Fig. 4

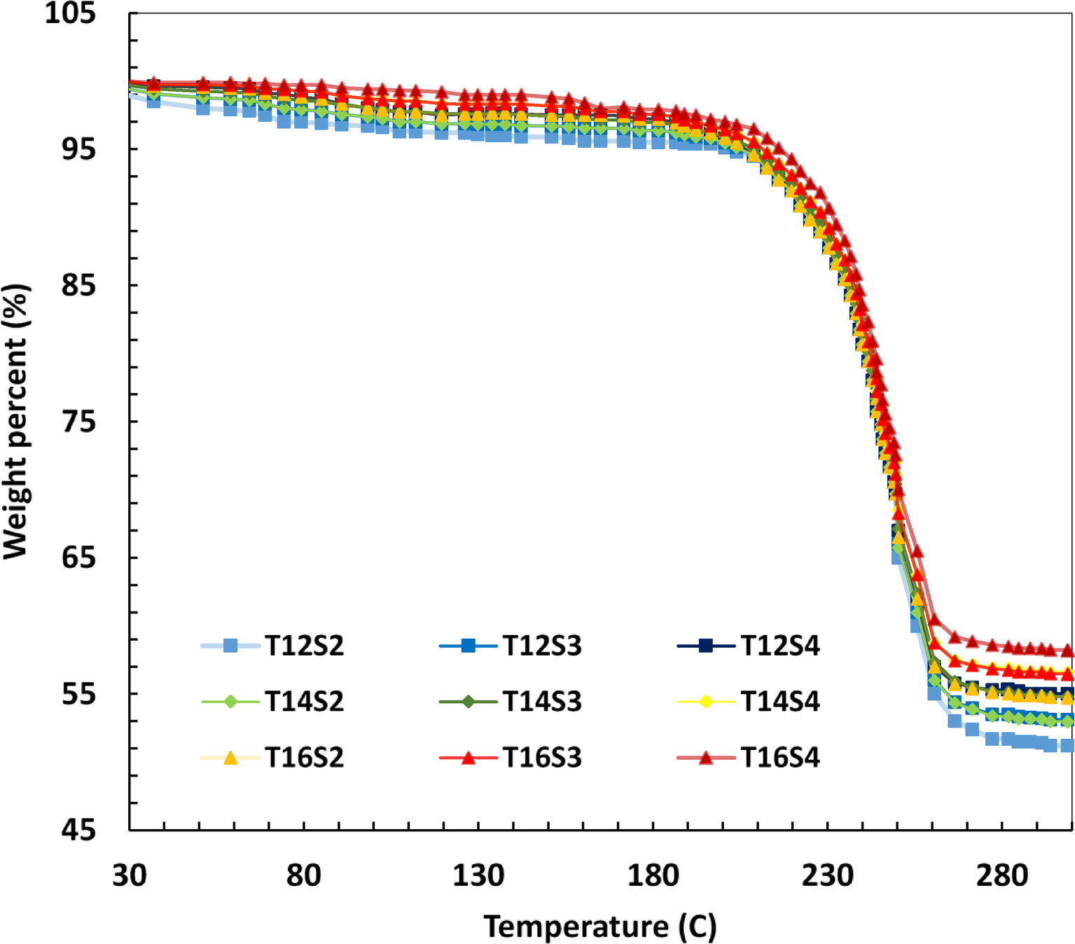
Thermogravimetric analysis of synthesized gemini surfactants (TnSm Series) in the temperature range of 30 °C to 300 °C.

Thermogravimetric analysis of synthesized gemini surfactants (TnSm Series) in the temperature range of 30 °C to 300 °C.