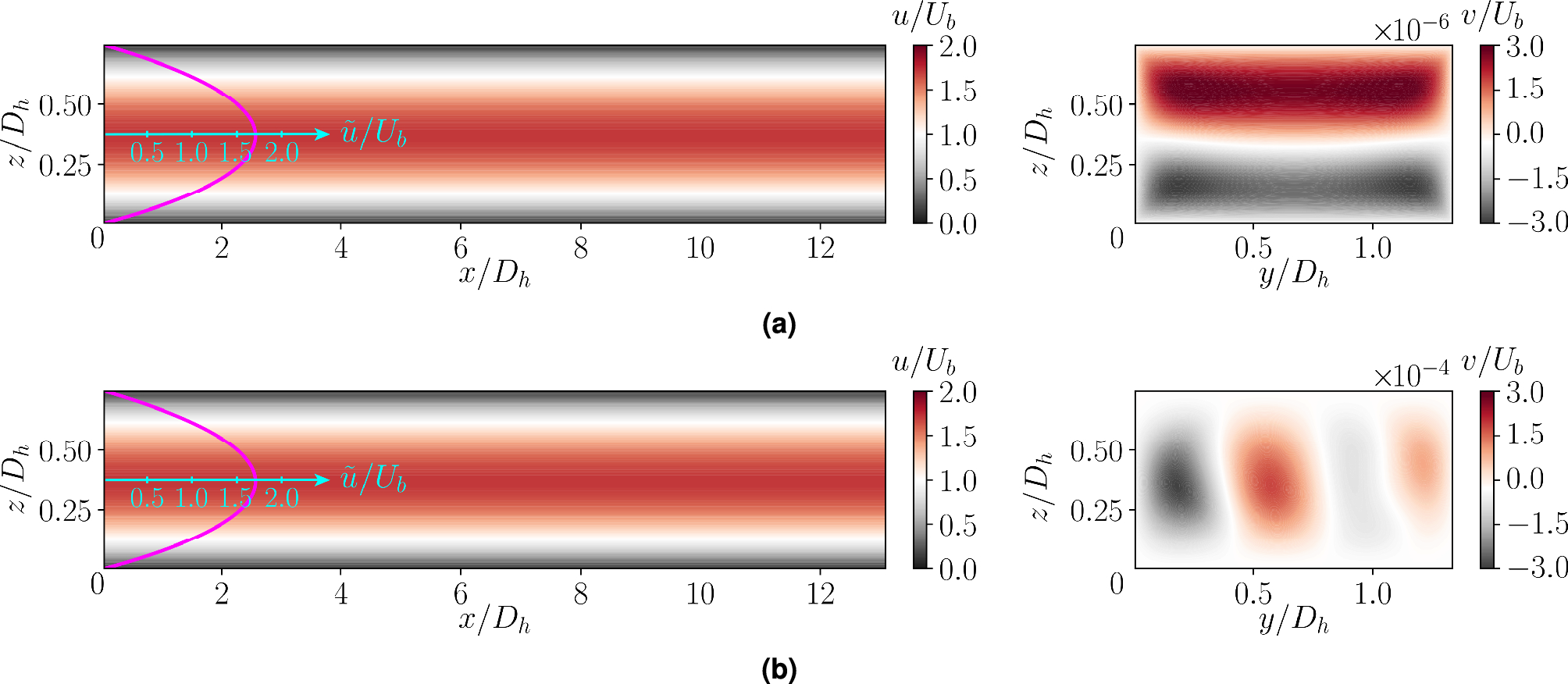
Fig. 6
From: Supercritical miniaturization of turbulence in microsystems

Instantaneous DNS snapshots for the laminar-like cases corresponding to cases (a) A and (b) D. The left panels display the instantaneous normalized streamwise velocity \(u/U_b\) on an \(x/D_h - z/D_h\) slice at \(y/D_h = 0.67\). The right panels show the instantaneous normalized vertical velocity component \(v/U_b\) on a \(y/D_h - z/D_h\) slice at \(x/D_h = 6.5\). The magenta curves correspond to the normalized time-averaged streamwise velocity profiles. The results exhibit smooth velocity distributions characteristic of laminar-like flow.