Abstract
Mucosal immunity can be altered by exhausting exercise, while it may be enhanced by flavonoid-enriched diets. This study aimed both to ascertain the influence of exhausting exercise in rats on mucosal immunity, and to establish the effect of 10% cocoa-enriched diets, alone (C10) or together with 0.5% hesperidin (CH), on the alterations in the mucosal immune system caused by exhausting exercise. For 6 weeks, Lewis rats were fed either standard, C10, or CH diets while following an intensive exercise training program. The animal groups included sedentary, trained, or exhausted rats for each diet. Results showed no effect of exercise on intestinal permeability or the main lymphocyte subsets of mesenteric lymph nodes (MLNs), although a higher proportion of NK cells were observed after training. Exhaustion increased the proportion of CD62L + Th and Tc cells but did not modify the lymphocyte functions of MLNs. Diets enriched with cocoa prevented the increase in the proportion of NK cells in MLNs whereas increased the proportion of B, Tc, and Tγδ cells. Although exercise did not modify the immunoglobulin synthesis, cocoa diets resulted in a rise in the synthesis of IgG and a lower salivary IgA content. In conclusion, few mucosal changes were induced in the model of exercise performed in Lewis rats, thus cocoa diets could not demonstrate a preventive effect on these alterations. Nevertheless, cocoa-enriched diets enhanced some aspects of intestinal immunity.
Similar content being viewed by others
Introduction
Regular flavonoid consumption is associated with beneficial health effects1. Flavonoids include flavanols, flavones, flavonols, flavanones, isoflavones, and anthocyanins. Flavanols can be found in seeds such as cocoa2, whereas flavanones, such as hesperidin (β-7-rutinoside of hesperetin), are exclusively found in citrus fruits3.
Cocoa flavanols mainly include catechins, which account for 37% of the polyphenol content in cocoa beans, with the (−)-epicatechin being the most abundant, along with proanthocyanidins2,3,4. Cocoa intake has been associated with beneficial effects on health5,6, and it is able to attenuate inflammatory responses as well as to influence systemic and intestinal immunity7,8,9. Rat models have demonstrated that cocoa diets can modify systemic immune functions and also influence the gut-associated lymphoid tissue (GALT). In this regard, a cocoa-enriched diet can change T lymphocyte functionality as well as attenuating the immunoglobulin (Ig) synthesis in both systemic and intestinal compartments10.
Hesperidin, the main flavonoid in sweet orange and lemon, has demonstrated both antioxidant and beneficial effects in chronic and inflammatory diseases3,11,12. In addition, a hesperidin-enriched diet influences both the systemic and intestinal immune system. In the context of intestinal immunity, preclinical studies in healthy rats have shown that the administration of hesperidin increased the T:B cell ratio, enhanced the IFN-γ production in mesenteric lymph nodes (MLNs), and modified the lymphocyte composition in the intestinal epithelium and lamina propria13. In Lewis rats, the oral administration of hesperidin increased the intestinal IgA content14. On the other hand, in rodent asthma or rhinitis models, hesperidin administration attenuated the IgE levels among other inflammatory variables15,16,17. Hesperidin was also able to counteract the immunosuppressive effects of cyclophosphamide in rats by enhancing both innate and adaptive immune responses18.
The regular practice of moderate-intensity physical exercise is mainly associated with benefits for health. In this regard, moderate exercise protects against obesity, type 2 diabetes, and cardiovascular disease19. Moreover, it improves immune system functionality20,21. However, when the level of intensity becomes excessive and exhausting it can alter immune system functions, particularly mucosal immunity. Evidence of these alterations in mucosal immunity appears in athletes who undergo periods of intensive training or exhausting exercise, which are frequently followed by upper respiratory tract infections22. Further evidence of alterations in mucosal immunity comes from studies reporting that most athletes suffer gastrointestinal problems such as diarrhea, cramping, and gastric pain, which can led to a decrease in exercise performance23,24. It has been proposed that dietary supplements could enhance exercise performance, and many studies have focused on the effects of flavonoid consumption on physical exercise performance, as recently reviewed25,26. However, little is known about flavonoid intake and its potential protective effect on exhausting exercise-associated mucosal disturbances. Indeed, studies in humans have reported that cocoa intake reduces exercise-induced oxidative stress, although results are contradictory27,28,29,30,31. Moreover, preclinical studies showed that the administration of (–)-epicatechin, the main flavonoid in cocoa, delays the onset of fatigue in mice32 and maintains exercise-induced improved capillarity and mitochondrial capacity, even when the exercise regimen is discontinued33. On the other hand, we reported no changes in the performance of a single session of intensive exercise after a 10% cocoa diet for 25 days; however, it prevented oxidative stress and some acute intensive exercise-induced changes in lymphocyte distribution in the intestinal immune system and also resulted in a lower production of proinflammatory cytokines34,35.
With regard to studies focused on exercise and hesperidin, apart from some revisions25,26,36, preclinical studies have shown that intensively trained Wistar rats orally administered with hesperidin exhibited reduced oxidative stress in lymphoid tissues, which was associated with improved performance37. Accordingly, hesperidin supplementation enhanced the antioxidant capacity of exercised animals in a swimming exercise model38. Similarly, the intake of glucosyl hesperidin (with greater bioavailability than hesperidin) improved the low-intensity running performance of Wistar rats but had no effect on high-intensity running performance39.
As both cocoa- and hesperidin-rich diets influence the immune system through different mechanisms, it is plausible that their combined intake could have a complementary or even synergistic effect. Similarly, despite the preclinical studies mentioned above showing the influence of cocoa32 or hesperidin37 in intensively trained animals, the combined effect of cocoa and hesperidin has not been previously reported with the exception of our previous study in which we reported on systemic alterations of the immune system40. Nevertheless, the effect on the mucosal immune system has not been established. Based on this, in the current study we first aimed to ascertain the influence of chronic and exhausting exercise on the mucosal immune system, focusing above all on the GALT. Secondly, we aimed to assess the effect of diets enriched with cocoa, alone or in combination with hesperidin, on the alterations in the mucosal immune system induced by chronic and exhausting exercise in these animals.
Results
Exercise performance
To achieve this objective, a previously described animal model subjected to both a training and exhaustion program for 6 weeks was used40. Briefly, animals fed a reference diet (REF), a cocoa-enriched diet (C10) or a cocoa and hesperidin-enriched diet (CH) were submitted to training (T), training with a final exhaustion test (TE) or remained sedentary (SED) for 6 weeks.
Throughout the training period, the maximum speed achieved by the animals from each of the different diet groups in the exhausting tests (ETs) performed each Monday and each Friday was monitored (Fig. 1a). During the first 3 weeks, the maximum speed achieved in the Friday ET (ET1b, ET2b and ET3b) was higher than that achieved in their respective Monday ET (ET1a, ET2a and ET3a). Animals were faster in the last 3 weeks (ET3b-ET6a) but no differences were observed between Fridays and Mondays during this period. Globally, the area under the curve (AUC) (Fig. 1b) indicates that the diet had no effect. The maximum speed achieved in the last ET (ET6b) did not differ between animals submitted to different diets (Fig. 1c).
Maximum speed achieved in the ETs performed every Monday (ETa) and Friday (ETb) throughout the 6-week training program (a); the area under the curve (AUC) of the maximum speed achieved through the same period (b); and the maximum speed achieved in the last ET (ET6b) for the TE group (c). Diet (D); time (T); time x diet interaction (TxD); reference diet (REF); diet with 10% cocoa (C10); diet with 10% cocoa and 0.5% hesperidin (CH). Data are expressed as mean ± standard error of the mean (SEM) (a and b: n = 9 for the SED groups and n = 18 for the RUN groups; c: n = 6 for all diets). Statistical differences: * p < 0.05 vs ET1a; ** p < 0.05 vs ET1a-ET3a; NS, no statistically significant differences.
Intestinal permeability
As a measure of increased intestinal permeability41, the α-1-antitrypsin (α1AT) concentration was quantified in the gut wash (GW) obtained from the distal part of the small intestine from the SED, T, and TE groups fed either the REF, C10, or CH diets (Fig. 2). While no significant changes were observed resulting from the exercise program, the intake of cocoa together with hesperidin (CH group) induced significant changes in permeability, basically enhancing it, in comparison to the REF animals (p < 0.05 CH vs. REF).
Concentration of α-1-antitrypsin (α1AT) in the gut wash of the distal part of the small intestine at the end of the study. Diet (D); exercise (E); diet x exercise interaction (DxE); sedentary rats (SED), trained rats (T), trained and exhausted rats (TE); reference diet (REF); diet with 10% cocoa (C10); diet with 10% cocoa and 0.5% hesperidin (CH). Data are expressed as mean ± SEM (n = 9/group). Statistical differences indicated in the legend box; NS, no statistically significant differences.
Mesenteric lymph nodes lymphocyte composition
The proportion of B, Tαβ+ (Th, Tc and NKT subsets), Tγδ+ and NK cells was established in the mesenteric lymph nodes (MLNs) from the SED, T, and TE groups fed the REF, C10, or CH diets (Fig. 3). Likewise, the proportion of CD25 + cells (activated cells) and CD62L + cells (cells expressing L-selectin, involved in lymphocyte homing) in Th and Tc lymphocytes, respectively, was also quantified (Fig. 4).
Percentage of main lymphocyte populations in MLNs: B (CD45RA+) (a); Tαβ (TCRαβ+) (b); T:B cell ratio (c); Th (CD4+ CD161a- in TCRαβ+) (d); Tc (CD8+ CD161a- in TCRαβ+) (e), and NKT (CD161a+ in TCRαβ+) (f) cells; Tγδ (TCRγδ+) (g); natural killer (NK) (CD161a+ TCRαβ-) (h). Diet (D); exercise (E); diet x exercise interaction (DxE); sedentary rats (SED); trained rats (T); trained and exhausted rats (TE); reference diet (REF); diet with 10% cocoa (C10); diet with 10% cocoa and 0.5% hesperidin (CH). Data are expressed as mean ± SEM (n = 6–8/group). Statistical differences indicated in the legend box; when the DxE interaction was significant: * p < 0.05 vs. REF diet, # p < 0.05 vs. C10 diet, lines with p values between groups with different exercise conditions; NS, no statistically significant differences.
Percentage of CD25+ and CD62L+ populations in Th and Tc MLNs lymphocytes: CD25+ in Th cells (a); CD62L+ in Th cells (b); CD25+ in Tc cells (c); CD62L+ in Tc cells (d). Diet (D); exercise (E); diet x exercise interaction (DxE); sedentary rats (SED); trained rats (T); trained and exhausted rats (TE); reference diet (REF); diet with 10% cocoa (C10); diet with 10% cocoa and 0.5% hesperidin (CH). Data are expressed as mean ± SEM (n = 6–8/group). Statistical differences indicated in the legend box; NS, no statistically significant differences.
With regard to the effects of exercise, the statistical analysis by two-way ANOVA showed no influence of exercise on the main MLNs lymphocyte populations, meaning that the six-week training program (T group) and the additional ET (TE group) did not affect the proportion of either B cells or T lymphocyte subsets, such as Tαβ+ , Th, Tc, and NKT (Fig. 3). Nevertheless, the statistical analysis revealed the impact of the diet, independently of exercise, on the main MLNs lymphocytes. Thus, both the C10− and the CH-fed animals globally showed a higher proportion of B cells (p < 0.005) and, reciprocally, a lower proportion of Tαβ+ cells compared to those fed the REF diet (p < 0.005) (Fig. 3a, b), resulting in a reduced T:B cell ratio (p < 0.001) (Fig. 3c). In addition, both the C10 and CH diets led to a lower proportion of Th cells (and, reciprocally a higher proportion of Tc cells) than the REF diet (p < 0.001) (Fig. 3d, e). No diet-induced changes were observed in NKT cells (Fig. 3f).
Regarding the minor population of Tγδ+ cells, the statistical analysis by two-way ANOVA showed a non-significant influence of exercise but a significant effect both of the diet (p < 0.001) and the interaction between exercise and diet (p < 0.001) (Fig. 3g). Thus, a significant reduction in Tγδ+ cells was observed in exhausted animals fed the C10 diet, compared to its trained counterpart (p < 0.05 TE-C10 vs. T-C10). However, the C10 diet led to a higher percentage of Tγδ+ cells in SED and T animals compared to their corresponding REF-fed groups (p < 0.001), and even compared to trained animals fed the CH diet (p < 0.05). The increase with respect to REF animals was also observed in SED and TE animals following the CH diet (p < 0.001) (Fig. 3g).
In the case of the population of NK cells in MLNs, the statistical analysis by two-way ANOVA revealed a significant influence of exercise (p < 0.001), diet (p < 0.001) and also the interaction between exercise and diet (p < 0.01) (Fig. 3h). As a global effect of exercise and regardless of the diet, exhaustion (TE groups) decreased the proportion of NK cells compared to their trained counterparts (T groups), (p < 0.001). However, training increased the proportion of NK cells in MLNs in the REF-fed animals (p < 0.005 T-REF vs. SED-REF), an increase that was not observed after the final ET (p < 0.001 TE-REF vs. T-REF; p > 0.05 TE-REF vs. SED-REF). The CH diet prevented the increase in trained REF animals (p < 0.05 T-CH vs. T-REF), and also decreased the NK cell proportion in TE and SED animals (p < 0.05 SED-CH vs. SED-REF, and TE-CH vs. TE-REF). In agreement with these results, the C10 diet also prevented the increase in T-REF animals, and reduced the NK cell proportion in TE animals (p < 0.05 T-C10 vs. T-REF and TE-C10 vs. TE-REF).
The proportion of CD25+ cells in Th and Tc lymphocytes was not modified by either the six-week exercise program (T group) or the final ET (TE group) (Fig. 4a, c). However, exercise had a significant effect on the proportion of CD62L+ cells in both Th and Tc subsets (p < 0.05). In particular, in the TE groups, there was a higher proportion of CD62L+ Th and CD62L+ Tc cells compared to the T groups (Fig. 4b, d). Following the C10 or CH diet did not prevent this change (Fig. 4b, d).
Mesenteric lymph nodes lymphocyte functionality
The functionality of cells obtained from the MLNs was first assessed by their proliferative capacity (Fig. 5) and the release of cytokines under concanavalin A (ConA) stimulation (Supplementary Fig. S1). The statistical analysis by two-way ANOVA showed no influence of exercise or diet in the proliferative capacity of MLNs lymphocytes, but there was a significant effect of the interaction between exercise and diet (p < 0.01). In other words, globally, exercise did not alter the MLNs lymphocytes’ proliferation ability, but the diet influenced certain exercise groups (Fig. 5). Thus, in T rats, proliferative capacity was higher in the CH-fed animals compared to those fed the REF diet (Fig. 5). However, this enhanced proliferative activity observed in the T-CH group was lost after the final exhausting test (TE group) (Fig. 5a).
Proliferative rate of MLNs lymphocyte. Diet (D); exercise (E), diet x exercise interaction (DxE); sedentary rats (SED); trained rats (T); trained and exhausted rats (TE); reference diet (REF); cocoa diet (C10); cocoa and hesperidin diet (CH). Data are expressed as mean ± SEM (n = 6–8). Statistical differences indicated in the legend box; when the DxE interaction was significant: * p < 0.05 vs. REF diet, lines with p values between groups with different exercise conditions; NS, no statistically significant differences.
With regard to cytokine secretion, neither training nor dietary interventions affected the secretion of interferon (IFN)-γ, interleukin (IL)-2, tumor necrosis factor (TNF)-α, IL-10, IL-17, IL-4 and IL-6 from MLNs lymphocytes (Supplementary Fig. S2).
Moreover, the functionality of MLNs lymphocytes was also established by quantifying the secretion of IgM, IgG and its isotypes in the culture supernatant of MLNs lymphocytes (Fig. 6). No changes due to exercise were observed in the levels of secreted IgM or IgG (Fig. 6a, b). However, both the diet and of the interaction between exercise and diet had a significant effect (p < 0.001 and p < 0.005, respectively). Thus, independently of the exercise, both the C10 and CH diets led to a higher concentration of IgG secreted by MLNs lymphocytes compared to the REF diet (Fig. 6b). Considering the changes in the IgG isotypes, i.e., IgG1, IgG2b and IgG2c (Fig. 6c–e, respectively), the IgG increase can be attributed firstly to an increase in IgG2c (Fig. 6e), the main Ig secreted, and secondly, to an increase in IgG2b (Fig. 6d). Additionally, the C10 diet also enhanced the production of IgG1 (Fig. 6c).
Mesenteric lymph nodes (MLNs) lymphocytes’ functionality concerning Ig secretion: IgM (a), IgG (b), IgG1 (c), IgG2b (d), IgG2c (e). Diet (D); exercise (E), diet x exercise interaction (DxE); sedentary rats (SED); trained rats (T); trained and exhausted rats (TE); reference diet (REF); cocoa diet (C10); cocoa and hesperidin diet (CH). Data are expressed as mean ± SEM (n = 6–8/group). Statistical differences indicated in the legend box; when the DxE interaction was significant: * p < 0.05 vs. REF diet, # p < 0.05 vs. C10 diet; NS, no statistically significant differences.
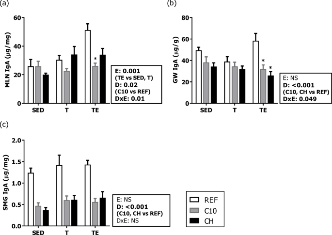
Mucosal IgA content
IgA content was determined in mucosal compartments such as the GW, as well as in homogenates from MLNs and the submaxillary salivary gland (SMG) (Fig. 7). In the MLNs homogenates, statistical analysis by two-way ANOVA revealed the significant effect of exercise (p < 0.05), diet (p < 0.005), and the interaction between both (p < 0.01). In consequence, it can be observed that the final exhaustion test induced a significant increase in IgA concentration in the REF-fed group (Fig. 7a). Both the C10 and CH diets prevented the ET-induced increase in IgA.
IgA concentration in mesenteric lymph nodes (MLNs) homogenates (a), gut wash (GW) (b) and submaxillary gland (SMG) homogenates (c). Diet (D); exercise (E), diet x exercise interaction (DxE); sedentary rats (SED); trained rats (T); trained and exhausted rats (TE); reference diet (REF); cocoa diet (C10); cocoa and hesperidin diet (CH). Data are expressed as mean ± SEM (n = 6–8/group). Statistical differences indicated in the legend box; when the DxE interaction was significant: * p < 0.05 vs. REF diet; NS, no statistically significant differences.
On the other hand, no significant differences in IgA concentration due to exercise were observed in the GW (Fig. 7b) and SMG (Fig. 7c), but diet (p < 0.001) and also the interaction between exercise and diet in GW IgA (p < 0.05), had a statistically significant influence. In general, both the C10 and CH diets, independently of exercise, decreased the IgA concentration in the GW and SMG (Fig. 7b, c).
Discussion
The present study aimed to evaluate the impact of intensive training and exhaustion on the mucosal immunity of Lewis rats, as well as the effect of diets enriched with 10% cocoa alone (C10) or combined with 0.5% hesperidin (CH) on the alterations in the mucosal immune system induced by chronic and exhausting exercise. Additionally, changes due to the C10 and CH diets, regardless of the exercise, were also observed and are discussed here.
Firstly, it has to be taken into account that, as already demonstrated40, the exercise performance did not differ as a result of either cocoa diets, which agrees with previous preclinical and clinical studies34,42,43. On the other hand, the training program used in this study induced fewer effects on the immune system compared to a previous study conducted in Wistar rats that underwent a similar but slightly shorter training program (5 weeks)44. In particular, the 5-week-training program in Wistar rats reduced the IgA content in the SMG but not in the GW. It also impaired the intestinal tight junction proteins’ gene expression and modified the composition and function of the MLNs by increasing the ratio between the Tαβ+ and B cells, reducing their proliferative ability, and enhancing the IFN-γ secretion. However, no change in the levels of α1AT in GW was detected44. Similarly to these previous results, the six-week training program in Lewis rats did not induce changes in the levels of α1AT in GW. However, unlike the study in the Wistar rats, the present training program did not modify either the salivary IgA content or the GW IgA concentration, nor did it change either the Tαβ+ or B cell proportions, their proliferative ability, or the cytokine secretion in MLNs in Lewis rats. The differences observed between Wistar and Lewis rats following a similar intensive training program could be due to the small sample size used in the present study or the inherent differences between rat strains. While Lewis rats are more sensitive to immune changes45, they also seem to be more resistant to stress46, with a hyporesponsive hypothalamic–pituitary–adrenal axis and a different balance between mineralocorticoid and glucocorticoid receptors in brains of Lewis rats when compared to Wistar rats47. Moreover, Lewis rats, in particular female rats as used here, elicited a different behaviour response to administration of stress-inducing compounds (toll-like receptor 3 agonist and viral memetic polyinosinic–polycytidylic acid) with respect to Wistar rats48. Therefore, Lewis rats may have better tolerance to the intensive running for 6 weeks, with no significant changes in mucosal immunity. Further studies are needed to clarify these strain differences and establish the most appropriate model for studying the effects of overtraining on the immune system. Indeed, a previous characterization of systemic immunity in Lewis rats after intensive training and exhaustion also showed few alterations in spleen lymphocyte distribution, their proliferative activity, NK cytotoxicity activity, and cytokine and immunoglobulin secretion40.
Among the effects found in the current study on the GALT compartment, Lewis rats trained for 6 weeks showed an increase in the proportion of NK cells in MLNs. It has been reported that these cells and their functions are sensitive to exercise/training modalities49, which could explain the changes observed during training that are lost after exhaustion. Importantly, this change in trained rats was prevented when they were fed with diets containing cocoa and hesperidin (CH diet) and also cocoa alone to some degree. This effect may be attributed to a synergistic interaction between cocoa and hesperidin. In fact, although no studies focused on gathering these particular compounds, it is reasonable to think that the mixture of polyphenols of different origin and with demonstrated anti-inflammatory and antioxidant effects8,36, may have an additive or even synergistic effect. On the other hand, we observed that after exhaustion, MLN lymphocytes showed a higher proportion of CD62L+ Th and Tc cells when compared to trained rats. This increase in CD62L+ Th and Tc cells may indicate the migration of cells to the MLNs, as CD62L is involved in lymphoid homing to secondary organs50. This migration could be triggered by adrenaline secretion induced by exhaustion51 and could not be prevented by either the C10 or CH diets.
With regard to immunoglobulin content in mucosal compartments, we previously reported that the final exhaustion test in Wistar rats induced a higher cecal IgA concentration compared to trained rats44. Although we did not determine cecal IgA concentration in the current study, we observed, in agreement with these results from Wistar rats, that the final exhaustion in Lewis rats provoked a higher IgA content in MLNs. These results are in line with those obtained in the intestine of mice submitted to strenuous exercise after prior training52, suggesting a potential influence of exhaustion on intestinal IgA+ plasma cells. In this case, it is worth noting that both C10 and CH diets were able to prevent the exhaustion-induced increase in the IgA content in MLNs and GW. In fact, both diets also reduced the IgA content in SMG regardless of exercise, which aligns with previous studies53,54,55. The differential exercise-induced IgA changes in the MLNs, GW, and SMG observed in the present study could be mainly due to the distinct role and characteristics of these three compartments. Exercise impacts IgA levels in the MLNs in particular due to their involvement in the GALT. While there is evidence that exercise induces a lower IgA salivary concentration in the SMG22, here we found that SMG does not appear to be directly influenced by changes in gut immune function or systemic effects of exercise. With regard to the GALT, and independently of the exercise program, the diet containing cocoa and hesperidin (CH diet), but not cocoa alone (C10 diet), globally modified the intestinal permeability, primarily by increasing the α1AT levels in the GW. In fact, while recent clinical studies showed that a beverage containing cocoa, blueberry, and green tea flavonoids did not alleviate exercise-induced intestinal injury during submaximal cycling56, another study demonstrated the protective effect of cocoa flavonoids on the intestinal permeability in elite football players57. However, in the case of hesperidin, in vitro models have shown contradictory results regarding its protective effects against epithelial barrier dysfunction58,59. Therefore, given that the CH diet also affects SED animals, the actual in vivo effects of hesperidin combined with cocoa on intestinal permeability merit further studies.
On the other hand, and also independently of the training, both the C10 and CH diets modified the distribution of some lymphocyte subsets in MLNs. Thus, these diets increased the proportion of B cells at the expense of Tαβ cells, and within this last subset, the proportion of Tc cells increased at the expense of Th cells. A higher percentage of Tγδ+ cells was also observed. Similar results had already been described in Lewis rats that had been ovalbumin-sensitized orally and fed with 10% cocoa60. These findings suggest that both the C10 and CH diets enhanced the humoral immunity (B cells), intestinal cytotoxicity (Tc cells), as well as the presence of intestinal Tγδ+ cells, which are involved in the maintenance of epithelial homeostasis, barrier integrity, and damage repair, among other functions61. Since the results obtained with the C10 and CH diet did not differ between them, it can be suggested that the cocoa diet was primarily responsible for the effects. The increased B cell proportion induced by cocoa is in line with previous studies10,60,62. The mechanism by which a cocoa-enriched diet leads to this increase remains unknown but it has been observed an increase in the expression of CCL28 which can be involved in the chemotaxis of B cells to GLM55. Another feasible mechanism could involve microbiota modulation63,64, which needs further evaluation in the present exercise model.
On the other hand, trained animals fed the CH diet showed a higher lymphoproliferative rate than those fed the standard diet. However, this increase did not correlate with higher cytokine secretion from the same cells. This could be due to the timing of the cell supernatants sampling after in vitro stimulation (48 h), which may have been too long and then stabilization of the secreted cytokine levels can be achieved65. In any case, the changes in the proliferative capacity do not align with findings from trained Wistar rats receiving hesperidin alone (200 mg/kg body weight, 3 times per week for 5 weeks)66. The differences between the two studies could be due to variations in the hesperidin dosage (dose and in combination with cocoa) and rat strain used.
Mucosal IgA concentration was attenuated by the C10-enriched diet, as observed in previous studies53,54,55. Nevertheless, the diet containing 0.5% hesperidin alone was able to increase the intestinal IgA content13,14, which was not observed here when hesperidin was combined with cocoa. Interestingly, both C10 and CH diets were able to increase the IgG secretion from MLNs, particularly IgG2b and IgG2c, in sedentary, trained, and exhausted rats. This suggests a compensatory mechanism induced by the decrease in intestinal IgA synthesis. The increase in IgG content in MLNs also agrees with a higher percentage of B cells with these diets in sedentary, trained, and exhausted rats, as well as a higher IgG concentration in plasma40.
In conclusion, although few intestinal changes were induced by the exercise model performed in Lewis rats, cocoa-enriched diets enhanced some aspects of intestinal immunity, such as IgG production, and led to a higher proportion of B, Tc, and Tγδ cells in the MLNs. Further studies focused on the molecular mechanism involved could help to better understand the impact of exercise on the immune system and its modulation by dietary compounds.
Methods
Experimental design
The study was conducted using a previously described animal model subjected to both training and exhaustion40. Briefly, female Lewis rats (7 weeks old at the beginning of the study; Janvier Labs, Saint-Berthevin, France) were used. Exercise consisted of running on a treadmill (Exer3/6, Columbus, OH, USA), uphill, at an incline of 5 degrees. Rats were first distributed into sedentary (SED) and runner (RUN) groups with the same average running capacity established after five familiarization sessions on the treadmill and a final exhaustion test (ET). The ET involved 10 min of running at 18 m/min, followed by a speed increase of 3 m/min every 2 min until the rat was exhausted, defined as touching the shock grid more than three times. Within the SED and RUN groups, three diet groups were established: reference (REF); cocoa (C10); and cocoa combined with hesperidin (CH).
The REF diet consisted of the American Institute of Nutrition diet (AIN-93M, Envigo, Huntington, UK). The C10 diet, as in previous studies9,10, was an isoenergetic diet containing 10% defatted cocoa (Idilia Foods S.L., Barcelona, Spain), providing a final proportion of 3.6 g/kg of polyphenols, 6.0 g/kg of soluble fiber, and 54.0 g/kg of insoluble fiber. The CH diet consisted of the C10 diet plus 0.5% of 2S-hesperidin (Cardiose®, HealthTech BioActives, Murcia, Spain), due to its beneficial effect on immune function13.
The RUN groups were fed one of the three diets (n = 18 each diet) and submitted to a six-week exercise program, consisting of an ET every Monday and Friday. During the ET, rats ran for 15 min at 70% of the maximum speed average achieved in the previous Monday’s ET; the initial speed on the first Monday’s ET was 15 m/min. The speed was then progressively increased 3 m/min every 2 min until exhaustion. On Tuesdays, Wednesdays, and Thursdays, rats trained for 25, 30, and 40 min, respectively, at 70% of the maximum speed achieved in the previous Monday’s ET.
After the six-week training program, each RUN group was divided into two subgroups with the same running capacity: One subgroup from whom samples were obtained 24 h after a regular training session (trained–T–group); and the other from whom samples were obtained immediately after undergoing an additional final exhaustion test (trained and exhausted–TE–group).
The rats were maintained at the animal facility of the Diagonal Campus at the University of Barcelona (UB) and housed in polycarbonate cages, 2–3 animals per cage, under temperature- and humidity-controlled conditions in a 12 h light/12 h dark cycle. Throughout the study, food and water were provided ad libitum. The animal procedure was approved by the Ethical Committee for Animal Experimentation (CEEA) of the UB and the Catalonia Government (CEEA/UB ref. 517/18 and DAAM 10,615, respectively). Moreover, all animal experiments were carried out in accordance with the relevant guidelines and regulations and ARRIVE guidelines.
Sample collection
At the end of the study, animals were anesthetized with a mix of ketamine (90 mg/kg, Merial Laboratories S.A., Barcelona, Spain) and xylazine (10 mg/kg, Bayer A.G., Leverkusen, Germany). Blood from the heart, SMG, MLNs, and small intestine were collected in anesthetized animals. After sample collection, the animal death was confirmed by the permanent cessation of blood circulation. To collect GW, the duodenum was removed, and then, the small intestine was folded in half and cut into two equally long segments. The distal part was used to obtain the GW as described66. Lymphocytes from MLNs were isolated immediately after collection as described before66. Homogenates from the SMG and a part of the MLNs were obtained to measure IgA concentration.
Intestinal permeability assay
The concentration of α1AT in the GW was quantified as a marker of intestinal permeability and intestinal inflammation41. The quantification was performed using the ELISA kit for rat α1AT (Cloud-CloneCorp., Houston, TX, USA) following the manufacturer’s instructions as previously described44. Results are expressed as ng of α1AT per gram of intestinal tissue used for GW obtention.
Phenotypic analysis of MLNs lymphocytes
MLNs lymphocytes were isolated and extracellularly stained as previously reported44. Briefly, fluorochrome-conjugated anti-rat mAb directed against TCRαβ, TCRγδ, CD45RA, CD161a, CD4, CD8β, CD25, CD62L (BD Biosciences) were used. Cells were incubated with saturating amounts of mAb in phosphate-buffered saline (PBS) containing 2% fetal bovine serum (FBS) and 0.1% sodium azide. Cells were fixed with 0.5% p-formaldehyde and stored (darkness, 4 °C) until analysis using a Gallios Cytometer (Beckman Coulter, Miami, USA) in the Flow Cytometry Unit of the Scientific and Technological Centers of the University of Barcelona (CCiT-UB) and Flowjo v10 software (Tree Star, Inc., Ashland, OR, USA), following the gating strategy schematically represented in Figure S1.
Proliferative ability of MLNs lymphocytes
MLNs lymphocytes (5 × 105 cells/well) were incubated in quadruplicate in 96-well plates (TPP, Sigma-Aldrich, Madrid, Spain) and stimulated with ConA (5 µg/mL, Sigma-Aldrich). Non-stimulated cells were also cultured in the same conditions. Supernatants were collected 48 h later and T cell proliferative ability was assessed using a BrdU Cell Proliferation Assay Kit (Roche, Madrid, Spain), according to the manufacturer’s instructions. The proliferation rate was calculated by dividing the absorbance of the stimulated cells by that of non-stimulated cells.
Cytokines and immunoglobulins released from MLNs lymphocytes
The concentration of IL-2, IL-4, IL-6, IL-10, IL-17, IFN-γ, and TNF-α in the supernatants from ConA-stimulated cells were quantified using ProcartaPlex™ Multiplex Immunoassay (Affymetrix, eBioscience, San Diego, USA), according to the manufacturer’s protocol. Data were acquired using MAGPIX Cytometer (Affymetrix) in the CCiT-UB and analyzed by ProcartaPlex Analyst v1.0 software (Affymetrix). The relative concentration of each cytokine was established by its mean fluorescence intensity (MFI).
The concentrations of IgM and IgG (IgG1, IgG2a, IgG2b and IgG2c) in MLNs supernatants were measured by ProcartaPlex™ Multiplex immunoassay (Affymetrix), according to the manufacturer’s protocol.
Mucosal IgA quantification
The concentration of IgA in the GW and the MLNs homogenates, and SMG homogenates was determined by a sandwich ELISA (Bethyl Laboratories Inc., Montgomery, USA) as previously described67. The concentration of IgA in the GW was referred to the weight of the intestinal tissue used to obtain the GW, whereas the results of the IgA in the homogenates were normalized by the total protein concentration in this sample, which was measured using the Pierce® 660 nm Protein Assay Reagent (Thermo Fisher Scientific), following the manufacturer’s instructions.
Statistical analysis
IBM Social Sciences Software Program (SPSS, version 26.0, Chicago, IL, USA) and Rstudio v2023.09.1 (Rstudio, Inc.) with R version 4.3.2. (R Core Team 2021, R Foundation for Statistical Computing, Vienna, Austria) were used to conduct the statistical analysis of the data, as previously performed40. The normality and homoscedasticity of the data were analyzed using the Shapiro–Wilk’s and Levene’s test, respectively. Thereafter, a two-way ANOVA test was applied and, when significant differences appeared, Tukey’s post hoc test was carried out. Otherwise, non-parametric aligned rank transform (ART) for non-parametric factorial ANOVA (ART-ANOVA) followed by emmeans post hoc (Tukey-adjusted p value) were used by applying the ARTool package (ARTool: Aligned Rank Transform for Nonparametric Factorial ANOVAs, version 0.11.0; https://cran.r-project.org/package=ARTool), and emmeans package (Estimated Marginal Means, version 1.10.2; https://cran.r-project.org/package=emmeans), respectively, for Rstudio (v2023.09.1). Significant differences were considered when p ≤ 0.05.
In the figures, the p values obtained in the two-way ANOVA or the ART-ANOVA for the variables diet (D), exercise (E) and the interaction between them (DxE) are detailed in the legend box. Changes due to the exercise condition or due to diet are indicated in the legend box. When the DxE interaction was significant, differences between groups are indicated with symbols or lines with p values above the corresponding bars.
We applied a repeated-measures ANOVA to analyze changes in the maximum speed run in the exhaustion tests throughout the study. Changes due to time are indicated with symbols above the corresponding bars.
Data availability
The datasets used and/or analysed during the current study available from the corresponding author on reasonable request.
Abbreviations
- α1AT:
-
α-1-Antitrypsin
- C10:
-
Diet containing 10% cocoa
- CCiT-UB:
-
Scientific and Technological Centers of the University of Barcelona
- CH:
-
Diet containing 10% cocoa and 0.05% hesperidin
- ConA:
-
Concanavalin A
- D:
-
Diet
- E:
-
Exercise
- ET:
-
Exhaustion test
- FBS:
-
Fetal bovine serum
- GALT:
-
Gut-associated lymphoid tissue
- GW:
-
Gut wash
- MFI:
-
Mean fluorescence intensity
- MLNs:
-
Mesenteric lymph nodes
- NS:
-
No statistically significant
- REF:
-
Reference diet
- RUN group:
-
Runner animals
- SED group:
-
Sedentary animals
- SMG:
-
Submaxillary salivary glands
- T group:
-
Trained group
- Tc:
-
T cytotoxic cells
- TE group:
-
Trained group after the final exhaustion test
- Th:
-
T helper cells
- TNF-α:
-
Tumor necrosis factor α
References
Perez-Vizcaino, F. & Fraga, C. G. Research trends in flavonoids and health. Arch. Biochem. Biophys. 646, 107–112 (2018).
Wollgast, J. & Anklam, E. Polyphenols in chocolate: Is there a contribution to human health?. Food Res. Int. 33, 449–459 (2000).
Garg, A., Garg, S., Zaneveld, L. J. & Singla, A. K. Chemistry and pharmacology of the citrus bioflavonoid hesperidin. Phytother. Res. PTR 15, 655–669 (2001).
Borchers, A. T., Keen, C. L., Hannum, S. M. & Gershwin, M. E. Cocoa and chocolate: Composition, bioavailability, and health implications. J. Med. Food 3, 77–105 (2000).
Martin, M. Á. & Ramos, S. Impact of cocoa flavanols on human health. Food Chem. Toxicol. Int. J. Publ. Br. Ind. Biol. Res. Assoc. 151, 112121 (2021).
Tan, T. Y. C., Lim, X. Y., Yeo, J. H. H., Lee, S. W. H. & Lai, N. M. The health effects of chocolate and cocoa: A systematic review. Nutrients 13, 2909 (2021).
Ellinger, S. & Stehle, P. Impact of cocoa consumption on inflammation processes–A critical review of randomized controlled trials. Nutrients 8, 321 (2016).
Goya, L. et al. Effect of cocoa and its flavonoids on biomarkers of inflammation: Studies of cell culture, animals and humans. Nutrients 8, 212 (2016).
Camps-Bossacoma, M. et al. Cocoa diet and antibody immune response in preclinical studies. Front. Nutr. 4, 28 (2017).
Pérez-Cano, F. J., Massot-Cladera, M., Franch, A., Castellote, C. & Castell, M. The effects of cocoa on the immune system. Front. Pharmacol. 4, 71 (2013).
Li, C. & Schluesener, H. Health-promoting effects of the citrus flavanone hesperidin. Crit. Rev. Food Sci. Nutr. 57, 613–631 (2017).
Miles, E. A. & Calder, P. C. Effects of citrus fruit juices and their bioactive components on inflammation and immunity: A narrative review. Front. Immunol. 12, 712608 (2021).
Camps-Bossacoma, M., Franch, À., Pérez-Cano, F. J. & Castell, M. Influence of hesperidin on the systemic and intestinal rat immune response. Nutrients 9, 580 (2017).
Estruel-Amades, S. et al. Hesperidin effects on gut microbiota and gut-associated-lymphoid tissue in healthy rats. Nutrients 11, 324 (2019).
Kim, S.-H., Kim, B.-K. & Lee, Y.-C. Antiasthmatic effects of hesperidin, a potential Th2 cytokine antagonist, in a mouse model of allergic asthma. Mediat. Inflamm. 2011, 485402 (2011).
Salama, A., Gouida, M. S. O., Yassen, N. N. & Sedik, A. A. Immunoregulatory role of hesperidin against ovalbumin (OVA)-induced bronchial asthma and depression in rats. Naunyn. Schmiedebergs Arch. Pharmacol. 397, 3363–3378 (2024).
Kilic, K. et al. The amendatory effect of hesperidin and thymol in allergic rhinitis: an ovalbumin-induced rat model. Eur. Arch. Otorhinolaryngol. 276, 407–415 (2019).
Berköz, M. et al. Protective effect of myricetin, apigenin, and hesperidin pretreatments on cyclophosphamide-induced immunosuppression. Immunopharmacol. Immunotoxicol. 43, 353–369 (2021).
Fan, W. & Evans, R. M. Exercise mimetics: Impact on health and performance. Cell Metab. 25, 242–247 (2017).
Simpson, R. J., Kunz, H., Agha, N. & Graff, R. Exercise and the regulation of immune functions. Prog. Mol. Biol. Transl. Sci. 135, 355–380 (2015).
Pedersen, B. K. & Hoffman-Goetz, L. Exercise and the immune system: Regulation, integration, and adaptation. Physiol. Rev. 80, 1055–1081 (2000).
Alack, K., Pilat, C. & Krüger, K. Current knowledge and new challenges in exercise immunology. Dtsch. Z. Für Sportmed. 70, 250–260 (2019).
Sponsiello, N., Salamone, M., Nardo, V. D., Busa, F. & Andreani, N. Excercise and gastrointestinal complaints, an overview. Prog. Nutr. 23, e2021206–e2021206 (2021).
de Oliveira, E. P. & Burini, R. C. Food-dependent, exercise-induced gastrointestinal distress. J. Int. Soc. Sports Nutr. 8, 12 (2011).
Ruiz-Iglesias, P., Gorgori-González, A., Massot-Cladera, M., Castell, M. & Pérez-Cano, F. J. Does flavonoid consumption improve exercise performance? Is it related to changes in the immune system and inflammatory biomarkers? A systematic review of clinical studies since 2005. Nutrients 13, 1132 (2021).
Wang, Y., Tian, Z., Li, Z. & Kim, J. C. Effects of flavonoid supplementation on athletic performance in healthy adults: A systematic review and meta-analysis. Nutrients 15, 4547 (2023).
Decroix, L., Soares, D. D., Meeusen, R., Heyman, E. & Tonoli, C. Cocoa flavanol supplementation and exercise: A systematic review. Sports Med. Auckl. NZ 48, 867–892 (2018).
Corr, L. D. et al. The effects of cocoa flavanols on indices of muscle recovery and exercise performance: A narrative review. BMC Sports Sci. Med. Rehabil. 13, 90 (2021).
Fraga, C. G. et al. Regular consumption of a flavanol-rich chocolate can improve oxidant stress in young soccer players. Clin. Dev. Immunol. 12, 11–17 (2005).
Volpe-Fix, A. R., de França, E., Silvestre, J. C. & Thomatieli-Santos, R. V. The use of some polyphenols in the modulation of muscle damage and inflammation induced by physical exercise: A review. Foods Basel Switz. 12, 916 (2023).
Peschek, K., Pritchett, R., Bergman, E. & Pritchett, K. The effects of acute post exercise consumption of two cocoa-based beverages with varying flavanol content on indices of muscle recovery following downhill treadmill running. Nutrients 6, 50–62 (2013).
Nogueira, L. et al. (–)-Epicatechin enhances fatigue resistance and oxidative capacity in mouse muscle. J. Physiol. 589, 4615–4631 (2011).
Hüttemann, M., Lee, I. & Malek, M. H. (–)-Epicatechin maintains endurance training adaptation in mice after 14 days of detraining. FASEB. J. Off. Publ. Fed. Am. Soc. Exp. Biol. 26, 1413–1422 (2012).
Ruiz-Iglesias, P. et al. Protective effect of a cocoa-enriched diet on oxidative stress induced by Intensive acute exercise in rats. Antioxid. Basel Switz. 11, 753 (2022).
Ruiz-Iglesias, P. et al. A cocoa diet can partially attenuate the alterations in microbiota and mucosal immunity induced by a single session of intensive exercise in rats. Front. Nutr. 9, 861533 (2022).
Imperatrice, M., Cuijpers, I., Troost, F. J. & Sthijns, M. M. J. P. E. Hesperidin functions as an ergogenic aid by increasing endothelial function and decreasing exercise-induced oxidative stress and inflammation, thereby contributing to improved exercise performance. Nutrients 14, 2955 (2022).
Estruel-Amades, S. et al. Protective effect of hesperidin on the oxidative stress induced by an exhausting exercise in intensively trained rats. Nutrients 11, 783 (2019).
de Oliveira, D. M., Dourado, G. K. Z. S. & Cesar, T. B. Hesperidin associated with continuous and interval swimming improved biochemical and oxidative biomarkers in rats. J. Int. Soc. Sports Nutr. 10, 27 (2013).
Nagayama, S. et al. Improvement of low-intensity long-time running performance in rats by intake of glucosyl hesperidin. Physiol. Rep. 11, e15413 (2023).
Ruiz-Iglesias, P., Massot-Cladera, M., Pérez-Cano, F. J. & Castell, M. Influence of diets enriched with flavonoids (cocoa and hesperidin) on the systemic immunity of intensively trained and exhausted rats. Biomolecules 12, 1893 (2022).
Schoultz, I. & Keita, Å. V. The intestinal barrier and current techniques for the assessment of gut permeability. Cells 9, 1909 (2020).
Ángel García-Merino, J. et al. Chronic flavanol-rich cocoa powder supplementation reduces body fat mass in endurance athletes by modifying the follistatin/myostatin ratio and leptin levels. Food Funct. 11, 3441–3450 (2020).
Shaw, K., Singh, J., Sirant, L., Neary, J. P. & Chilibeck, P. D. Effect of dark chocolate supplementation on tissue oxygenation, metabolism, and performance in trained cyclists at altitude. Int. J. Sport Nutr. Exerc. Metab. 30, 420–426 (2020).
Ruiz-Iglesias, P. et al. Alterations in the mucosal immune system by a chronic exhausting exercise in Wistar rats. Sci. Rep. 10, 17950 (2020).
Becker, K. J. Strain-related differences in the immune response: relevance to human stroke. Transl. Stroke Res. 7, 303–312 (2016).
Szczepek, A. J. et al. Differences in stress-induced modulation of the auditory system between Wistar and Lewis rats. Front. Neurosci. 12, 828 (2018).
Oitzl, M. S., Van Haarst, A. D., Sutanto, W. & Ron De Kloet, E. Corticosterone, brain mineralocorticoid receptors (MRS) and the activity of the hypothalamic-pituitary-adrenal (hpa) axis: The Lewis rat as an example of increased central MR capacity and a hyporesponsive HPA axis. Psychoneuroendocrinology 20, 655–675 (1995).
Giffin, K. A., Lovelock, D. F. & Besheer, J. Toll-like receptor 3 neuroimmune signaling and behavior change: A strain comparison between Lewis and Wistar rats. Behav. Brain Res. 438, 114200 (2023).
Zimmer, P. et al. Exercise induced alterations in NK-cell cytotoxicity–Methodological issues and future perspectives. Exerc. Immunol. Rev. 23, 66–81 (2017).
Krüger, K. & Mooren, F. C. T cell homing and exercise. Exerc. Immunol. Rev. 13, 37–54 (2007).
Dimitrov, S., Lange, T. & Born, J. Selective mobilization of cytotoxic leukocytes by epinephrine. J. Immunol. Baltim. Md 1950(184), 503–511 (2010).
Godínez-Victoria, M. et al. Effects on secretory IgA levels in small intestine of mice that underwent moderate exercise training followed by a bout of strenuous swimming exercise. Brain. Behav. Immun. 26, 1300–1309 (2012).
Massot-Cladera, M., Pérez-Berezo, T., Franch, A., Castell, M. & Pérez-Cano, F. J. Cocoa modulatory effect on rat faecal microbiota and colonic crosstalk. Arch. Biochem. Biophys. 527, 105–112 (2012).
Périz, M. et al. Influence of consumption of two Peruvian cocoa populations on mucosal and systemic immune response in an allergic asthma rat model. Nutrients 14, 410 (2022).
Massot-Cladera, M., Franch, À., Pérez-Cano, F. J. & Castell, M. Cocoa and cocoa fibre differentially modulate IgA and IgM production at mucosal sites. Br. J. Nutr. 115, 1539–1546 (2016).
Kung, S. et al. No effect of a dairy-based, high flavonoid pre-workout beverage on exercise-induced intestinal injury, permeability, and inflammation in recreational cyclists: A randomized controlled crossover trial. PLoS ONE 17, e0277453 (2022).
Nocella, C. et al. Dark chocolate intake positively modulates gut permeability in elite football athletes: A randomized controlled study. Nutrients 15, 4203 (2023).
Maquera-Huacho, P. M., Spolidorio, D. P., Manthey, J. & Grenier, D. Effect of hesperidin on barrier function and reactive oxygen species production in an oral epithelial cell model, and on secretion of macrophage-derived inflammatory mediators during porphyromonas gingivalis infection. Int. J. Mol. Sci. 24, 10389 (2023).
Stevens, Y. et al. The effects of citrus flavonoids and their metabolites on immune-mediated intestinal barrier disruption using an in vitro co-culture model. Br. J. Nutr. 128, 1917–1926 (2022).
Camps-Bossacoma, M. et al. Cocoa diet prevents antibody synthesis and modifies lymph node composition and functionality in a rat oral sensitization model. Nutrients 8, 242 (2016).
Li, G.-Q. et al. The intestinal γδ T cells: Functions in the gut and in the distant organs. Front. Immunol. 14, 1206299 (2023).
Ramiro-Puig, E. et al. Spleen lymphocyte function modulated by a cocoa-enriched diet. Clin. Exp. Immunol. 149, 535–542 (2007).
He, L. et al. The influence of the gut microbiota on B cells in autoimmune diseases. Mol. Med. 31, 149 (2025).
Rossouw, C., Ryan, F. J. & Lynn, D. J. The role of the gut microbiota in regulating responses to vaccination: Current knowledge and future directions. FEBS J. 292, 1480–1499 (2025).
Radke, L., López Hemmerling, D. A., Lubitz, A., Giese, C. & Frohme, M. Induced cytokine response of human PMBC-cultures: Correlation of gene expression and secretion profiling and the effect of cryopreservation. Cell. Immunol. 272, 144–153 (2012).
Ruiz-Iglesias, P. et al. Rat mucosal immunity following an intensive chronic training and an exhausting exercise: Effect of hesperidin supplementation. Nutrients 15, 133 (2022).
Massot-Cladera, M., Franch, A., Castellote, C., Castell, M. & Pérez-Cano, F. J. Cocoa flavonoid-enriched diet modulates systemic and intestinal immunoglobulin synthesis in adult Lewis rats. Nutrients 5, 3272–3286 (2013).
Acknowledgements
This research was funded by the Spanish Ministry of Science and Innovation and AEI/FEDER, UE (AGL2016-76972-R); and the INSA Maria de Maeztu Unit of Excellence grant (CEX2021-001234-M) funded by MICIN/AEI/FEDER, UE. P.R.-I. holds a grant from the Spanish Ministry of Education, Culture and Sport (FPU18-00807).
Author information
Authors and Affiliations
Contributions
P.R.-I: Investigation, data acquisition, formal analysis. F.J.P.-C.: Conceptualization, methodology, supervision, writing review. M.J.R.-L: Investigation, methodology, writing review. M.C: Funding acquisition, supervision, writing–review & editing. M.M.-C: Investigation, formal analysis, project administration, writing–original draft.
Corresponding author
Ethics declarations
Competing interests
The authors declare no competing interests.
Additional information
Publisher’s note
Springer Nature remains neutral with regard to jurisdictional claims in published maps and institutional affiliations.
Supplementary Information
Below is the link to the electronic supplementary material.
Rights and permissions
Open Access This article is licensed under a Creative Commons Attribution-NonCommercial-NoDerivatives 4.0 International License, which permits any non-commercial use, sharing, distribution and reproduction in any medium or format, as long as you give appropriate credit to the original author(s) and the source, provide a link to the Creative Commons licence, and indicate if you modified the licensed material. You do not have permission under this licence to share adapted material derived from this article or parts of it. The images or other third party material in this article are included in the article’s Creative Commons licence, unless indicated otherwise in a credit line to the material. If material is not included in the article’s Creative Commons licence and your intended use is not permitted by statutory regulation or exceeds the permitted use, you will need to obtain permission directly from the copyright holder. To view a copy of this licence, visit http://creativecommons.org/licenses/by-nc-nd/4.0/.
About this article
Cite this article
Ruiz-Iglesias, P., Pérez-Cano, F.J., Rodríguez-Lagunas, M.J. et al. Changes in the mucosal immunity induced by diets enriched with cocoa and hesperidin in intensively trained and exhausted rats. Sci Rep 15, 36771 (2025). https://doi.org/10.1038/s41598-025-20742-y
Received:
Accepted:
Published:
Version of record:
DOI: https://doi.org/10.1038/s41598-025-20742-y









