S. et al. Typology and Prospects for the Improvement of Market Gardening Systems in South-Kivu, Eastern DR Congo. Journal of Agriculture Science 12(6), 136–152. https://doi.org/10.5539/jas.v12n6p136 (2020).
Mutwedu VB, Ayagirwe RBB, Metre KT, Mugumaarhahama Y, Sadiki JM, Bisimwa EB. Rabbit production systems under smallholder conditions in South Kivu, eastern DRC. 2015. LRRD, 27 (10): 206.
Lupo, C., Wilmart, O., Van Huffel, X., Dal Pozzo, F. & Saegerman, C. Stakeholders’ perceptions, attitudes and practices towards risk prevention in the food chain. Food Control 66, 158–165 (2016).
Abbas, R. Z., Zaman, M. A., Colwell, D. D., Gilleard, J. & Iqbal, Z. Acaricide resistance in cattle ticks and approaches to its management: The state of play. Vet. Parasitol. 203(1–2), 6–20. https://doi.org/10.1016/j.vetpar.2014.03.006 (2014).
Azine, P. C. et al. Livestock feeding practices in South Kivu, Eastern Democratic Republic of Congo: challenges and opportunities. Deleted J. 2(1), 8. https://doi.org/10.1007/s44338-025-00053-2 (2025).
Jamra, S. et al. Assessment of farmers’ knowledge, attitudes and control practices (KAP) to mitigate acaricide resistance and tick-borne diseases. Parasitology 151, 971–982. https://doi.org/10.1017/S0031182024001331 (2024).
Namgyal, J. et al. Dorjee S and Cork SC Identification, distribution, and habitat suitability models of Ixodid tick species in cattle in Eastern Bhutan. Trop. Med. Infectious Dis. 6, 27 (2021).
Butler, A. D., Sedghi, T. & Petrini, J. R. Ahmadi R Tick-borne disease preventive practices and perceptions in an endemic area. Ticks Tick Borne Dis. 7, 331–337 (2016).
Laisser, E. L. K. et al. Knowledge and perception on ticks, tick-borne diseases and indigenous cattle tolerance to East Coast fever in agro-pastoral communities of Lake Zone inTanzania. Livest. Res. Rural Dev. 27(4), 215 (2015).
Demessie, Y. & Derso, S. Tick borne hemoparasitic diseases of ruminants: A review. Adv. Biol. Res. 9(4), 210–224. https://doi.org/10.5829/idosi.abr.2015.9.4.9516 (2015).
Yawa, M., Nyangiwe, N., Jaja, I. F., Kadzere, C. T. & Marufu, M. C. Communal cattle farmer’s knowledge, attitudes and practices on ticks (Acari: Ixodidae), tick control and acaricide resistance. Trop. Anim. Health Prod. https://doi.org/10.1007/s11250-020-02319-1 (2020).
Swai, E. S. et al. Farm constraints, cattle disease perception and tick management practices in pastoral Maasai community-Ngorongoro Tanzania.. Livest. Res. Rural Dev. 172, 17–20 (2005).
Singh, K. et al. Economic impact of predominant ticks and tick-borne diseases on Indian dairy production systems. Exp Parasitol. 243, 108408. https://doi.org/10.1016/j.exppara.2022.108408 (2022).
Akhil, K. S. et al. South Indian zebu dwarf cattle show higher natural resistance to tickinfestation compared to crossbreds: Preliminary observations. Trop. Anim. Health Prod. 53, 1–8 (2021).
Jonsson, N. N. Piper EK and Constantinoiu CC Host resistance in cattle to infestation with the cattle tick Rhipicephalus microplus. Parasite Immunol. 36, 553–559 (2014).
Dhital, B., Sulav, S., Krishna, P. K. & Rameshwor, P. Distribution of the cattle ticks from mid hills to plains of Nepal. J. Agric. Natl. Resour. 1(1), 197–205 (2018).
Rodríguez, R., Ojeda, M., Pérez, L. & Rosado, J. Epidemiología y control de Rhipicephalus (Boophilus) microplus en México. In Epidemiología de enfermedades parasitarias en animales domésticos (eds Quiroz, H. et al.) 477–504 (UNAM, 2011).
Betancur, O. Insecticide resistance management: A long term strategy to ensure effective pest control in the future. J. Anim. Sci. Res. https://doi.org/10.16966/2576-6457.111 (2018).
Zapata, C. A. et al. Characterizationand seasonal dynamics of tickpopulations in dairy cattleproduction systems of northwestern colombian amazon. Vet. Sci. 11, 244. https://doi.org/10.3390/vetsci11060244 (2024).
Nicaretta, J. E. et al. Rhipicephalus microplus seasonal dynamic in a cerrado biome, Brazil: An update dataconsidering the global warming. Vet. Parasitol. 296, 109506 (2021).
Semenza, J. C. & Menne, B. Climate change and infectious diseases in Europe. Lancet Infect. Dis. 9, 365–375 (2009).
Estrada-Peña, A., Gray, J. S., Kahl, O., Lane, R. S. & Nijhof, A. M. Research on the ecology of ticks and tick-borne pathogens—methodological principles and caveats. Front. Cell. Infect. Microbiol. 3, 29 (2013).
Mastropaolo, M., Mangold, A. J., Guglielmone, A. A. & Nava, S. Non-parasitic life cycle of the cattle tick rhipicephalus (Boophilus)microplus in panicum maximum pastures in northern Argentina. Res. Vet. Sci. 115, 138–145 (2017).
Randolph, S. E. Dynamics of tick-borne disease systems: Minor role of recent climate change. Rev. Sci. Tech. 27, 367–381 (2008).
Kerario, I. I., Simuunza, M., Laisser, E. L. K. & Chenyambuga, S. Exploring knowledge and management practices on ticks and tick-borne diseases among agro-pastoral communities in Southern Highlands. Tanzania. Vet World. 11(1), 48–57. https://doi.org/10.14202/vetworld.2018.48-57 (2018).
Wanzala, W., Takken, W., Mukabana, W. R., Pala, A. O. & Hassanali, A. Ethnoknowledge of Bukusu community on livestock tick prevention and control in Bungoma district, western Kenya. J. Ethnopharmacol. 140, 298–324 (2012).
Upadhaya, D. et al. Characterization of acaricide resistance in Rhipicephalus microplus populations infesting cattle in northeastern India and assessment of local plant extracts for tick management. Vet Parasitol. 277, 109011. https://doi.org/10.1016/j.vetpar.2019.109011 (2020).
Kumar, R., Sharma, A. K. & Ghosh, S. Menace of acaricide resistance in cattle tick, Rhipicephalus microplus in India: Status and possible mitigation strategies. Vet Parasitol. 278, 108993. https://doi.org/10.1016/j.vetpar.2019.108993 (2020).
Ghosh, S. et al. Survey of acaricides resistance status of Rhipiciphalus (Boophilus) microplus collected from selected places of Bihar, an eastern state of India. Ticks Tick Borne Dis. 6(5), 668–675. https://doi.org/10.1016/j.ttbdis.2015.05.013 (2015).
Kiggundu, M., Kigozi, A., Walusimbi, H. K. & Mugerwa, S. Farmers’ perception of calf housing and factors influencing its adoption on dairy cattle farms in Uganda. Sci. Afr. 12, e00805 (2021).
Chagunda, M. G. G., Msiska, A. C. M., Wollny, C. B. A., Tchale, H. & Banda, J. W. An analysis of smallholder farmers’ willingness to adopt dairy performance recording in Malawi. Livest. Res. Rural. Dev. 18(5), 66 (2006).
El-Osta, H. S. & Morehart, M. J. Technology adoption decisions in dairy production and the role of herd expansion. Agric. Resour. Econ. Rev. 28(1), 84–95 (1999).
Purvis, A., Boggess, W. G., Moss, C. B. & Holt, J. Technology adoption decisions under irreversibility and uncertainty: An ex ante appproach. Am. J. Agr. Econ. 77(3), 541–551 (1995).
Marufu, M. C., Chimonyo, M., Dzama, K. & Mapiye, C. Seroprevalence of tick-borne diseases in communal cattle reared on sweet and sour rangelands in a semi-arid area of South Africa. Vet. J. 184(1), 71–76 (2010).
Hlatshwayo, M. & Mbati, P. A. A survey of tick control methods used by resource-poor farmers in the Qwa-Qwa area of the eastern Free State Province South Africa.. Onderstepoort J. Vet. Res. 72(3), 245–249. https://doi.org/10.4102/ojvr.v72i3.202 (2005).
Ndhlovu, D. N. & Masika, P. J. Ethno-veterinary control of bovine dermatophilosis and ticks in Zhombe, Njelele and Shamrock resettlement in Zimbabwe. Trop. Anim. Health Prod. 45(2), 525–532. https://doi.org/10.1007/s11250-012-0253-7 (2013).
Sungirai, M., Moyo, D. Z., De Clercq, P. & Madder, M. Communal farmers’ perceptions of tick-borne diseases affecting cattle and investigation of tick control methods practiced in Zimbabwe. Ticks Tick-borne Dis. 7(1), 1–9. https://doi.org/10.1016/j.ttbdis.2015.07.015 (2016).
Sharma, A., Jumde, P. & Kolte, S. W. Efficacy of Nicotiana tabacum as a biocontrol agent against cattle ticks. J. Entomol. Zool. Stud. 8(6), 220–222 (2020).
Bouchard, C. et al. N Increased risk of tick-borne diseases with climate and environmental changes. Can Commun. Dis Rep. 45(4), 83–89. https://doi.org/10.14745/ccdr.v45i04a02 (2019).
Jore, S. et al. Climate and environmental change drives Ixodes ricinus geographical expansion at the northern range margin. Parasit. Vectors 7(1), 11. https://doi.org/10.1186/1756-3305-7-11 (2014).
Estrada-Peña, A., Ayllón, N. & De la Fuente, J. Impact of climate trends on tick-borne pathogen transmission. Front. Physiol. 3, 64. https://doi.org/10.3389/fphys.2012.00064 (2012).
Lauterbach, R., Wells, K., O’Hara, R. B., Kalko, E. K. & Renner, S. C. Variable strength of forest stand attributes and weather conditions on the questing activity of Ixodes ricinus ticks over years in managed forests. PLoS ONE 8, e55365 (2013).
Dantas-Torres, F. Climate change, biodiversity, ticks and tick-borne diseases: The butterfly effect. Int. J. Parasitol. Parasites Wildl. 4(3), 452–461. https://doi.org/10.1016/j.ijppaw.2015.07.001 (2015).
Korotkov, Y., Kozlova, T. & Kozlovskaya, L. Observations on changes in abundance of questing Ixodes ricinus, castor bean tick, over a 35 year period in the eastern part of its range (Russia Tula region). Med. Vet. Entomol. 29, 129e136 (2015).
Tokarevich, N. et al. The impact of climate change on the expansion of Ixodes persulcatus habitat and the incidence of tick borne encephalitis in the north of European Russia. Glob. Health Action. 4, 8448 (2011).
Mannelli, A., Bertolotti, L., Gern, L. & Gray, J. Ecology of Borrelia burgdorferi sensu lato in Europe: transmission dynamics in multi-host systems, influence of molecular processes and effects of climatechange. FEMS Microbiol. Rev. 36, 837–861 (2012).
Acknowledgements
We would like to extend our gratitude to all cattle farmers from Kabare, Kalehe, Uvira and Walungu territoires of the South Kivu province for taking the time to respond to our questions and provide us with valuable information.
Funding
Support for this research was made possible through a capacity building competitive grant Training the Next Generation of Scientists for Africa provided by Carnegie Cooperation of New York through the Regional University Forum for Capacity Building in Agriculture (RUFORUM, Grant Number: RU/2024/Post-Doc/03).
Author information
Authors and Affiliations
Contributions
Study design: V.B.M. P.M.B. and K.K.; data assembly: V.B.M., C.S.C., Y.M. and R.B.B.A.; data analysis: V.B.M., Y.M. and R.B.B.A.; original manuscript: V.B.M., P.M.B., C.S.C and K.K. All the authors have read and approved the submitted version.
Corresponding author
Ethics declarations
Competing interests
The authors declare no competing interests.
Ethical approval
All protocols employed in this research followed the Law of the Prevention and Treatment of Infectious Diseases in the Animals of DRC and the ethical considerations were fulfilled by obtaining approval of the study from the Social Sciences Research Ethics Committee, Université Evangélique en Afrique (Ref: SSREC/1206/014S). All study respondents signed an informed consent before inclusion in this study and were fully anonymized before further analysis.
Consent for publication
Not applicable.
Additional information
Publisher’s note
Springer Nature remains neutral with regard to jurisdictional claims in published maps and institutional affiliations.
Rights and permissions
Open Access This article is licensed under a Creative Commons Attribution-NonCommercial-NoDerivatives 4.0 International License, which permits any non-commercial use, sharing, distribution and reproduction in any medium or format, as long as you give appropriate credit to the original author(s) and the source, provide a link to the Creative Commons licence, and indicate if you modified the licensed material. You do not have permission under this licence to share adapted material derived from this article or parts of it. The images or other third party material in this article are included in the article’s Creative Commons licence, unless indicated otherwise in a credit line to the material. If material is not included in the article’s Creative Commons licence and your intended use is not permitted by statutory regulation or exceeds the permitted use, you will need to obtain permission directly from the copyright holder. To view a copy of this licence, visit http://creativecommons.org/licenses/by-nc-nd/4.0/.
About this article
Cite this article
Mutwedu, V.B., Mushagalusa, P.B., Cilabara, C.S. et al. Exploring farmers’ knowledge, attitudes and control practices on ixodid tick in the context of climate change of South Kivu province, Eastern Democratic Republic of Congo. Sci Rep 15, 36617 (2025). https://doi.org/10.1038/s41598-025-20504-w
Received:
Accepted:
Published:
Version of record:
DOI: https://doi.org/10.1038/s41598-025-20504-w






