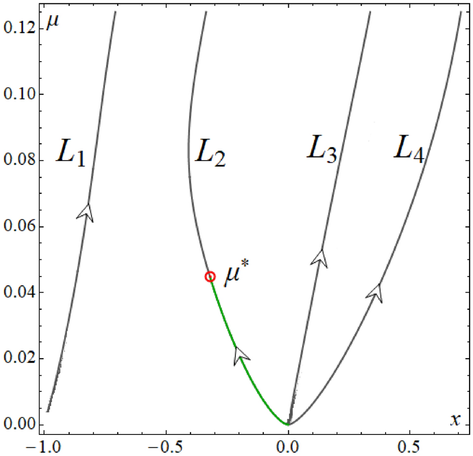
Fig. 4
From: A generalized framework for the collinear restricted four-body problem with a central dominant mass

Variation in position and linear stability of the collinear libration points for μ0 = 0.75 as μ varies in the interval (0, 0.125). L1 shifts toward m2, L2 moves toward m2 and then slightly back toward m0, L3 approaches m1, and L4 recedes from m1. Stability analysis shows that only L2 remains stable for μ < μ∗ = 0.0448; all other collinear points are unstable for the full range of μ.