Abstract
This double-blind, sham-controlled randomized clinical trial investigated whether a single session of anodal-(a) transcranial direct current stimulation (tDCS), applied over the primary motor cortex (M1), cerebellum (CB), or both, would reduce pain and increase corticospinal excitability more effectively than sham stimulation (s-tDCS). Ninety-two women with fibromyalgia were randomized to a single session of anodal-(a)-tDCS or sham-(s)-tDCS. Primary outcomes were pain intensity, assessed with the Numerical Pain Scale (NPS), and corticospinal excitability, measured by motor evoked potentials (MEP). Compared to sham, a-tDCS significantly reduced NPS scores (Wald χ2 = 7.02, df = 1, p < 0.01; d = 0.55, 95% CI 0.08–0.92) and increased MEP amplitude (Wald χ2 = 8.37, df = 1, p < 0.01; d = 0.48, 95% CI 0.07–0.89). Post-hoc and interaction analyses indicated that these effects were primarily attributable to M1 stimulation, rather than cerebellar or combined protocols. Anodal tDCS also reduced multidimensional pain interference, as measured by the Brief Pain Inventory (BPI), and reduced the cortical silent period (CSP) in a BDNF-dependent manner. These findings provide mechanistic insights rather than clinical efficacy, showing that a single M1 a-tDCS session—compared to sham, cerebellar, or combined protocols—more effectively reduced pain intensity and interference and modulated cortical excitability in a BDNF-dependent manner.
Trial registration: ClinicalTrials.gov. NCT05963321. URL https://clinicaltrials.gov/study/NCT05963321 (Date of registration 27/07/2023).
Introduction
Fibromyalgia, with an estimated global prevalence of approximately 2.7% and a female-to-male ratio of 3:1, represents a significant healthcare challenge1. It is characterized by widespread chronic musculoskeletal pain, frequently accompanied by fatigue, sleep disturbances, and cognitive impairment2. Although pharmacological options such as duloxetine — a selective serotonin and norepinephrine reuptake inhibitor—are approved for the treatment of fibromyalgia, more than 70% of patients discontinue use due to limited therapeutic efficacy or adverse side effects3. At the same time, the frequent and inappropriate use of opioids persists despite clinical guidelines advising against it, which worsens the clinical picture and exposes patients to risks such as hyperalgesia, dependence, and increased morbidity and mortality4. In this context, there is growing interest in evidence-based non-pharmacological therapies, among which transcranial direct current stimulation (tDCS) has emerged as a promising approach5,6,7. The tDCS delivers low-intensity electrical currents to modulate cortical excitability and neuroplasticity, thereby influencing sensory processing and nociceptive thresholds8.
The effects of tDCS on pain perception and cognitive function have also been linked to baseline brain plasticity, which can be indirectly assessed by serum levels of brain-derived neurotrophic factor (BDNF)9,10. In fibromyalgia, circulating BDNF levels are elevated compared to healthy controls. Since 70–80% of peripheral BDNF originates in the CNS and crosses the blood–brain barrier11,12,13, BDNF has been proposed as a biomarker of altered neuroplasticity and associated with clinical response to tDCS in pain conditions14,15. However, findings remain heterogeneous, and the extent to which peripheral BDNF reflects central mechanisms is still debated.
Among the most targeted brain regions in tDCS protocols for fibromyalgia are the primary motor cortex (M1) and the dorsolateral prefrontal cortex (DLPFC)6. In this condition, evidence from systematic reviews and meta-analyses supports the efficacy of tDCS in modulating pain intensity and reducing pain-related disability5,6,7,10,15. The cerebellum has emerged as a potential target for pain modulation due to its role in sensory-motor integration and regulation of responses to noxious stimuli. In healthy individuals, ctDCS has been shown to increase pain thresholds16, and Bocci et al. reported reductions in pain and improvements in sensory symptoms in patients with phantom limb pain17. These findings suggest that cerebellar stimulation may influence pain perception through descending projections that modulate brainstem nuclei and thalamic structures involved in nociceptive processing18. The proposed mechanism involves the convergence of nociceptive signals on Purkinje cells in the cerebellar cortex, which, when modulated by tDCS, may alter pain transmission via cerebello–thalamo–cortical pathways19. Taken together, these anatomical and functional connections reinforce the cerebellum’s potential as a neuromodulatory target in chronic pain syndromes.
Multisite tDCS protocols have been proposed to enhance clinical outcomes in chronic pain by simultaneously targeting distinct cortical regions. In fibromyalgia, systematic reviews and meta-analyses consistently demonstrate significant benefits of tDCS applied over M1 and DLPFC, with some evidence suggesting greater effects for M1 stimulation5,6,7,15,20. Despite these findings, a therapeutic gap persists. The heterogeneous symptom profile of fibromyalgia indicates that additional strategies—capable of modulating multiple neural circuits concurrently—may be required to optimize outcomes. Within this framework, extending multisite approaches to include the cerebellum, given its established role in pain modulation and cortical excitability, represents a promising avenue to augment and sustain the effects of tDCS. To date, however, no randomized controlled trials have tested this combination in fibromyalgia, highlighting its relevance as an unexplored therapeutic strategy.
A key point in this context is that motor evoked potentials (MEPs) have been linked to tDCS-induced modulation of pain pathways and are considered neurophysiological markers of treatment response21. However, MEPs primarily reflect corticospinal integrity and excitability, thus capturing only one dimension of cortical activity. Complementary measures such as short-interval intracortical inhibition (SICI) and cortical silent period (CSP) probe inhibitory and facilitatory circuits within the motor cortex, which are critically involved in pain modulation22,23. Evaluating MEPs alongside SICI and CSP can therefore provide a more comprehensive mechanistic understanding of how neuromodulatory interventions translate into clinical analgesia.
This study aimed to investigate the mechanistic effects of site-specific anodal tDCS (a-tDCS) on corticospinal excitability and pain perception in fibromyalgia, in which participants received a single session of a-tDCS over the right cerebellum (CB), M1, or both, compared to sham (s-tDCS). Primary outcomes were pain intensity, assessed by the Numerical Pain Scale (NPS), and corticospinal excitability, measured by MEPs. Secondary outcomes included pain interference and pain severity, assessed by the Brief Pain Inventory (BPI) over a two-week follow-up, and intracortical inhibition, measured via SICI and CSP. We further examined whether baseline neuroplasticity, indexed by serum BDNF, predicted analgesic response and whether stimulation site modulated intracortical inhibitory mechanisms. We hypothesized that anodal tDCS, particularly when applied simultaneously over M1 and the cerebellum would lead to greater pain reduction and enhanced modulation of corticospinal excitability compared to sham.
Results
Demographic and clinical characteristics of the subjects
Of the 111 patients screened, 19 did not meet the inclusion criteria. Of the 92 participants randomized, one was excluded before statistical analysis due to a device programming error. Therefore, data from 91 participants were considered in the final dataset. One participant was lost to follow-up but contributed complete data for the primary outcome and was included in that endpoint analysis only. Groups were well-balanced after randomization (Fig. 1). Sample characteristics are shown in Table 1.
CONSORT participant flow.
Primary outcomes
Effects of tDCS by intervention group and site-specific stimulation on NPS
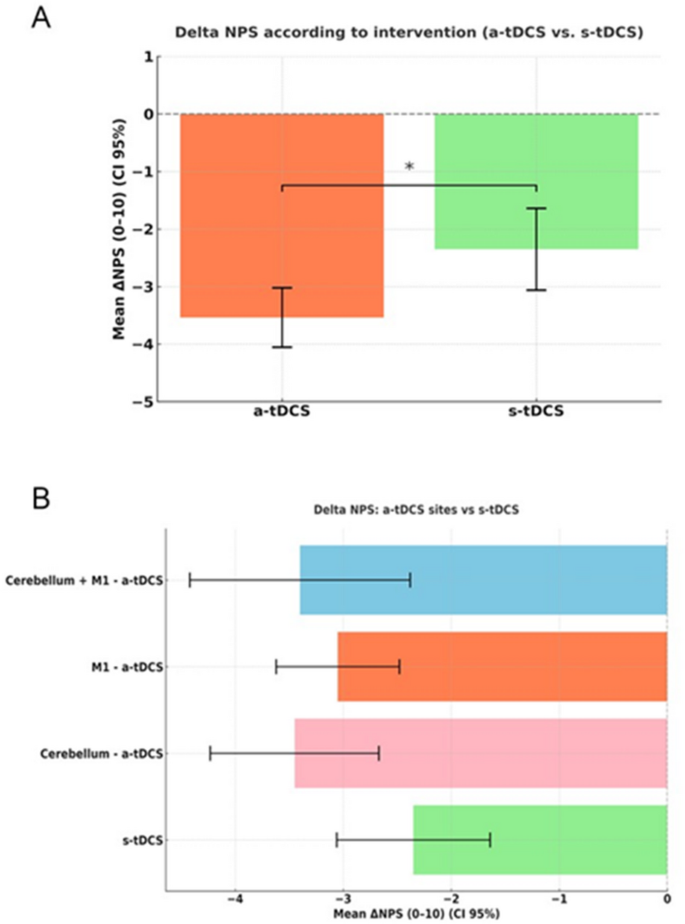
A Generalized Linear Model (GLM) revealed that a-tDCS vs. s-tDCS reduced the NPS scores (Wald χ2 = 7.02, Df = 1, P < 0.01). The delta (Δ) value is presented in Fig. 2 (Panel A). The magnitude of effect size (ES) was moderate (d = 0.5, 95% CI 0.08–0.92). We found no significant difference in delta values (Δ-NPS, 0–10) among stimulation sites (Wald χ2 = 0.40, Df = 2, P < 0.82). These results are shown in Fig. 2 (Panel B).
(A) ΔNPS (0–10) values by intervention group. Bars represent the mean change in pain intensity from baseline, with 95% confidence intervals. Both groups exhibited significant pain reduction, with the a-tDCS (active stimulation) group showing a greater reduction compared to the M1 + CB-S-tDCS (sham stimulation) group (p < 0.05), as indicated by the asterisk. (B) ΔNPS values by stimulation site. Bars represent the mean change in NPS from baseline, with 95% confidence intervals.
A GLM revealed that a-tDCS vs. s-tDCS reduced the pain intensity on NPS (0–10) during the cold pressure test (CPT) (Wald χ2 = 3.91, df = 1, p = 0.04). The magnitude of ES was moderate (d = 0.43, 95% CI 0.16 to 0.83). These results are presented in Fig. 3 (Panel A). In addition, it revealed a significant interaction between stimulation site and intervention type (a-tDCS vs. s-tDCS) on ΔNPS during CPT (Wald χ2 = 6.87, df = 2, p = 0.03).
The bars represent estimated means derived from simulated data reflecting the observed group means and 95% confidence intervals from the original dataset. A General Linear Model (GLM) was used to compare differences across groups. (A) ΔNPS (0–10) values during the CPT, comparing a-tDCS and M1 + CB-S-tDCS interventions. An asterisk (*) above the a-tDCS M1 bar indicates a statistically significant difference compared to the M1 + CB-S-tDCS group (p < 0.05). No other pairwise comparisons reached statistical significance. (B) ΔNPS values by stimulation site. Bars represent the mean change from baseline with 95% confidence intervals.
The analysis compared a-tDCS vs. s-tDCS with site-specific (M1, cerebellum, and combined M1 + cerebellum), revealing a significant main effect on NPS (0–10) specifically over M1 (Wald χ2 = 6.95, df = 2, p = 0.03). These results are shown in Fig. 3 (Panel B).
Effects of tDCS by intervention group and site-specific stimulation on MEP
A GLM revealed that a-tDCS, compared to s-tDCS, significantly increased MEP amplitude (Wald χ2 = 8.37, df = 1, p < 0.01), with a moderate effect size of (d = 0.48, 95% CI 0.07–0.89). These results are presented in Fig. 4 (Panel A). Furthermore, a-tDCS versus s-tDCS produced a significantly larger increase in M1 excitability (Wald χ2 = 6.76, df = 2, p = 0.03).
(A) ΔMEP according to intervention (a-tDCS vs. M1 + CB-S-tDCS). Bars represent the mean change in MEP from baseline, with 95% confidence intervals. The a-tDCS group (active transcranial direct current stimulation) showed a statistically significant increase in MEP (p < 0.05), as indicated by the asterisk. (B) ΔMEP according to stimulation site and intervention group. Bars represent the mean change in MEP from baseline, with 95% confidence intervals. The a-tDCS group (active stimulation) is shown in orange, and the M1 + CB-S-tDCS group (sham stimulation) in green. A significant increase in MEP was observed only in the a-tDCS group targeting M1 (p < 0.05), as indicated by the asterisk.
The analysis compared a-tDCS vs. s-tDCS with site-specific (M1, cerebellum, and combined M1 + cerebellum) revealed a significant main effect on ΔMEP specifically over M1 (Wald χ2 = 9.56, df = 3, p = 0.02). These results are shown in Fig. 4 (Panel B).
Secondary outcomes
Effects of tDCS by intervention group and site-specific stimulation on the multidimensional pain interference index
A linear regression model was used to adjust the serum BDNF index. Higher age was associated with lower BDNF levels (β = -0.61, 95% CI: -0.89 to -0.32, p < 0.01), while a greater number of antidepressants was associated with higher BDNF levels (β = 5.51, 95% CI: -0.27 to 10.77, p = 0.03).
A linear mixed model (LMM) analysis showed a significant reduction in pain interference (MPII) for a-tDCS compared to s-tDCS across treatment and follow-up, with a main effect of time but no treatment-by-time interaction (Table 2). Over two weeks of follow-up, the stimulation effect corresponded to a small effect size (d = 0.30). A total of 21.7% of participants receiving a-tDCS achieved ≥ 30% reduction on MPII, compared with 8.7% in the s-tDCS group, resulting in an absolute risk reduction of 13% and a number needed to stimulate (NNT-S) of 7.7 (95% CI: 3.6 – ∞). In the continuous analysis, the difference between groups reached statistical significance; however, when responder rates were analyzed as a dichotomous variable (≥ 30% reduction on MPII), no significant difference was observed between groups. Despite the lack of a clinically meaningful difference, exploratory interaction analysis revealed that higher adjusted BDNF levels were associated with greater effects of a-tDCS.
In contrast, no significant difference was observed between groups in the mean pain intensity over the last 24 h (BPI severity index) across treatment and follow-up. There was no main effect of time or treatment-by-time interaction. Additionally, BDNF levels were not associated with the analgesic effect of a-tDCS on this outcome.
Effects of tDCS by intervention group and site-specific stimulation on the intra-cortical Inhibition
Table 3 presents the effects of the intervention on measures of cortical inhibition. The a-tDCS significantly reduced the CSP compared to sham stimulation. Higher baseline BDNF levels were associated with longer CSP. In addition, the a-tDCS effect was larger when the BDNF index was higher, indicating that the modulation of intracortical inhibition was neuroplasticity state-dependent.
There was no significant effect of active stimulation on SICI, nor any association with the adjusted BDNF index. No significant interaction was observed between intervention and BDNF. Stimulation of M1, either alone or combined with cerebellar stimulation, resulted in greater modulation of SICI compared to cerebellar stimulation alone.
Assessment of adverse events
The most common effects reported across all groups were itching (n = 44), burning (n = 43), tingling (n = 38), and redness (n = 30). Although most participants reported these side effects as mild, a few individuals in the group receiving a-tDCS over the CB reported some symptoms as severe, including tingling (n = 1), itching (n = 2), and drowsiness (n = 1). Group differences in the frequency and severity of adverse effects were analyzed using chi-square tests, and no statistically significant differences in adverse effects were observed between groups (Table 4). Importantly, no serious adverse events were reported, and all side effects were transient and self-limiting.
Discussion
This study demonstrated that a single session of a-tDCS over the left M1, compared with sham, produced immediate effects on pain intensity and tolerance, as well as a modest but sustained reduction in pain interference (MPII) lasting up to two weeks. These effects, together with increased corticospinal excitability measured by MEP, were specific to M1 stimulation, and higher baseline BDNF index levels were associated with greater reductions in CSP and MPII. Although our initial hypothesis of synergistic effects from combined M1–CB stimulation was not confirmed, the findings provide mechanistic insights into how site-specific protocols may differentially influence pain modulation and cortical excitability. The novelty of this study lies in being the first clinical trial to directly compare cerebellar, M1, and combined stimulation in fibromyalgia, highlighting that dual-site approaches do not necessarily enhance efficacy and may, depending on the circuits engaged, attenuate or even oppose the expected effects. Differences from previous studies, which showed cerebellar modulation of nociceptive processing and corticospinal excitability in healthy participants16 and patients with phantom limb pain17, may be explained by methodological and population-specific factors.
A single session of a-tDCS over the left M1 produced an immediate reduction in pain intensity (NPS 0–10) and during the CPT, compared with sham stimulation. This effect was likely transient, consistent with evidence that sustained benefits of electrical stimulation require repeated sessions24. In contrast, when tDCS was applied simultaneously over the left M1 and cerebellum, no such effect was observed, suggesting that cerebellar modulation may attenuate the excitatory drive of M1. This supports the hypothesis that excitatory input from M1 enhances cortical excitability and descending inhibition, which may be competitively reduced by concurrent cerebellar stimulation. In addition, M1 stimulation produced a modest but longer-lasting reduction in pain interference (MPII) with a small effect size (ES = 0.3). Although statistically significant, this change did not reach the minimum clinically important difference recommended by the Methods, Measurement, and Pain Assessment in Clinical Trials (IMMPACT) initiative25. Nonetheless, the MPII improvement highlights the added value of multidimensional outcomes for capturing the broader impact of pain, suggesting that M1 stimulation may primarily modulate pain, and since the BPI interference index captures the impact of pain on other domains, secondary effects were also observed in functional and affective aspects such as activity, mood, and sleep24,26. It is important to emphasize that the MPII reduction was site-specific, observed only with M1 stimulation and not with cerebellar or combined protocols, indicating no synergistic effect. These findings align with previous evidence that a single tDCS session is insufficient to induce clinically meaningful benefits24, whereas repeated sessions have been shown to produce significant improvements in fibromyalgia, neuropathic pain, and burn-related pain27,28,29, a finding further supported by randomized trials and systematic reviews7,15,30.
In line with the effects of M1 stimulation on pain measures, anodal tDCS over the left M1—compared with sham—increased corticospinal excitability, as evidenced by greater MEP amplitudes. This finding reflects enhanced cortico-cortical excitability, consistent with reports in healthy individuals and in patients with fibromyalgia31,32, and may result from reversal of maladaptive plasticity and increased synaptic responsiveness induced by a-tDCS33. In contrast, simultaneous stimulation of M1 and the cerebellum attenuated this effect34. Although the magnitude of MEP changes was moderate, the consistent pattern suggests an antagonistic interaction between the two stimulation sites. Such antagonism may arise from the inhibitory influence of cerebellar tDCS on motor cortical excitability via cerebellum–thalamus–cortical pathways, in which Purkinje cell activity suppresses dentate nucleus output, thereby reducing thalamic and ultimately M1 excitatory drive35. Additionally, Summers et al. (2018) proposed that ctDCS applied concurrently with motor training may alter the receptive state of CB–M1 circuits and modify the recruitment of neuronal populations engaged by tDCS36.
Another relevant finding was the reduction in CSP duration following a-tDCS, accompanied by modulation of intracortical inhibition. These effects, observed with both M1 and combined M1–CB stimulation compared with sham, complement the changes in corticospinal excitability and highlight the dual action of a-tDCS on excitatory and inhibitory mechanisms. The CSP reduction may reflect decreased GABAergic tone within M137, as CSP duration is a recognized marker of GABAergic inhibitory activity38. This finding supports the hypothesis of an altered excitatory/inhibitory balance in fibromyalgia, potentially involving dysfunction of both glutamatergic and GABAergic systems39. Although cortical hyperexcitability is consistently described as a hallmark of chronic pain disorders40, increased inhibitory tone in fibromyalgia may represent a compensatory mechanism23. The functional significance of these changes remains uncertain, but prolonged CSP has been associated with impaired inhibitory motor control, such as delayed responses in stop-signal tasks41. Taken together, the observed neurophysiological adaptations represent transient markers of altered cortical excitability and inhibition, which may provide mechanistic insights but should be interpreted with caution when relating to clinical outcomes.
The BDNF index, used as a marker of neuroplasticity state, was positively associated with the effects of tDCS on both CSP reduction and improvement in pain interference (MPII), as shown in Tables 2 and 3. This suggests that BDNF levels may influence treatment responsiveness, but they cannot fully account for the observed effects. Variability in response may also be influenced by genetic factors, particularly the common Val66Met polymorphism (rs6265), which reduces activity-dependent BDNF secretion42,43. In fibromyalgia, this polymorphism has been linked to greater symptom severity and impaired pain inhibitory control44,45, and individuals with the Val66Val genotype appear more responsive to neuromodulatory interventions such as tDCS and repetitive transcranial magnetic stimulation, as reflected by larger changes in motor-evoked potentials46.
Evidence on BDNF modulation in fibromyalgia, however, remains mixed. Elevated serum BDNF levels have been associated with symptom severity and altered neurophysiological profiles39,47, yet some interventions demonstrated reduction. For instance, duloxetine decreased BDNF levels in fibromyalgia patients but not in individuals with nociceptive pain48, and anodal home-based tDCS over the left DLPFC targeting cognitive symptoms also lowered BDNF49. Collectively, these findings indicate that although BDNF is a promising biomarker of neuroplastic potential and treatment responsiveness, its role is complex and shaped by genetic background, comorbidities such as depression, and the type of intervention applied. Additional non-specific factors—such as expectations, motivation, clinician–patient interactions, and biological variability—may further modulate outcomes50,51. Further studies are needed to elucidate the mechanisms by which BDNF mediates neuromodulatory effects in chronic pain populations.
The results, while promising, should be interpreted with caution in light of several limitations. First, the inclusion of only female participants, intended to reduce sex-related variability in cortical excitability52, anatomy53, and descending pain modulation54, may limit generalizability. Second, although randomization balanced the groups, unmeasured confounding related to medication dose may still have influenced outcomes. Opioid and antidepressant use were recorded, but the combined effects of these drugs with neuromodulation can vary according to individual sensitivity and dosage, which were not fully controlled in this trial. Third, the modest sample size reduced power for secondary and interaction analyses, increasing the risk of type II errors. Fourth, with respect to adverse events, no serious effects were reported, and no statistically significant group differences were detected; however, the modest sample size and low event rate may have limited the power to identify meaningful differences. It is worth noting that some participants in the cerebellar stimulation group reported transient but severe symptoms (e.g., tingling, itching, drowsiness), which occurred more frequently than in the M1 group. Although self-limiting, this pattern suggests potential site-specific differences in sensory pathway modulation between cerebellar and M1 stimulation and underscores the need for further studies to better characterize the safety profile of ctDCS. Fifth, BDNF is a key mediator of nociceptive plasticity, influencing dorsal horn excitability55, descending facilitation56, and antinociception in the periaqueductal gray57,58,59. In fibromyalgia, motor cortex disinhibition and impaired descending control are central features, and the BDNF-adjusted index represents a relevant marker of neuroplasticity state. Interaction analyses showed that higher baseline BDNF index was associated with longer CSP and greater a-tDCS efficacy, reinforcing its potential as a mechanistic biomarker of treatment responsiveness. Sixth, in addition, TMS-derived measures (MEP, CSP) are indirect proxies of excitability and inhibition, reflecting the activity of complex neural circuits rather than direct cortical function. The absence of benefit with cerebellar stimulation suggests engagement of alternative, possibly non-canonical pathways that may dampen M1 excitatory effects, consistent with prior evidence of ctDCS exerting inhibitory modulation35.
Seventh, although blinding was not systematically assessed, it is unlikely to have influenced the results, since stimulation was delivered using pre-programmed devices set by biomedical engineers, and independent evaluators—blinded to allocation—conducted screening and baseline assessments. Collectively, these findings highlight the need for translational research to individualize neuromodulation protocols according to neurophysiological biomarkers and connectivity profiles, thereby advancing more precise, mechanism-driven interventions.
In conclusion, a single session of anodal tDCS over M1, but not over the cerebellum or combined M1–cerebellar stimulation, reduced pain intensity and interference and increased corticospinal excitability in fibromyalgia. These BDNF-dependent effects highlight neuroplasticity mechanisms, reinforce M1 as the primary target, and contribute to understanding the processes underlying tDCS action. They also pave the way to investigate whether multiple sessions of multisite stimulation can sustain these findings and confirm potential benefits in sensory system modulation.
Methods
Study design and eligibility
This randomized double-blind, sham-controlled, parallel-group trial was conducted at the Hospital de Clínicas de Porto Alegre (HCPA). All participant assessments and interventions were performed at the Centro de Pesquisa Clínica (CPC), the hospital’s Clinical Research Center, which is dedicated to conducting investigator-initiated and industry-sponsored clinical trials. The protocol was approved by the Research Ethics Committee of the Hospital de Clínicas de Porto Alegre (IRB HCPA, Approval No. 2022 − 0504) and registered at ClinicalTrials.gov (Identifier: NCT05963321; first posted 27 July 2023; first submitted 26 June 2023). All participants provided both oral and written informed consent before enrollment, in accordance with the Declaration of Helsinki. The trial protocol adheres to the CONSORT 2025 guidelines. De-identified data related to the intervention and outcomes are available upon reasonable request to the corresponding author (wcaumo@hcpa.edu.br). The study began in June 2023 and data collection was completed in November 2023. All outcome measures, including adverse event assessments, were completed immediately after the stimulation session. Figure 5 presents the study timeline, including participant enrollment, randomization, outcome assessments, and determination of the stimulation site. There was no patient or public involvement in the design, conduct, or reporting of this trial. No important changes were made to the trial methods, outcomes, or analyses after trial commencement.
Experimental protocol timeline. Baseline questionnaires included the 2016 ACR fibromyalgia criteria, the Pittsburgh Sleep Quality Index (PSQI), the Beck Depression Inventory-II (BDI-II), the Pain Catastrophizing Scale (B-PCS), the Brief Pain Inventory (BPI), the Central Sensitization Inventory (CSI), the Fibromyalgia Impact Questionnaire (FIQ), and the Functional Ability Scale in Chronic Pain. CB, cerebellum; M1, primary motor cortex; TMS, transcranial magnetic stimulation; NPS, Numerical Pain Scale; QST, quantitative sensory testing; CPM, conditioned pain modulation; PPT, pressure pain threshold; BPI, Brief Pain Inventory; BDNF, brain-derived neurotrophic factor.
Inclusion and exclusion criteria
We included right-handed adult female patients, aged 18 to 65 years, who were able to read and write. Recruitment was conducted through newspaper advertisements and from a database of individuals previously evaluated at the pain and neuromodulation laboratory. Patients were included in the study if they met the diagnostic criteria for fibromyalgia. According to the 2016 American College of Rheumatology (ACR) guidelines, a diagnosis of fibromyalgia is established when the following three conditions are met: (1) a Widespread Pain Index (WPI) score ≥ 7 and a Symptom Severity (SS) score ≥ 5, or a WPI score between 3 and 6 accompanied by an SS score ≥ 9; (2) symptoms have been present for at least three months; and (3) no other medical condition adequately explains the pain.
In addition, participants were required to report a minimum score of 4 on a 0–10 NPS on most days during the three months preceding enrollment. It was also a prerequisite that antidepressant and anticonvulsant medications remained unchanged throughout the study period.
Participants were excluded if they had contraindications to non-invasive brain stimulation60, or a positive medical history of conditions such as lupus, autoimmune disorders, rheumatoid arthritis, oncological or neurological diseases, or any uncompensated clinical condition (e.g., ischemic heart disease, renal or hepatic disease). Furthermore, individuals who had used illicit drugs within the previous six months were not eligible for inclusion.
Sample size justification
Sample size estimation was performed using G*Power 3.1, applying a GLM to compare two groups (a-tDCS vs. s-tDCS). A large effect size (Cohen’s f = 0.45) was assumed, considering data from exploratory studies suggesting meaningful changes in pain intensity and cortical excitability after a single session of tDCS61. Using a two-tailed α = 0.05 and statistical power of 0.80, the required sample size was calculated to be 82 participants (41 per group). To increase statistical robustness and account for potential dropouts and inter-individual variability, the sample size was increased by 10%, resulting in a final target of 92 participants. No interim analyses were conducted, and no stopping guidelines were pre-established for this trial.
Intervention
The intervention consisted of a single session of tDCS, during which the anode electrode was placed over the CB (right side, with the center of the sponge approximately 3 cm lateral to the inion) and the left M1 (C3), following the 10–20 system for EEG62. For dual-site stimulation, two tDCS devices were connected and activated simultaneously through a single front-panel button, ensuring concurrent initiation of stimulation. Even if a minor delay of a few seconds were to occur, such discrepancy would not be expected to influence the neuromodulatory effects, since the physiological impact of tDCS depends on sustained stimulation over several minutes rather than second-to-second synchronization. Four stimulation protocols were tested: (1) a-tDCS on both CB and M1; (2) s-tDCS-CB + a-tDCS-M1; (3) a-tDCS-CB + s-tDCS-M1; and (4) s-tDCS on both CB and M1 (Fig. 6).
tDCS montage targeting the primary motor cortex (M1) and the contralateral supraorbital area (SO) using tDCS device 1, and the cerebellum (CB) and contralateral SO using tDCS device 2.
In all configurations, the cathode was positioned on the contralateral supraorbital region (Fp1-Fp2). Stimulation was delivered using a tDCS device developed by the Biomedical Engineering department at HCPA (ANVISA registration No. 80079190028), with 32 cm2 (5 × 7 cm) electrodes coated in sponges soaked in 0.9% saline solution. In the active conditions, the current was characterized by a 30-second ramp-up in intensity from zero to 2 mA, followed by a 20-minute stimulation period. In the sham protocol, brief stimulation was applied at three time points—at the beginning, after 10 min, and after 20 min—each consisting of 2 mA for 30 s, with a 20-second ramp-up and ramp-down. This approach was used to mimic the initial sensation of active stimulation. No current was delivered during the remaining periods of the 20-minute session. All stimulation sessions were administered by trained research staff who were not involved in outcome assessments, and fidelity to the protocol was monitored in real-time to ensure consistency across sessions. Participants were instructed to maintain stable medication regimens during the study period.
Randomization
Ninety-two patients were allocated by simple randomization in a 1:1:1:1 ratio to one of four tDCS protocolos: (1) a-tDCS on both CB and M1; (2) s-tDCS-CB + a-tDCS-M1; (3) a-tDCS-CB + s-tDCS-M1; and (4) s-tDCS on both CB and M1. The randomized sequence was generated using appropriate software to prevent allocation prediction (https://www.sealedenvelope.com). The sequence was created by a researcher not involved in participant recruitment, intervention, or outcome assessment.
Allocation concealment was ensured using sequentially numbered, opaque, sealed envelopes. Each envelope was labeled with the participant’s randomization number on the outside and contained the assigned stimulation condition inside. A designated research staff member, who was not involved in outcome assessment, opened the envelopes in order and programmed the tDCS devices accordingly. Outcome assessors remained blinded to group allocation throughout the study.
Blinding
Throughout the study period, this was conducted as a double-blind trial: participants were blinded to their assigned intervention group and the research staff remained unaware of whether the stimulation was active (a-tDCS) or sham (s-tDCS). To maintain effective blinding, the evaluator responsible for administering the intervention received a pre-programmed tDCS device. Independent evaluators—who were not involved in the intervention sessions and had no contact with participants during the treatment phase—were responsible for participant screening and the administration of baseline questionnaires.
Instruments and assessments
Two trained researchers, blinded to group allocation, conducted baseline assessments using instruments validated for the Brazilian population. These assessments included clinical evaluations, standardized demographic data collection, and blood sampling for BDNF measurement. All cortical excitability assessments were performed by the same trained technician (DB) to ensure consistency.
Outcomes
Primary outcomes were changes from baseline to the end of the intervention in pain intensity, assessed using the NPS (0–10), and corticospinal excitability, measured by MEP elicited through TMS. Secondary outcomes included pain interference (MPII, BPI) and pain severity (BPI), evaluated from baseline through a two-week follow-up period.
Primary outcomes
-
a)
Numerical Pain Scale: Pain severity was assessed using the NPS, ranging from 0 (no pain) to 10 (maximum pain), measured at baseline and the end of the intervention. Additionally, pain intensity in response to the cold pressor test (CPT) was evaluated. For this procedure, participants immersed their non-dominant hand in ice water (0 ± 1 °C) for up to 120 s while continuously rating their maximal pain intensity using a 0–10 cm electronic NPS, where 0 indicated “no pain” and 10 indicated “worst pain imaginable.” If the participant maintained hand immersion for the full duration, a time of 120 s was recorded63.
Neuropsychological measures by transcranial magnetic stimulation parameters
Cortical excitability and corticospinal tract integrity were assessed using TMS. Surface electromyography (EMG) recordings were obtained from the right first dorsal interosseous (FDI) muscle using Ag/AgCl electrodes. A figure-eight coil connected to a Neurosoft-MS/D stimulator (2800 V, peak 133 magnetic field, up to 4 T; Neurosoft, Ivanovo, Russia) was positioned tangentially to the scalp and parallel to the sagittal plane over the left M1, targeting the hand motor area. The optimal stimulation site (“hotspot”) was determined by systematically shifting the coil in 0.5–1 cm increment around the expected M1 region (approximately 4 cm lateral and 1 cm anterior to the vertex) and delivering three pulses at each location to identify the point eliciting the maximal EMG response. This location was marked to ensure consistent stimulation across sessions.
To determine the resting motor threshold (RMT), single-pulse transcranial magnetic stimulation was applied over the identified motor hotspot. The RMT was defined as the lowest stimulation intensity capable of eliciting motor-evoked potentials (MEPs) with a peak-to-peak amplitude of ≥ 50 µV in at least 50% of 10 consecutive trials64. This threshold was used as the reference for all subsequent cortical excitability assessments. All evaluations were performed by the same trained researcher to ensure methodological consistency and minimize inter-rater variability.
-
b)
Motor Evoked Potential: Elicited by single-pulse TMS and recorded from target muscles to assess corticospinal excitability. MEP amplitude was calculated as the mean of 20 responses elicited at 120% of the motor threshold, before and after tDCS, reflecting M1 pyramidal neuron excitability38.
Secondary outcomes
-
c)
Cortical silent period duration: Using a handheld dynamometer, participants performed a sustained isometric contraction equivalent to 10 pounds of force over the dominant FDI muscle during each trial. This level of contraction was selected as it is commonly used in our laboratory to standardize effort while remaining tolerable for patients with fibromyalgia, avoiding additional discomfort. A pulse with an intensity of 120% RMT was applied three seconds after contraction initiation. The offset of the CSP was defined as the sustained return of EMG activity to the pre-stimulus baseline level for at least 10 ms. Participants were instructed to relax the contraction after stimulation with a minimum 10-second rest interval between trials. Ten trials of CSP testing were determined by the means of these values registered by the EMG38.
-
d)
Short Intra-Cortical Inhibition: Cortical excitability was assessed using paired-pulse TMS. The conditioning stimulus was delivered at 80% of the RMT, and the test stimulus at 120% of the RMT. Interstimulus intervals (ISI) of 2 ms were used to evaluate SICI65. A total of 30 randomized trials were conducted, comprising approximately 15 trials for each condition (SICI and single pulse). To minimize the impact of intra-individual variability and occasional outlier responses, 20 trials per condition were initially recorded, and the 15 responses closest to the mean distribution were retained for analysis, following approaches recommended in prior TMS studies66. The mean MEP amplitude was calculated for each condition. The final SICI value was expressed as the ratio between the average MEP amplitude of the conditioned stimuli (2 ms ISI) and the average MEP amplitude of single-pulse stimuli. These measures provide an index of inhibitory and facilitatory mechanisms within the motor cortex38.
-
e)
Brief Pain Inventory: Pain interference was measured through seven BPI items related to daily activities (general activity, mood, walking ability, work, relationships, sleep, and enjoyment of life), each scored from 0 (no interference) to 10 (complete interference). The overall interference score was the average of these items. A ≥ 30% reduction in the mean MPII was considered the minimal clinically important difference (MCID), in line with IMMPACT guidelines25, and supported by previous research67. Pain severity was assessed through the two standard BPI items (“worst” and “average pain in the last 24 hours”), with the overall severity score corresponding to the mean of these items. The complete BPI was administered at baseline and on days 8 and 15 post-intervention.
Demographic, medical, psychosocial measures and serum BDNF levels
-
f)
Demographic and clinical data, including comorbidities and current medication use, were collected using a standardized questionnaire.
-
g)
For the diagnosis criteria, the ACR 2016 was used68. Their scores comprise two scales: the widespread pain index (WPI) and symptom severity score (SSS). Criteria were defined as: (i) WPI ≥ 7 and SSS ≥ 5 OR WPI 4–6 and SSS ≥ 9. (ii) Generalized pain: pain in 4/5 regions.
-
h)
The Fibromyalgia Impact Questionnaire (FIQ) was used to assess the impact of fibromyalgia symptoms on quality of life69.
-
i)
The Pain Catastrophizing Scale (PCS) evaluated pain-related catastrophizing across three dimensions: rumination, magnification, and helplessness70.
-
j)
The Beck Depression Inventory-II (BDI-II) assessed depressive symptoms71.
-
k)
The Central Sensitization Inventory (CSI) measured symptoms associated with central sensitization syndrome72.
-
l)
Sleep quality and patterns over the past month were assessed using the Pittsburgh Sleep Quality Index (PSQI)73.
-
m)
BDNF serum levels were measured using a sandwich ELISA with monoclonal antibodies specific to BDNF, utilizing the ChemiKine BDNF Sandwich ELISA Kit (plate number 1; Chemicon/Millipore, Billerica, MA, USA; R&D Systems, MN, USA). All assays were conducted in duplicate to control for intra-assay variability. Inter-assay consistency was assessed using two plates from the same kit, which were processed on separate days within the same week. All procedures strictly followed the manufacturer’s protocols. The assay’s lower detection limit was 7.8 pg/mL. Optical density was measured at 450 nm using a GloMax®-Multi Microplate Reader (Promega, WI, USA) to ensure the highest level of accuracy. Additional multiplex analyses were conducted using the Bio-Plex® 200 system (Bio-Rad), and total protein concentration was determined using the Bradford method with bovine serum albumin as the standard)47.
-
n)
Adverse effects were assessed at the end of the intervention using a standardized questionnaire74.
Statistical analysis
One-way ANOVA was used to analyze continuous variables with a normal distribution, while the Kruskal-Wallis test was applied to non-normally distributed variables. Categorical variables were evaluated using the chi-square test. The Shapiro-Wilk test was used to assess the normality of continuous variables.
A factorial GLM was employed to investigate the stimulation effects (a-tDCS vs. s-tDCS), targeted brain areas (CB, M1, and CB–M1), and their interaction. Outcomes included delta values (post-treatment average minus baseline average) to control the intra-individual variability75. Pairwise comparisons were performed to identify significant differences between interventions.
To construct an adjusted surrogate index of factors related to neuroplasticity we created a BDNF adjusted index (dependent variable). To address potential confounding effects, we constructed an adjusted serum BDNF index using a multivariate linear regression model (stepwise method, controlled for multicollinearity). The model included age, classes of antidepressants [SSRIs, SNRIs, tricyclics], and anticonvulsant use, given their known influence on BDNF secretion39.
Stimulation effects during follow-up were assessed using the BPI subscales at 8- and 15-day post-intervention. An LMM was employed, incorporating fixed effects for intervention, targeted brain areas, time, and their interaction, along with a random intercept for patients. For the statistical analysis, the serum BDNF index (adjusted for age), severity of depressive symptoms, and the number of antidepressants used (tricyclics, dual-action, and selective serotonin reuptake inhibitors) were included as variables. The model was constructed using a regression approach with the stepwise forward method.
All analyses were adjusted for multiple comparisons using Bonferroni correction, with a significance threshold of 5%. Data analyses were conducted using SPSS version 22.0. To obtain the effect sizes, we used the Platform https://www.psychometrica.de/effect_size.htm76. Analyses were conducted using an available-case approach, in which participants were included in the analysis of each outcome if the respective data were available.
Data availability
The datasets generated and/or analyzed during the current study are available from the corresponding author on reasonable request.
References
Queiroz, L. P. Worldwide epidemiology of fibromyalgia. Curr. Pain Headache Rep. 17, 356 (2013).
Sarzi-Puttini, P., Giorgi, V., Marotto, D. & Atzeni, F. Fibromyalgia: an update on clinical characteristics, aetiopathogenesis and treatment. Nat. Rev. Rheumatol. 16, 645–660 (2020).
Häuser, W. & Fitzcharles, M. A. Adherence to clinical guidelines for fibromyalgia: help or hindrance? Can. J. Pain. 7, 2255070 (2023).
Häuser, W. et al. European clinical practice recommendations on opioids for chronic noncancer pain – Part 1: role of opioids in the management of chronic noncancer pain. Eur. J. Pain. 25, 949–968 (2021).
Teixeira, P. E. P. et al. The analgesic effect of transcranial direct current stimulation in fibromyalgia: A systematic Review, Meta-Analysis, and Meta-Regression of potential influencers of clinical effect. Neuromodulation: Technol. Neural Interface. 26, 715–727 (2023).
Moshfeghinia, R. et al. The effects of transcranial direct-current stimulation (tDCS) on pain intensity of patients with fibromyalgia: a systematic review and meta-analysis. BMC Neurol. 23, 395 (2023).
Fregni, F. et al. Evidence-Based guidelines and secondary Meta-Analysis for the use of transcranial direct current stimulation in neurological and psychiatric disorders. Int. J. Neuropsychopharmacol. 24, 256–313 (2021).
Wang, S., Du, S. H., Wang, X. Q. & Lu, J. Y. Mechanisms of transcranial direct current stimulation (tDCS) for pain in patients with fibromyalgia syndrome. Frontiers in Molecular Neuroscience vol. 17 Preprint at (2024). https://doi.org/10.3389/fnmol.2024.1269636
Serrano, P. V. et al. The effect of home-based transcranial direct current stimulation in cognitive performance in fibromyalgia: A randomized, double-blind sham-controlled trial. Front Hum. Neurosci 16, (2022).
Brietzke, A. P. et al. Large treatment effect with extended Home-Based transcranial direct current stimulation over dorsolateral prefrontal cortex in fibromyalgia: A proof of concept Sham-Randomized clinical study. J. Pain. 21, 212–224 (2020).
Pan, W., Banks, W. A., Fasold, M. B., Bluth, J. & Kastin, A. J. Transport of brain-derived neurotrophic factor across the blood–brain barrier. Neuropharmacology 37, 1553–1561 (1998).
Poduslo, J. F. & Curran, G. L. Permeability at the blood-brain and blood-nerve barriers of the neurotrophic factors: NGF, CNTF, NT-3, BDNF. Brain Res. Mol. Brain Res. 36, 280–286 (1996).
Rasmussen, P. et al. Evidence for a release of brain-derived neurotrophic factor from the brain during exercise. Exp. Physiol. 94, 1062–1069 (2009).
Behnoush, A. H. et al. Brain-derived neurotrophic factor in fibromyalgia: A systematic review and meta-analysis of its role as a potential biomarker. PLoS One. 18, e0296103 (2023).
Caumo, W. et al. Efficacy of Home-Based transcranial direct current stimulation over the primary motor cortex and dorsolateral prefrontal cortex in the disability due to pain in fibromyalgia: A factorial Sham-Randomized clinical study. J. Pain. 25, 376–392 (2024).
Pereira, M. et al. Anodal cerebellar tDCS modulates lower extremity pain perception. NeuroRehabilitation 40, 195–200 (2017).
Bocci, T. et al. Cerebellar transcranial direct current stimulation (ctDCS) ameliorates Phantom limb pain and Non-painful Phantom limb sensations. Cerebellum 18, 527–535 (2019).
Li, C. N., Keay, K. A., Henderson, L. A. & Mychasiuk, R. Re-examining the Mysterious Role of the Cerebellum in Pain. J. Neurosci. 44. https://doi.org/10.1523/JNEUROSCI.1538-23.2024 (2024).
Moulton, E. A., Schmahmann, J. D., Becerra, L. & Borsook, D. The cerebellum and pain: passive integrator or active participator? Brain Res. Rev. 65, 14–27 (2010).
Azarkolah, A., Noorbala, A. A., Ansari, S., Hallajian, A. H. & Salehinejad, M. A. Efficacy of transcranial direct current stimulation on pain level and disability of patients with fibromyalgia: A systematic review of randomized controlled trials with Parallel-Group design. Brain Sci. 14, (2024).
Moloney, T. M. & Witney, A. G. Pressure pain thresholds increase after preconditioning 1 hz repetitive transcranial magnetic stimulation with transcranial direct current stimulation. PLoS One. 9, e92540 (2014).
Caumo, W. et al. Motor cortex excitability and BDNF levels in chronic musculoskeletal pain according to structural pathology. Front. Hum. Neurosci. 10, 357 (2016).
Pacheco-Barrios, K. et al. Motor cortex Inhibition as a fibromyalgia biomarker: a meta-analysis of transcranial magnetic stimulation studies. Brain Netw. Modulation 1, (2022).
O’Connell, N. E., Marston, L., Spencer, S., DeSouza, L. H. & Wand, B. M. Non-invasive brain stimulation techniques for chronic pain. Cochrane Database Syst. Rev. 4, CD008208 (2018).
Dworkin, R. H. et al. Interpreting the clinical importance of treatment outcomes in chronic pain clinical trials: IMMPACT recommendations. J. Pain. 9, 105–121 (2008).
Cleeland, C. S. & Ryan, K. M. Pain assessment: global use of the brief pain inventory. Ann. Acad. Med. Singap. 23, 129–138 (1994).
Kang, J. H. et al. Effects of add-on transcranial direct current stimulation on pain in Korean patients with fibromyalgia. Sci. Rep. 10, (2020).
Lewis, G. N., Rice, D. A., Kluger, M. & McNair, P. J. Transcranial direct current stimulation for upper limb neuropathic pain: A double-blind randomized controlled trial. Eur. J. Pain. 22, 1312–1320 (2018).
Thibaut, A. et al. Distinct behavioral response of primary motor cortex stimulation in itch and pain after burn injury. Neurosci. Lett. 690, 89–94 (2019).
Zortea, M. et al. Transcranial Direct Current Stimulation to Improve the Dysfunction of Descending Pain Modulatory System Related to Opioids in Chronic Non-cancer Pain: An Integrative Review of Neurobiology and Meta-Analysis. Front. Neurosci. 13. https://doi.org/10.3389/fnins.2019.01218 (2019).
Schein, B. et al. Effects of hypnotic analgesia and transcranial direct current stimulation on pain tolerance and corticospinal excitability in individuals with fibromyalgia: A Cross-Over randomized clinical trial. J. Pain Res. 16, 187–203 (2023).
Labruna, L. et al. Efficacy of anodal transcranial direct current stimulation is related to sensitivity to transcranial magnetic stimulation. Brain Stimul. 9, 8–15 (2016).
Hallett, M. Transcranial magnetic stimulation and the human brain. Nature 406, 147–150 (2000).
Hamada, M. et al. Two distinct interneuron circuits in human motor cortex are linked to different subsets of physiological and behavioral plasticity. J. Neurosci. 34, 12837 (2014).
Galea, J. M., Jayaram, G., Ajagbe, L. & Celnik, P. Modulation of cerebellar excitability by polarity-specific noninvasive direct current stimulation. J. Neurosci. 29, 9115–9122 (2009).
Summers, R. L. S., Chen, M., Hatch, A. & Kimberley, T. J. Cerebellar transcranial direct current stimulation modulates corticospinal excitability during motor training. Front. Hum. Neurosci. 12, 118 (2018).
Matsugi, A. et al. Cerebellar transcranial magnetic stimulation reduces the silent period on hand muscle electromyography during force control. Brain Sci. 10, (2020).
Kobayashi, M. & Pascual-Leone, A. Transcranial magnetic stimulation in neurology. Lancet Neurol. 2, 145–156 (2003).
Cardinal, T. M. et al. Differential neuroplastic changes in fibromyalgia and depression indexed by up-regulation of motor cortex Inhibition and disinhibition of the descending pain system: an exploratory study. Front Hum. Neurosci 13, (2019).
Volz, M. S. et al. The relationship between cortical excitability and pain catastrophizing in myofascial pain. J. Pain. 14, 1140–1147 (2013).
Paci, M., Di Cosmo, G., Perrucci, M. G., Ferri, F. & Costantini, M. Cortical silent period reflects individual differences in action stopping performance. Sci. Rep. 11, 15158 (2021).
Miranda, M., Morici, J. F., Zanoni, M. B. & Bekinschtein, P. Brain-Derived Neurotrophic Factor: A Key Molecule for Memory in the Healthy and the Pathological Brain. Front. Cell. Neurosci. 13. https://doi.org/10.3389/fncel.2019.00363 (2019).
Peciña, M. et al. Valence-specific effects of BDNF Val66Met polymorphism on dopaminergic stress and reward processing in humans. J. Neurosci. 34, 5874–5881 (2014).
de Franco, O. Functional connectivity response to acute pain assessed by fNIRS is associated with BDNF genotype in fibromyalgia: an exploratory study. Sci. Rep. 12, 18831 (2022).
Zhao, M. et al. BDNF Val66Met polymorphism, life stress and depression: A meta-analysis of gene-environment interaction. J. Affect. Disord. 227, 226–235 (2018).
Cheeran, B. et al. A common polymorphism in the brain-derived neurotrophic factor gene (BDNF) modulates human cortical plasticity and the response to rTMS. J. Physiol. 586, 5717–5725 (2008).
Stefani, L. C. et al. BDNF and serum S100B levels according the spectrum of structural pathology in chronic pain patients. Neurosci. Lett. 706, 105–109 (2019).
Bidari, A., Ghavidel-Parsa, B. & Gharibpoor, F. Comparison of the serum brain-derived neurotrophic factor (BDNF) between fibromyalgia and nociceptive pain groups; and effect of Duloxetine on the BDNF level. BMC Musculoskelet. Disord 23, (2022).
Mosiołek, A. et al. Brain-Derived Neurotrophic Factor (BDNF) as an Indicator for Effects of Cognitive Behavioral Therapy (CBT): A Systematic Review. Biomedicines 11. https://doi.org/10.3390/biomedicines11010027 (2023).
Linde, K. et al. The impact of patient expectations on outcomes in four randomized controlled trials of acupuncture in patients with chronic pain. Pain 128, 264–271 (2007).
Luana, C. & J, B. A. Placebo and Nocebo effects. N. Engl. J. Med. 382, 554–561 (2020).
Gupta, A. et al. Sex-based differences in brain alterations across chronic pain conditions. J. Neurosci. Res. 95, 604–616 (2017).
Bhattacharjee, S. et al. Sex difference in tDCS current mediated by changes in cortical anatomy: A study across young, middle and older adults. Brain Stimul. 15, 125–140 (2022).
Gasparin, A. et al. Brain-Derived neurotrophic factor modulates the effect of sex on the descending pain modulatory system in healthy volunteers. Pain Med. 21, 2271–2279 (2020).
Ferrini, F. & De Koninck, Y. Microglia control neuronal network excitability via BDNF signalling. Neural Plast. 429815 (2013).
Pezet, S., Malcangio, M. & McMahon, S. B. BDNF: a neuromodulator in nociceptive pathways? Brain Res. Brain Res. Rev. 40, 240–249 (2002).
Mazzitelli, M. et al. BDNF signaling and pain modulation. Cells 14, (2025).
Nijs, J. et al. Brain-derived neurotrophic factor as a driving force behind neuroplasticity in neuropathic and central sensitization pain: a new therapeutic target? Expert Opin. Ther. Targets. 19, 565–576 (2015).
Nijs, J. et al. Central sensitisation in chronic pain conditions: latest discoveries and their potential for precision medicine. Lancet Rheumatol. 3, e383–e392 (2021).
Sreeraj, V. S., Arumugham, S. S. & Venkatasubramanian, G. Clinical practice guidelines for the use of transcranial direct current stimulation in psychiatry. Indian J. Psychiatry 65, (2023).
Villamar, M. F. et al. Focal Modulation of the Primary Motor Cortex in Fibromyalgia Using 4 x 1-Ring High-Definition Transcranial Direct Current Stimulation (HD-tDCS): Immediate and Delayed Analgesic Effects of Cathodal and Anodal Stimulation. J. Pain. 14, 371–383 (2013).
Grimaldi, G. & Manto, M. Anodal transcranial direct current stimulation (tDCS) decreases the amplitudes of Long-Latency stretch reflexes in cerebellar ataxia. Ann. Biomed. Eng. 41, 2437–2447 (2013).
Feuerstein, M., Barr, R. G., Francoeur, E. T., Houle, M. & Rafman, S. Potential biobehavioral mechanisms of recurrent abdominal pain in children. Pain 13, (1982).
Bashir, S., Mizrahi, I., Weaver, K., Fregni, F. & Pascual-Leone, A. Assessment and modulation of neural plasticity in rehabilitation with transcranial magnetic stimulation. PM R. 2, S253–S268 (2010).
Iscan, Z., Nazarova, M., Fedele, T., Blagovechtchenski, E. & Nikulin, V. Pre-stimulus alpha oscillations and inter-subject variability of motor evoked potentials in single- and paired-pulse TMS paradigms. Front Hum. Neurosci 10, (2016).
Chang, W. H. et al. Optimal number of pulses as outcome measures of neuronavigated transcranial magnetic stimulation. Clin. Neurophysiol. 127, 2892–2897 (2016).
Wang, S. et al. Quantitative analysis of the minimum clinically important difference in the brief pain inventory after total knee arthroplasty. J. Pain Res. 18, 803–813 (2025).
Wolfe, F. et al. 2016 revisions to the 2010/2011 fibromyalgia diagnostic criteria. Semin Arthritis Rheum. 46, 319–329 (2016).
Burckhardt, C. S. C. S. B. R. The fibromyalgia impact questionnaire: development and validation. Article J. Rheumatol. (1991). https://www.researchgate.net/publication/21291404.
Sehn, F. et al. Cross-cultural adaptation and validation of the Brazilian Portuguese version of the pain catastrophizing scale. Pain Med. 13, 1425–1435 (2012).
Stepankova Georgi, H., Vlckova, H., Lukavsky, K., Kopecek, J., Bares, M. & M. & Beck depression Inventory-II: Self-report or interview-based administrations show different results in older persons. Int. Psychogeriatr. 31, 735–742 (2019).
Caumo, W. et al. The central sensitization inventory validated and adapted for a Brazilian population: psychometric properties and its relationship with brain-derived neurotrophic factor. J. Pain Res. 10, 2109–2122 (2017).
Buysse, D. J., Reynolds, C. F., Monk, T. H., Berman, S. R. & Kupfer, D. J. The Pittsburgh sleep quality index: A new instrument for psychiatric practice and research. Psychiatry Res. 28, 193–213 (1989).
Antal, A. et al. Low intensity transcranial electric stimulation: Safety, ethical, legal regulatory and application guidelines. Clin. Neurophysiol. 128, 1774–1809 (2017).
Middel, B. & van Sonderen, E. Statistical significant change versus relevant or important change in (quasi) experimental design: some conceptual and methodological problems in estimating magnitude of intervention-related change in health services research. Int. J. Integr. Care. 2, e15 (2002).
Lenhard, W. & Lenhard, A. Comput. Effect Sizes. https://doi.org/10.13140/RG.2.2.17823.92329. (2017).
Acknowledgements
We thank the Clinical Research Facility at the Hospital de Clínicas de Porto Alegre for providing infrastructure and personnel support for this study. We also acknowledge the Brazilian funding agencies for their support: the Committee for the Development of Higher Education Personnel (CAPES) and the National Council for Scientific and Technological Development (CNPq).This study was supported by the Program for Academic Excellence (PROEX) and the Postgraduate Research Group at the Hospital de Clínicas de Porto Alegre (FIPE-HCPA, project no. 2022-0504). The trial was sponsored by the National Council for Scientific and Technological Development (CNPq) in partnership with the Health Secretary of the State of Rio Grande do Sul (SEARS), under the PPSUS program (Call 08/2020, no. 21/2551-0000129-1).Scholarships were provided by CAPES (Grant #2022-2023) for BRF and GBB (Master’s students), and by CNPq for research support (WC: Productivity Grant no. 306606/2021-6; JG: Scientific Initiation Grant).
Funding
This study was supported by the Program for Academic Excellence (PROEX) and the Postgraduate Research Group at the Hospital de Clínicas de Porto Alegre (FIPE-HCPA, project no. 2022 − 0504). The trial was sponsored by the National Council for Scientific and Technological Development (CNPq) in partnership with the Health Secretary of the State of Rio Grande do Sul (SEARS), under the PPSUS program (Call 08/2020, no. 21/2551-0000129-1). Scholarships were awarded by CAPES (Grant 2022–2023) to BRF and GBB (Master’s students), and by CNPq for research support (WC: Productivity Grant no. 306606/2021-6; JG: Scientific Initiation Grant).
Author information
Authors and Affiliations
Contributions
DB, MT, and WC conceived and designed the study, participated in data collection, performed the statistical analysis, and coordinated the drafting of the manuscript. IT and FF contributed to the drafting of the manuscript and critically revised it for its intellectual content. HB, GB, BRF, JG, MLC, and CLV were essential in data collection, sample storage, and laboratory processing. All authors reviewed and approved the final version of the manuscript.
Corresponding author
Ethics declarations
Competing interests
The authors declare no competing interests.
Additional information
Publisher’s note
Springer Nature remains neutral with regard to jurisdictional claims in published maps and institutional affiliations.
Rights and permissions
Open Access This article is licensed under a Creative Commons Attribution-NonCommercial-NoDerivatives 4.0 International License, which permits any non-commercial use, sharing, distribution and reproduction in any medium or format, as long as you give appropriate credit to the original author(s) and the source, provide a link to the Creative Commons licence, and indicate if you modified the licensed material. You do not have permission under this licence to share adapted material derived from this article or parts of it. The images or other third party material in this article are included in the article’s Creative Commons licence, unless indicated otherwise in a credit line to the material. If material is not included in the article’s Creative Commons licence and your intended use is not permitted by statutory regulation or exceeds the permitted use, you will need to obtain permission directly from the copyright holder. To view a copy of this licence, visit http://creativecommons.org/licenses/by-nc-nd/4.0/.
About this article
Cite this article
Betancur, D.F.A., da Graça Lopes Tarragó, M., França, B.R. et al. Cortical excitability and analgesic effects of multisite transcranial direct current stimulation targeting the motor cortex and cerebellum in fibromyalgia. Sci Rep 15, 37067 (2025). https://doi.org/10.1038/s41598-025-20769-1
Received:
Accepted:
Published:
Version of record:
DOI: https://doi.org/10.1038/s41598-025-20769-1





