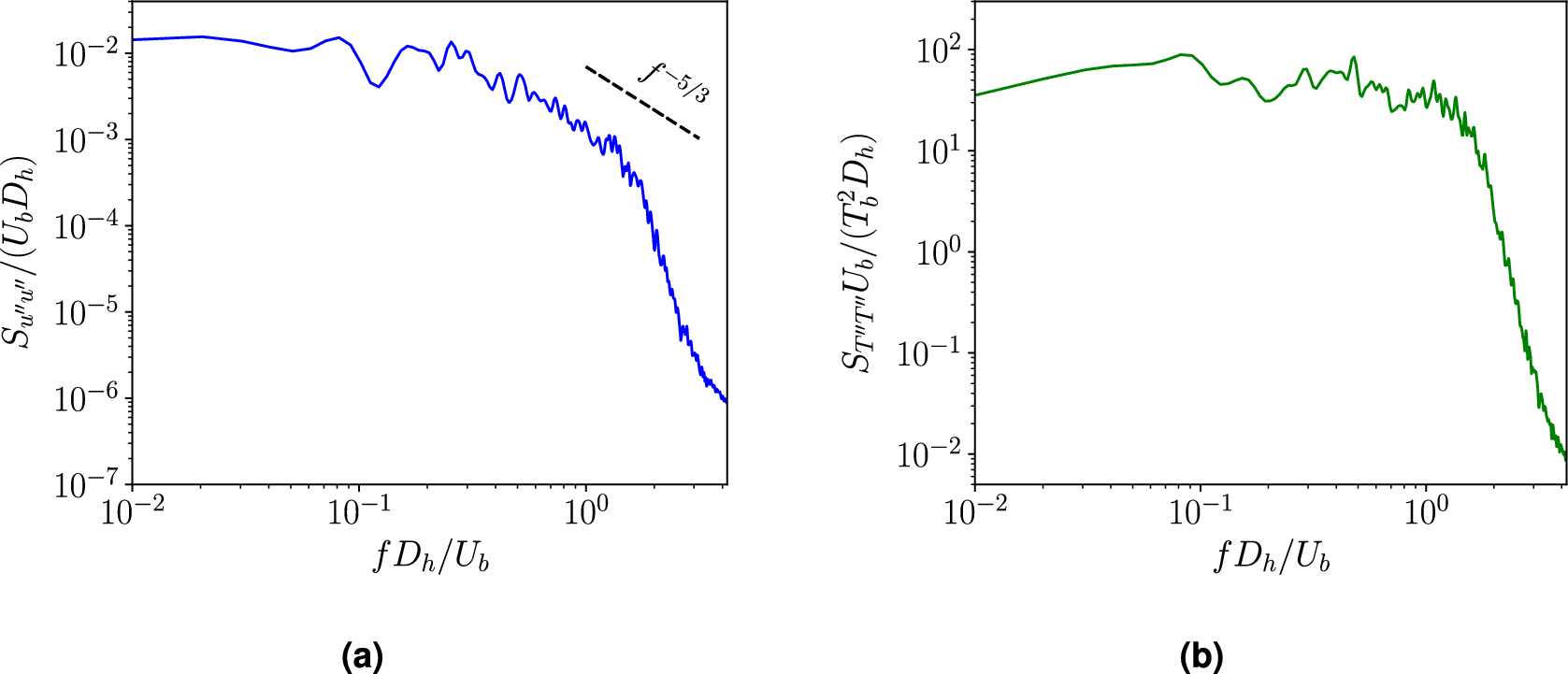
Fig. 8
From: Supercritical miniaturization of turbulence in microsystems

Power spectral density at the microchannel centerline for case B. Fluctuations of (a) streamwise velocity \(S_{u''u''}\) and (b) temperature \(S_{T''T''}\) as a function of frequency f normalized by bulk velocity \(U_b\) and hydraulic diameter \(D_h\).