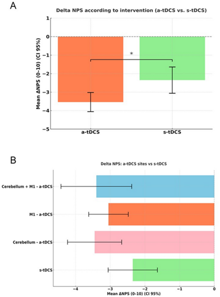
Fig. 2

(A) ΔNPS (0–10) values by intervention group. Bars represent the mean change in pain intensity from baseline, with 95% confidence intervals. Both groups exhibited significant pain reduction, with the a-tDCS (active stimulation) group showing a greater reduction compared to the M1 + CB-S-tDCS (sham stimulation) group (p < 0.05), as indicated by the asterisk. (B) ΔNPS values by stimulation site. Bars represent the mean change in NPS from baseline, with 95% confidence intervals.