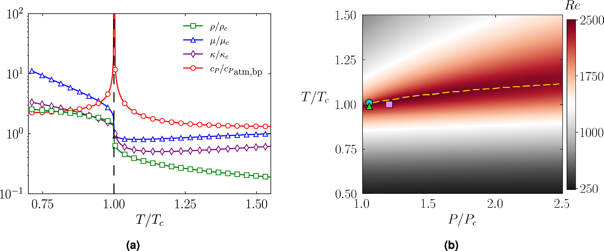
Fig. 1
From: Supercritical miniaturization of turbulence in microsystems

Supercritical CO\(_2\) fluid flow behavior in the vicinity of the critical point. (a) Thermophysical fluid properties of CO\(_2\) at critical pressure \(P_c = 7.38\) MPa as a function of reduced temperature \(T/T_c\) (critical temperature \(T_c = 304.13 \text {K}\)). Fluid properties are normalized with reference values obtained from the NIST database19, corresponding to critical density \(\rho _c = 467.60 \text {kg/m}^3\), critical viscosity \(\mu _c = 2.40\times 10^{-5} \text {Pa . s}\), critical thermal conductivity \(\kappa _c = 5.48\times 10^{-2} \text {W/(m . K)}\), and isobaric heat capacity at atmospheric boiling point \({c_P}_{\text {atm, bp}} = 850.85 \text {J/(kg . K)}\). The vertical-dashed black line denotes the critical temperature point (\(T/T_c\) = 1). Note that \(c_P/{c_P}_{\text {atm, bp}}\) extends beyond the plot range as it becomes asymptotically infinite at the critical point. (b) Colormap of Reynolds number Re at high-pressure transcritical conditions for \(D_h = 186.68 \mu \text {m}\) and \(U_b = 1 \text {m/s}\) as a function of reduced pressure and temperature. The yellow dashed curve denotes the pseudo-boiling line, where \(c_P\) values reach their maximum value for each pressure as a function of temperature. The thermodynamic state of cases B (turquoise circle), C (violet square), and D (green triangle) at the outlet (\(P_b/P_c\), \(T_o/T_c\)) are represented by colored symbols.