Fig. 12
From: Calculation of nonlimit active earth pressure of retaining walls based on curved sliding surface

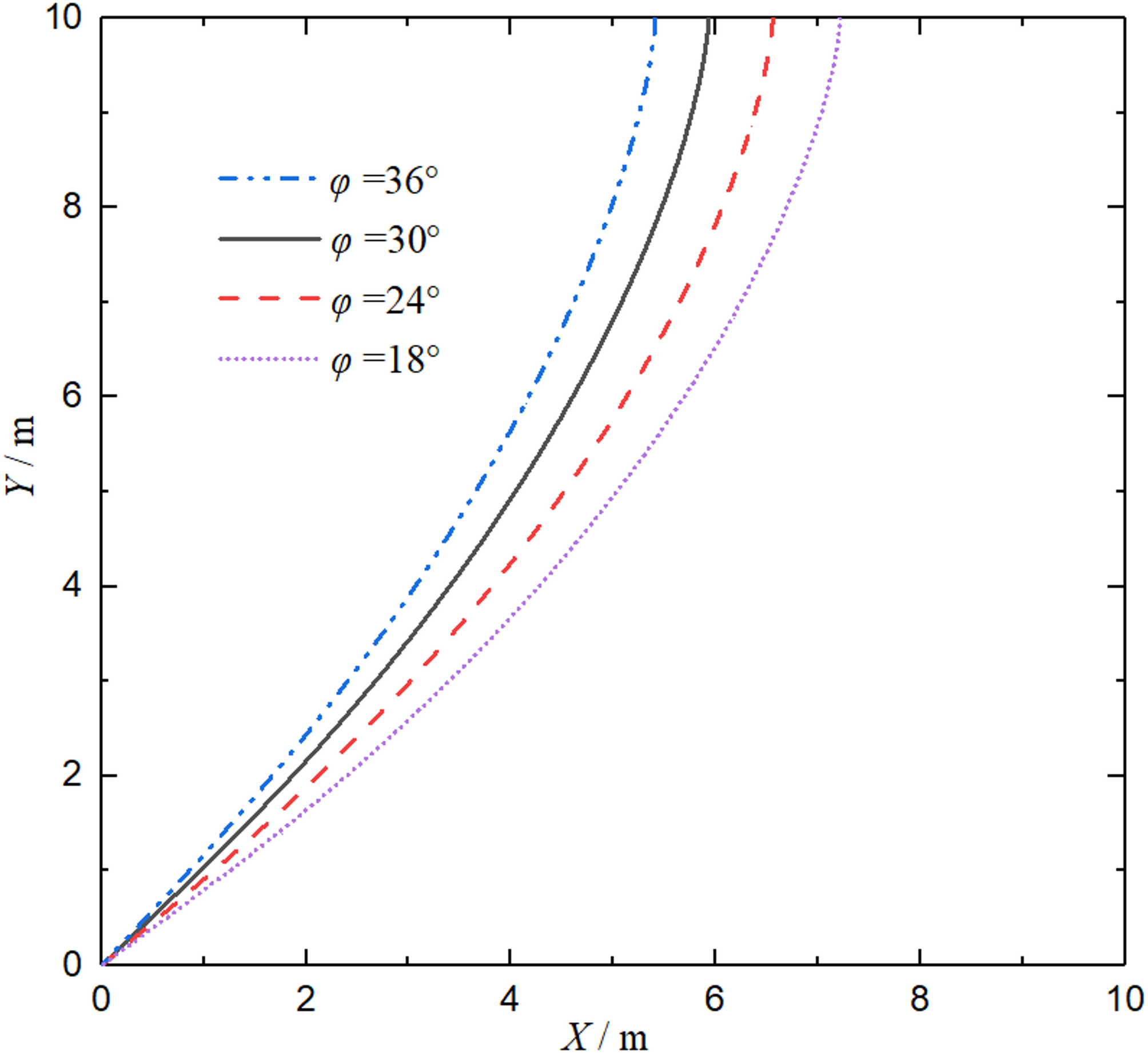
Potential slip surface shapes under different φ.
From: Calculation of nonlimit active earth pressure of retaining walls based on curved sliding surface

Potential slip surface shapes under different φ.