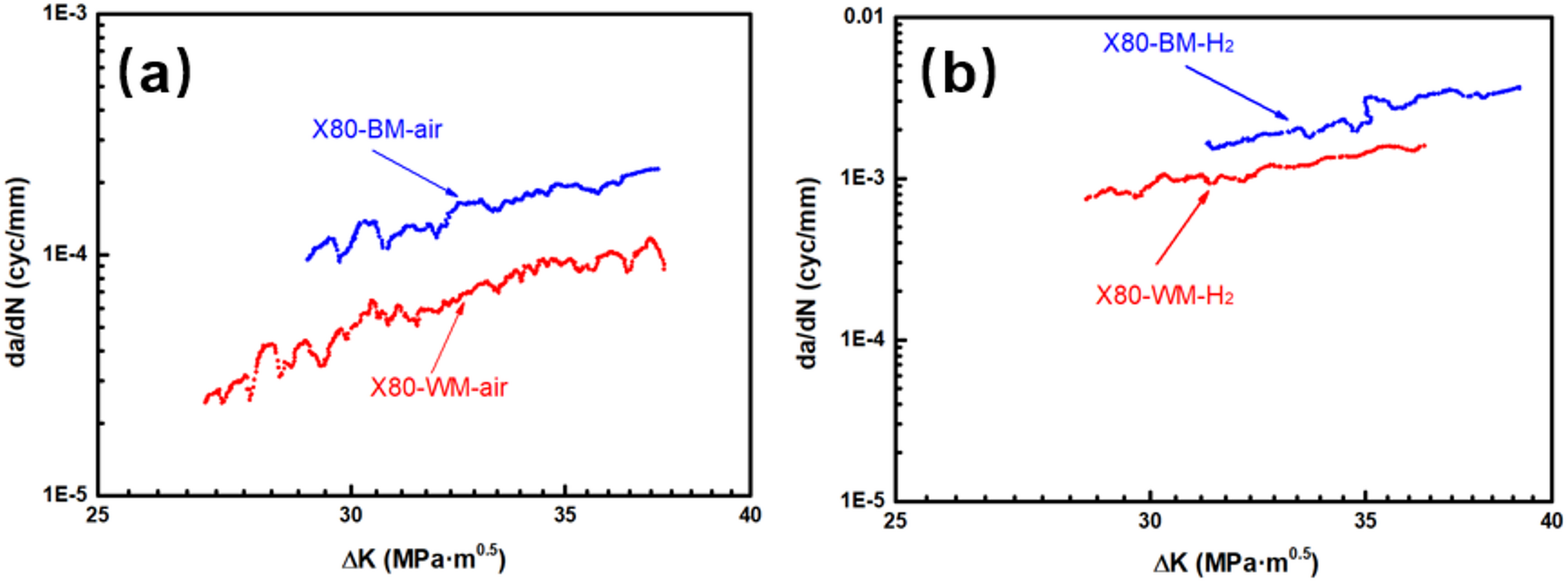
Fig. 2

Fatigue crack growth rates of X80 pipeline base metal and weld metal (a) in air and (b) hydrogen atmosphere, respectively.

Fatigue crack growth rates of X80 pipeline base metal and weld metal (a) in air and (b) hydrogen atmosphere, respectively.