Abstract
In this study, nine novel cationic gemini surfactants were designed, synthesized, and comprehensively characterized for potential application in chemical enhanced oil recovery (EOR). The molecular architecture was systematically varied by combining three alkyl chain lengths (C12, C14, C16) with three polymethylene spacers (2, 3, and 4 carbon atoms), enabling a detailed investigation of structure–property relationships. Successful synthesis was confirmed via Fourier Transform Infrared Spectroscopy (FTIR), Proton Nuclear Magnetic Resonance (1H-NMR), Thermogravimetric Analysis (TGA), and Dynamic Light Scattering (DLS), which provided insights into morphological features, thermal stability, and aggregation behavior. Surface tension and conductivity measurements revealed that the critical micelle concentration (CMC) decreases with increasing alkyl chain length, but increases with spacer length, highlighting the interplay between hydrophobic and hydrophilic interactions. Thermodynamic analysis indicated that both micellization and adsorption are spontaneous processes, with micellization predominantly entropy-driven. Notably, adsorption was significantly more favorable, contributing to substantial interfacial tension reduction, a key requirement for efficient EOR. Furthermore, DLS confirmed the tunability of micelle and aggregate formation as a function of surfactant architecture and concentration, offering a rational pathway for designing tailored surfactant systems under demanding oil recovery conditions.
Introduction
Efficient hydrocarbon recovery is one of the major problems in the oil industry, especially in mature reservoirs, which are left with a significant amount of oil unrecovered by conventional operations, due to the poor efficiency of the current methods in mobility control and interfacial tension (IFT) reduction. Among the various enhanced oil recovery (EOR) techniques, surfactant flooding plays a central role in lowering the IFT between oil and water and altering reservoir wettability, thereby facilitating the mobilization of trapped oil1. However, conventional monomeric surfactants are often limited by high critical micelle concentrations (CMC), poor temperature and salinity tolerance, and excessive adsorption on formation rocks, restricting their applicability under harsh reservoir conditions2,3,4,5.
Gemini surfactants, with their characteristic double-tail and double-head structures, have attracted considerable interest for their superior surface-active properties. These surfactants exhibit much lower CMCs and enhanced aggregation at lower concentrations, making them suitable for extreme reservoir environments where traditional surfactants fail6,7,8. The spacer linking the hydrophobic tails and hydrophilic head groups plays a key role in determining adsorption, micellization, and interfacial behavior, and tuning its length and nature can significantly optimize these properties for specific applications9,10,11,12.
In chemical EOR (cEOR), gemini surfactants have demonstrated promising performance, particularly in high-temperature, high-salinity carbonate reservoirs13. Studies indicate that increasing spacer length can improve micellar stability while reducing adsorption on carbonate surfaces, thereby enhancing oil recovery14; Thermodynamic investigations further show that adsorption is generally more favorable than micellization under such harsh conditions14 The incorporation of heteroatoms such as nitrogen, or functional groups like aromatic and oxyethylene moieties, into the spacer can further enhance surface activity, improve thermal stability, and elevate salt tolerance, crucial parameters for field applications15,16. Similar design strategies incorporating aromatic or oxyethylene functional groups have yielded gemini surfactants with exceptional temperature tolerance (up to 300 °C) and salt resistance (salinity ~ 8246 mg/L), maintaining ultralow interfacial tension values after prolonged aging under harsh conditions17. In particular, mechanistic studies using Atomic Force Microscopy (AFM) and force–distance analysis has revealed that quaternary ammonium gemini surfactants form highly stable adsorbed layers at solid/liquid interfaces even at very low concentrations, demonstrating stronger adsorption energies and lower CMC values relative to their monomeric analogues18. These molecular features provide gemini surfactants with the capacity to exhibit ultra-low IFT and tolerance to salt, which are the basic requirements for successful enhanced oil recovery under adverse reservoir conditions19,20.
Field- and laboratory-scale EOR assessments confirm these advantages: tailor-made cationic gemini surfactants with optimized tail and spacer lengths have achieved significant incremental oil recovery, robust thermal stability, and high salinity tolerance, while altering rock wettability toward more water-wet states21. In recent developments, functionalized gemini surfactants have overcome common trade-offs between surface activity, stability, and environmental responsiveness, enabling their consideration as next-generation EOR agents22. Dynamic multiphase studies have also demonstrated that structurally robust gemini surfactants can sustain ultra-low IFTs and stable emulsions after extended aging17.
Beyond EOR, gemini surfactants find applications in diverse fields including, foam generation and cleaning processes12,23, corrosion inhibition24, wastewater treatment25, development of cosmetics and personal care items26,27, biomedical fields such as gene delivery, targeted drug transport, and antimicrobial therapies28,29,30, textile manufacturing31, production of paints and coatings32, and as functional agents in preparative chemistry for micellar catalysis, polymerization, capillary chromatography, and the synthesis of gold and silica nanoparticles, as well as gel formation27,33.
Despite recent efforts, systematic and comprehensive studies that decouple and compare the combined effects of hydrophobic tail length and polymethylene spacer structure on the physicochemical properties of cationic gemini surfactants, particularly under high-salinity and high-temperature conditions relevant to petroleum reservoirs, remain scarce. In most previous works, either tail length or spacer variation has been investigated in isolation, and critical aspects such as a full thermodynamic comparison of micellization versus interfacial adsorption, or the linkage between thermal stability and molecular architecture, have not been addressed in an integrated manner. Likewise, correlations between aggregation behavior (e.g., hydrodynamic size distributions) and dual structural variation have been insufficiently explored in the context of EOR.
In this study, we address these limitations by synthesizing a complete homologous series of nine cationic gemini surfactants (TnSm) via N-alkylation of N,N,N′,N′-tetramethylethane-1,n-diamines (n = 2, 3, 4) with alkyl bromides (1-bromododecane, 1-bromotetradecane, and 1-bromohexadecane), yielding quaternary ammonium-based gemini species with systematically varied tail and spacer lengths. This design enables clear decoupling of tail and spacer effects on key parameters such as thermal stability, micellization thermodynamics, interfacial adsorption, and salt tolerance performance, the latter being experimentally assessed to evaluate applicability under high-salinity reservoir conditions. Advanced characterization methods including Fourier Transform Infrared Spectroscopy (FTIR), Proton Nuclear Magnetic Resonance (1H-NMR), Thermogravimetric Analysis (TGA), surface tension, and conductivity measurements were employed to establish molecular- and interfacial-scale structure–property relationships. Through this comprehensive approach, the present work offers mechanistic insights that can guide the rational design of EOR-optimized gemini surfactants for sustainable hydrocarbon recovery under challenging conditions.
Materials and methods
Materials
In this study, N,N,N′,N′-tetramethylethane-1,2-diamine, N,N,N′,N′-tetramethylethane-1,3-diamine, and N,N,N′,N′-tetramethylethane-1,4-diamine (≥ 98%, Sigma-Aldrich) were used directly as spacer precursors without further purification, selected for their high reactivity in quaternization and proven ability to form stable gemini surfactants under the experimental conditions. Alkyl tail reagents—1-bromododecane, 1-bromotetradecane, and 1-bromohexadecane (≥ 98%, Alfa Aesar)—served as quaternizing agents. Dry acetone (analytical grade, Alfa Aesar) was employed as the reaction solvent, and diethyl ether (analytical grade) was used for product washing and purification after filtration and precipitation. All aqueous solutions were prepared with deionized water. Unless otherwise stated, all chemicals were used as received.
Synthesis procedure
Using N,N, N′, N′-tetramethylethane-1,n-diamine (n = 2, 3, or 4) and long-chain 1-bromoalkanes30, a homologous series of cationic gemini surfactants was synthesized via a two-step quaternization reaction. In a typical procedure, 0.05 mol of the selected diamine was dissolved in 20 mL of dry acetone under a nitrogen atmosphere. Subsequently, 0.11 mol of 1-bromododecane, 1-bromotetradecane, or 1-bromohexadecane was added dropwise under constant magnetic stirring. The mixture was refluxed at 70–80 °C for 48 h, with temperature continuously monitored via a thermocouple to ensure stable heating.
Upon completion, the solvent was removed under reduced pressure using a rotary evaporator. Residual alkyl bromides and byproducts were eliminated by washing the crude product with cold diethyl ether. The target gemini surfactants, obtained as off-white to pale yellow solids, were dried under vacuum at 40 °C for 12 h.
The chemical structure and purity of the synthesized compounds were confirmed by FTIR spectroscopy and 1H-NMR spectroscopy.
Reaction mechanism
Quaternary ammonium–based gemini surfactants were synthesized through a two‐step nucleophilic substitution (S-N2) process between N,N,N′,N′-tetramethylethane-1,n-diamine (n = 2, 3, 4) and two molar equivalents of a 1-bromoalkane (C12, C14, C16). In the first step, one tertiary nitrogen atom in the diamine attacks the electrophilic carbon of the 1-bromoalkane, displacing bromide and producing a monocationic intermediate bearing one quaternized nitrogen and an unreacted tertiary amine. In the second step, the remaining tertiary nitrogen undergoes the same substitution with an additional equivalent of the alkyl bromide, yielding the fully quaternized dicationic gemini surfactant.
The overall pathway, illustrated in Fig. 1, is facilitated by the high leaving‐group ability of bromide and the strong nucleophilicity of the tertiary amine, allowing the reaction to proceed efficiently under mild conditions. Systematic variation of alkyl tail lengths (T = 12, 14, 16) and polymethylene spacer lengths (S = 2, 3, 4) enabled the preparation of nine homologous surfactants with two long hydrophobic tails connected by a central polymethylene spacer.
Characterization
-
Fourier Transform Infrared Spectroscopy
Fourier Transform Infrared spectroscopy was employed to identify functional groups and confirm the molecular structures of the synthesized gemini surfactants. Spectra were recorded on a PerkinElmer Spectrum 2 FTIR spectrometer over the range 4000–500 cm−1. Prior to analysis, each surfactant sample was dried, finely ground with spectroscopic‐grade KBr to a concentration below 2.0 wt%, and pressed into transparent pellets using a hydraulic press at moderate pressure.
The FTIR spectra displayed characteristic absorption bands corresponding to long alkyl chains (C–H stretching at 2920–2850 cm−1), quaternary ammonium groups (C–N+ stretching at 950–1250 cm−1), and N–CH3 bending vibrations, along with additional signals attributable to bromide counter anions. These spectral features collectively confirm the successful formation of the desired gemini surfactants.
-
Proton Nuclear Magnetic Resonance
Proton Nuclear Magnetic Resonance (1H-NMR) spectroscopy was also employed to verify the molecular structures of the synthesized gemini surfactants. The spectrum of a representative compound from the TnSm series (T12S2) was acquired on a Bruker Avance 400 MHz spectrometer, using either deuterated chloroform (CDCl3) or deuterium oxide (D2O) as solvent, selected based on sample solubility. Tetramethylsilane (TMS) served as the internal standard, and chemical shifts (δ) were referenced to TMS at 0.00 ppm.
The 1H-NMR spectrum exhibited characteristic resonances for the terminal methyl and methylene protons of the hydrophobic tails, methylene units within the polymethylene spacer, and α-methylene protons adjacent to the quaternary ammonium centers. These features collectively confirmed the successful synthesis and structural integrity of the gemini surfactant.
-
Thermogravimetric Analysis
Thermal stability of the synthesized surfactant was evaluated using thermogravimetric analysis on a TGA/DSC1 instrument (Mettler Toledo). Approximately 5–10 mg of the representative sample (T12S2) was placed in an alumina crucible and heated from 30 °C to 300 °C at a constant rate of 10 °C min−1 under a nitrogen atmosphere. The resulting thermogram was analyzed to identify the onset temperature of degradation, the number of distinct thermal decomposition steps, and the overall thermal stability of the compound.
-
Salt Tolerance Test
Aqueous solutions of the synthesized gemini surfactants were prepared at concentrations corresponding to their critical micelle concentrations to ensure uniform basis for comparison. Sodium chloride (NaCl) was subsequently added in incremental amounts to each solution, followed by mixing at 2000 rpm for 10 min using a Thermo Scientific Sorvall ST 8 centrifuge. For elevated-temperature evaluations, the NaCl-containing solutions were heated under controlled conditions and visually inspected for the onset of precipitation or phase separation.
Micellization and aggregation studies
-
Surface Tension Measurement
Surface tension measurements of the synthesized gemini surfactant solutions were performed using a Du Noüy ring tensiometer (precision ± 0.1 mN m−1). Interfacial behavior was evaluated at controlled temperatures of 25 °C, 35 °C, and 45 °C. The instrument was calibrated prior to each measurement set, and all solutions were prepared with freshly deionized water. For pure water, surface tensions of 71.97 mN m−1 (25 °C), 70.00 mN m−1 (35 °C), and 68.00 mN m−1 (45 °C) were recorded, consistent with literature values. Surface tension–concentration profiles were obtained over a range of surfactant concentrations, and the critical micelle concentration was determined from the breakpoint beyond which further concentration increases did not significantly reduce surface tension. Each value represents the mean of three independent measurements, with a reproducibility within ± 4%. The platinum ring was thoroughly rinsed and flamed after each use to prevent cross-contamination.
-
Conductivity Studies
Electrical conductivities of the aqueous gemini surfactant solutions were measured using a calibrated digital conductometer (Metrohm 712; accuracy ± 1 μS cm−1). Measurements were conducted at 25 °C, 35 °C, and 45 °C to evaluate the effect of temperature on micellization behavior. For each temperature, a series of solutions with varying surfactant concentrations © were prepared in freshly deionized water. All samples were equilibrated to the target temperature using a thermostated water bath prior to measurement. Conductivity values were plotted as a function of concentration, and the critical micelle concentration was obtained from the intersection of linear regions of the conductivity–concentration plot. The degree of counterion dissociation (α) was calculated as the ratio of the slope above the CMC to that below the CMC. All measurements were performed in triplicate, yielding a maximum deviation of ± 3%, indicating high reproducibility.
-
Dynamic Light Scattering (DLS)
The hydrodynamic diameter (Dh) of micelles formed by the synthesized gemini surfactants was determined using dynamic light scattering (DLS) on a Malvern Zetasizer Nano ZS. Surfactant solutions were prepared at their CMC in deionized water and passed through 0.45 µm PTFE syringe filters to remove particulate impurities. Measurements were conducted at 25 °C after equilibrating samples for 10 min. Data were acquired directly at the CMC to characterize micelles at the aggregation onset, thereby avoiding contributions from intermicellar interactions or secondary assemblies that can arise at higher concentrations. Size distributions were analyzed to evaluate the influence of structural variables, including alkyl chain length and spacer group, on micelle dimensions.
Results and discussions
This section presents the interpretation and discussion of the experimental results concerning the synthesis, structural characterization, and physicochemical behavior of the synthesized gemini surfactants. Structural verification was performed using FTIR, 1H-NMR, and TGA, followed by the examination of micellization behavior via surface tension and conductivity measurements, from which the thermodynamic parameters ΔGmic, ΔHmic, and ΔSmic were calculated. The influence of salinity on micellization stability was evaluated through salt tolerance testing to assess performance under high-salinity conditions relevant to enhanced oil recovery applications. Micelle size distribution and aggregation behavior were further assessed using dynamic light scattering. The observed trends are analyzed in relation to molecular structure, emphasizing the influence of alkyl chain length and spacer group on self-assembly and interfacial properties. As noted in the Introduction, the TnSm naming convention is applied, where T denotes the alkyl chain length (n = 12, 14, or 16) and S refers to the number of methylene units in the spacer group (m = 2, 3, or 4). Since the same synthetic procedure was employed for all compounds, structural characterization is presented for a representative surfactant (T12S2).
Structural characterization of synthesized gemini surfactants
Fourier transform infrared (FTIR) spectroscopy
Figure 2 compares the FTIR spectra of the representative gemini surfactant T12S2 (a) and its monomeric analogue, dodecyltrimethylammonium bromide (DTAB) (b). In both spectra, prominent absorption bands at approximately 2921 and 2852 cm−1 correspond to the asymmetric and symmetric stretching vibrations of methylene (–CH2–) and methyl (–CH3) groups in the long hydrophobic tails. The bending vibrations of N–CH3 groups are observed around 1470 cm−1, while the C–N+ stretching modes of the quaternary ammonium headgroups appear in the 1250–950 cm−1 region. Weak absorption features below 800 cm−1 are attributed to Br⁻ counterion vibrations and –CH2– rocking modes.
Compared to DTAB, the T12S2 spectrum shows higher relative intensities of the alkyl stretching modes and C–N+ region, reflecting its doubled head–tail architecture and increased number of methylene and methyl groups. In both spectra, the absence of significant peaks near 3400 cm−1 confirms the lack of free hydroxyl and primary/secondary amine groups. Together, these observations verify the successful synthesis of the quaternary ammonium structure and integration of long alkyl chains in T12S214,34,35.
Proton nuclear magnetic resonance (1H-NMR) spectroscopy
Figure 3 presents the 1H-NMR spectra of the T12S2 synthesized gemini surfactant (Fig. 3a) alongside its monomeric analogue, dodecyltrimethylammonium bromide (DTAB; Fig. 3b), for direct structural comparison. The gemini spectrum exhibits multiple well-resolved resonances corresponding to the characteristic proton environments of the molecule, in full agreement with its designed structure.
The α-methylene protons (C1) adjacent to the quaternary ammonium centers appear at δ 3.698 ppm (E, 2H), while the spacer –CH2– units next to the headgroups are detected at δ 3.337 ppm (G, 2H). A singlet at δ 3.098 ppm (F) integrates to 6H, corresponding to the methyl protons bound to the quaternary nitrogen [N+(CH3)2]. The β-methylene (D) and γ-methylene (C) protons of the hydrocarbon tails resonate at δ 2.384 ppm (2H) and δ 1.327 ppm (4H), respectively. The broad methylene envelope spanning C5–C11 (B) appears at δ 1.219 ppm (14H), and the terminal methyl protons (C14) give a triplet at δ 0.825 ppm (A, 3H). The full assignment with corresponding integrals is provided in Table 1.
The comparison with the monomeric DTAB spectrum (Fig. 3b) clearly highlights the structural modifications introduced in the gemini architecture:
-
Additional resonances in the δ 3.0–3.7 ppm range (E, G, F) arise from the duplicated cationic headgroups and the presence of the methylene spacer; features absent in DTAB.
-
Increased intensity of the methylene envelope (B) in the gemini surfactant reflects the two‐tail configuration, whereas DTAB contains a single hydrophobic chain.
-
The resolution and relative integrals of the α, β, and γ methylene protons reveal distinct chemical environments created by the gemini’s molecular symmetry and spacer incorporation.
These spectroscopic distinctions confirm the successful synthesis of the target gemini surfactant and unambiguously differentiate it from its monomeric analogue.
Thermogravimetric analysis (TGA)
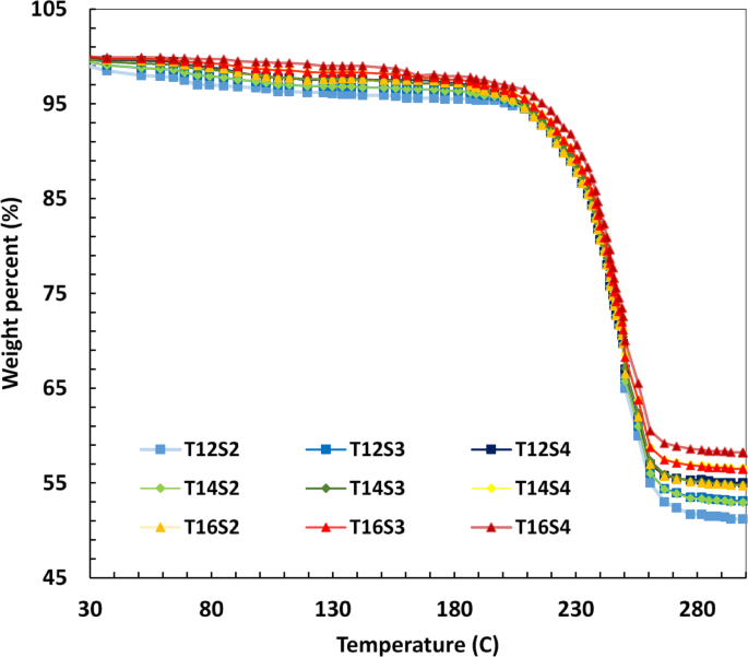
The thermal stability of the synthesized gemini surfactants (T12S2, T12S3, T12S4, T14S2, T14S3, T14S4, T16S2, T16S3, T16S4) was evaluated by thermogravimetric analysis, and the resulting thermograms are shown in Fig. 4. All samples exhibited negligible weight loss (< 2%) below ~ 170 °C, attributed to the release of adsorbed water and residual solvent. A sharp and continuous mass loss occurred between approximately 187 and 257 °C, corresponding to the main decomposition stage involving thermal degradation of the quaternary ammonium headgroups and long alkyl chains. Above ~ 267 °C, the residual mass plateaued, indicating the formation of thermally stable degradation products, likely comprising charred organic matter and bromide salts.
Increasing both the alkyl chain length (T12 → T14 → T16) and the spacer length (S2 → S4) slightly elevated the onset decomposition temperature and improved overall thermal stability. Among the series, T16S4 displayed the highest stability, whereas T12S2 showed the lowest. These findings confirm that all synthesized gemini surfactants maintain structural integrity under moderate thermal conditions, remaining stable up to ~ 167 °C, thus supporting their suitability for applications requiring elevated-temperature resilience.
Salt tolerance test
Salt tolerance of the nine synthesized gemini surfactants was evaluated at 25 °C, 35 °C, and 45 °C (Fig. 5). The results clearly show that salt tolerance increases with temperature across all samples. This enhancement can be attributed to higher thermal energy at elevated temperatures, which promotes micellization and reduces the electrostatic repulsion between cationic head groups, thereby allowing the micellar structure to withstand higher ionic strengths before precipitation occurs. Spacer length also significantly influenced salt tolerance: samples with longer spacers (S4) exhibited the highest tolerance, followed by S3 and then S2. A longer spacer increases the distance between cationic head groups, effectively reducing electrostatic repulsion and enabling more stable micelles even in highly saline environments. Moreover, flexible spacers provide conformational freedom, allowing head groups to optimally orient in the presence of counter ions, further delaying electrostatic collapse.
By contrast, increasing alkyl chain length (C12 → C16) decreased salt tolerance under otherwise identical conditions. Although longer hydrophobic tails lower the CMC in salt-free solutions, their tighter micelle core packing can hinder counterion and water molecule penetration needed to stabilize charged headgroups at elevated ionic strength. This compact packing, combined with a greater propensity for aggregation or phase separation, accounts for the observed reduction in tolerance.
Across all temperatures, T12S4 displayed the greatest salt tolerance, while T16S2 showed the lowest. These results underscore the interplay between hydrophobic tail length, spacer length, and temperature, indicating that optimal salt resistance is achieved with shorter alkyl chains, longer spacers, and elevated temperatures.
Micellization properties and CMC determination
Surface tension measurements and CMC determination
The surface-active properties of the synthesized gemini surfactants were studied by measuring the surface tension of aqueous solutions at varying concentrations and temperatures (25 °C, 35 °C, and 45 °C). Surface tension vs. concentration plots for each surfactant are shown in Fig. 6 .These plots were used to determine the CMC for each compound by identifying the breakpoint at which further surfactant addition no longer significantly reduced surface tension36.
The numerical values of CMC and surface tension at CMC (γCMC) are summarized in Table 2 corresponding directly to the curves in Fig. 6. All comparisons and analyses presented herein are based on the integrated interpretation of both graphical trends and tabulated data.
As shown in both Fig. 6 and Table 2, with the increase in length of the hydrophobic tail from dodecyl (C12) to hexadecyl (C16), a descending trend of CMC values was observed in all spacer lengths. For example, at 25 °C, the CMC value of T16S2 was 0.0268 mM, and T12S2 was much higher, at 0.83 mM. This more than one order of magnitude decrease in CMC is a result of stronger hydrophobic attractions and increased packing of longer alkyl chains, which make the molecules aggregate at lower concentrations. The same pattern holds across elevated temperatures12.
The length of the spacer also played a measurable role. Compounds with longer spacers (e.g., S4) always showed higher CMC values in the same series of the tail length. For instance, in the T12 series, CMC rises from 0.83 mM for T12S2 to 1.06 mM for T12S4 at 25 °C, indicating the reduced efficiency of micelle formation due to enhanced molecular flexibility and conformational entropy with the increasing length of the polymethylene spacers37.
Temperature condition was also a significant factor. In all systems, CMC increased with temperature; the temperature effect is likely due to the destruction of hydrophobic hydration structures and enhanced molecular mobility. Such behavior is obviously displayed, as the CMC values of T12S2 increased from 0.83 mM at 25 °C to 1.02 mM at 45 °C, and the same trend was also observed in other systems38. Similarly, the γCMC values decreased with temperature. Thus, an enhancement is observed in the interfacial adsorption efficiency at higher thermal energy38.
Interfacial parameters: surface excess concentration (Γmax) and minimum area (Amin)
The pronounced reduction in surface tension achieved by the synthesized gemini surfactants arises from their high interfacial activity, originating from their dual-tail, dual-head molecular architecture. This configuration facilitates strong adsorption at the air–water interface. At surfactant concentrations below the CMC, the molecules preferentially orient at the interface, forming a saturated monolayer prior to micellization. Given the high chemical purity of the synthesized compounds, confirmed by recrystallization and spectroscopic analyses, and their relatively low CMC values, surfactant activity can be reasonably approximated by molar concentration. This allows application of the classical Gibbs adsorption isotherm without an activity coefficient, providing a reliable method for quantifying the maximum surface excess concentration (Γmax)36.
Surface tension data obtained at concentrations below the CMC and at three temperatures (25 °C, 35 °C, and 45 °C) were used to calculate Γmax via the Gibbs equation:
where γ is the surface tension (mN m−1), C is the molar concentration of the surfactant, R is the universal gas constant (8.314 J mol−1 K−1), T is the absolute temperature (K), and n is the number of adsorbing species. For the synthesized dicationic gemini surfactants, n was set to 3, accounting for both the dicationic headgroups and their associated counterions39.
As shown in Fig. 7, three clear trends in Γmax were observed. First, at any given temperature and spacer length, Γmax decreased monotonically with increasing alkyl chain length from T12 to T16, due to the larger average molecular cross-sectional area of longer-tailed surfactants, which limits the number of molecules adsorbed per unit area at the interface. Second, Γmax decreased with increasing spacer length (S2 → S4), indicating that longer spacers disrupt compact molecular packing by increasing conformational freedom and steric bulk. Third, a slight decrease in Γmax with increasing temperature was attributed to the increased solubility and reduced interfacial affinity of the surfactant at higher temperatures, driven by the weakening of hydrogen bonding among water molecules39.
The corresponding minimum molecular area (Amin) was computed using the relation:
where NA is Avogadro’s number (6.022 × 1023 mol−1). The dependence of Amin on the same surfactant series and temperatures is shown in Fig. 8. Amin followed the reverse trend of Γmax; higher values were found for surfactants with longer hydrophobic tails and longer spacers, which was consistent with a decreased interfacial packing efficiency. Additionally, Amin values were temperature dependent, in line with the increase of kinetic energy and decrease in interface strength at higher temperatures39.
Together, these results reveal a dual impact of both structure and environment on the interfacial adsorption behavior of gemini surfactants. The noted adjustability in Γmax and Amin provides a perceptive design guide to formulating surfactant systems with desired surface activity, particularly in the areas of emulsification, detergency, and enhanced oil recovery.
Surface effectiveness and efficiency
The interfacial performance of the synthesized gemini surfactants was further assessed using two key parameters: effectiveness (πCMC) and efficiency (pC20), which provide quantitative insight into a surfactant’s capacity to lower surface tension and its adsorption behavior at the air–water interface, critical properties for applications such as emulsification and enhanced oil recovery40. The effectiveness at the CMC was calculated according to:
where γ0 is the surface tension of pure water, and γCMC is the surface tension at the critical micelle concentration. As shown in Fig. 9, πCMC increased with temperature (25 °C to 45 °C), likely due to enhanced molecular mobility and reduced hydration near the headgroups, promoting stronger adsorption at the interface. A slight upward trend was also observed with increasing spacer length (S = 2 → S = 4), suggesting that additional conformational flexibility afforded by longer spacers facilitates improved molecular packing. Conversely, increasing the alkyl chain length (T12 → T16) resulted in a gradual decrease in πCMC, possibly due to the larger molecular cross-sectional area, which limits the number of surfactant molecules able to adsorb per unit interfacial area.
The efficiency parameter pC20, calculated as:
where C20 is the surfactant concentration required to reduce the surface tension of water by 20 mN m−140. As depicted in Fig. 10, pC20 increased notably with rising temperature, which aligns with the enhancement of molecular mobility and the reduction in headgroup hydration under thermal stimulation, leading to more efficient adsorption. A moderate increase in pC20 was also noted with longer spacer lengths (S = 2 → S = 4), indicating marginal improvements in flexibility and packing density. In contrast to the πCMC trend, pC20 increased with alkyl chain length (T12 → T16), likely reflecting the intensification of hydrophobic interactions, which promote aggregation and interfacial saturation at lower concentrations.
Collectively, these findings reaffirm the superior surface activity of the synthesized TnSm gemini surfactants and underscore the tunability of their interfacial behavior through controlled variation in spacer length and hydrophobic tail architecture41.
Conductivity studies and calculation of α
The electrical conductivities of the prepared TnSm gemini surfactants were recorded with the concentration at three different temperatures, 25 °C, 35 °C, and 45 °C (Fig. 11a–i). Each plot represents a TnSm series surfactant and shows the characteristic two-region behavior of surfactant aggregation. In the pre-micellar region, conductivity is proportional to the surfactant concentration since free (dissociated) ions are also present. When the CMC is reached, rounding occurs, and after the inflection point a decrease in slope is observed, which is sensitive to the electrostatic interaction but may also be associated with a decrease in the motion of the micellar aggregates and an increase in the binding of counterions42.
The CMC was estimated from the intersection of the straight lines before and after micellization. These values closely correspond with those derived from the surface tension studies (Fig. 6), thereby mutually supporting each of the two experimental techniques used.
As anticipated, a consistent trend for the decrease in CMC was recorded as the alkyl chain length increased from C12 (T12) to C16 (T16) at all spacer systems and temperatures. For instance, the CMC of T16S2 at 25 °C was measured to be 0.032 mM, which is much smaller than that of T12S2 (0.89 mM). This pattern suggests the involvement of intermolecular hydrophobic interactions and packing of chains in the consolidation of micellization at lower concentrations.
Spacer length also influenced the micellization behavior. Surfactants with longer spacers (e.g., S4) consistently showed higher CMC compared to the ones with shorter spacers (e.g., S2), showing that with increasing conformational flexibility and a relatively low degree of pre-organization of surfactant monomers in solutions. For example, the CMC of T14S2 at 25 °C was 0.114 mM, while that of T14S4 increased to 0.161 mM.
Furthermore, temperature had a uniform effect in all systems, with the value of CMCs increasing with the increase in temperature from 25 °C to 45 °C, which can be attributed to the thermal weakening of hydrophobic hydration shells and the growing kinetic energy of the monomers, hindering cooperative aggregation. The progressive increase of CMC with temperature can be observed in the conductivity plots for all surfactants, especially for T12S3 and T14S3.
To further study the dissociation of the counterions, the degree of counterion dissociation(α) was also determined from the ratio of the slopes of the conductivity plots before and after the CMC. The values of α reflect the extent of counterion release into the solution as the surfactant molecules aggregate. A higher α value indicates a greater dissociation of counterions, which corresponds to more efficient micelle formation36,43.
Table 3 presents the α values of all surfactants at the three temperatures. It was found that, with increasing alkyl length (from T12 to T16), α values increased, implying higher degree of counterion dissociation in the micelles formed with longer hydrophobic tails. Moreover, α values were higher at higher temperatures, as the dissociation of counterions increased as the micelles became less stable at high temperatures and more dynamic. This behavior is in line with the temperature-dependent behavior observed in surface tension and conductivity12.
Furthermore, the spacer length influenced the α values, with surfactants containing longer spacers (S3 and S4) exhibiting higher α values compared to those with shorter spacers (S2), reflecting the impact of spacer.
Dependence of CMC of TnSm surfactants on temperature
To understand the thermodynamic behavior of micellization in the synthesized TnSm gemini surfactants, CMC values were experimentally determined at three temperatures: 25 °C, 35 °C, and 45 °C. The variation of ln(CMC) with temperature was modeled using the second-order polynomial expression:
where A, B, and C are constants coefficients obtained through curve fitting and T is the absolute temperature (K). As seen in Fig. 12, polynomial fits gave very good interpolation of the experimental data for all systems (R2 > 0.999), which can lead to an accurate prediction of CMC behavior at a broad range of temperatures.
In all cases, CMC increased with increasing temperature, which was interpreted as disruption of the structured hydrogen-bonding network (often described as so-called “iceberg” structures) around the hydrophobic tails in aqueous environment. This effect can be rationalized in terms of a progressive thermal weakening of hydrophobic hydration shells, resulting in partial dehydration of the hydrocarbon chains. At lower temperatures, well-organized water networks around the alkyl tails contribute an entropic driving force upon micellization. As temperature rises, this structured water is pre-disrupted, decreasing the net entropy gain and requiring higher surfactant concentrations to initiate aggregation. The increase in thermal molecular motion at elevated temperatures also leads to decreased proximity and interaction among the hydrophobic tails, thereby reducing micelle nucleation efficiency.
From a mechanistic standpoint, micellization in this system reflects a balance between the enthalpic gain from dehydration of hydrophobic groups and the entropic penalty of assembling flexible amphiphiles at elevated temperatures. In this view, the polynomial model parameters A, B, and C effectively capture molecular-scale changes in hydration/dehydration and packing efficiency as functions of both spacer and tail structure.
In addition, the alkyl tail lengthening (T12 → T16) reduced CMC in a stepwise manner, confirming the role of stronger hydrophobic interactions in stabilizing micelles. In the case of increasing the length of the polymethylene spacer (S2 → S4), the increase of the CMC is moderate and probably originates from higher molecular flexibility and lower pre-organization in the bulk phase. The coefficients A, B, and C in Eq. (5) for all TnSm surfactants are presented in Table 4.
Collectively, these results have showed the synergistic interaction between thermal energy and molecular design on micellization. The polynomial model is demonstrated as a reliable means to describe and predict micellization thresholds for gemini surfactants, while the observed trends affirm the value of the TnSm framework for tuning self-assembly behavior through targeted structural modifications.
Thermodynamic parameters of micellization
Gibbs free energy, enthalpy and entropy of micellization
The process of micellar growth in aqueous solutions of cationic gemini surfactants occurs as a result of a dynamic equilibrium of balance between two opposing forces. One is the electrostatic repulsion between polar head-groups (making large aggregates more difficult), and the other is the attractive interaction between the surfactant tail chains (inducing aggregation). This competition between the forces results in the process of micellization, in which the surfactant molecules aggregate to form a dissociated and reformed species in the volume, reaching a dynamic equilibrium. This can be explained by the mass action model of micelle formation, where such process can be considered as a reversible association-dissociation event, in which individual surfactant molecules and micellar assemblies coexist together.
The micellization process for the newly synthesized class of cationic gemini surfactants (TnSm Series) can be expressed using the following equilibrium model:
In this equation, \((TnSm)^{2 + }\) represents the gemini cation, \(Br^{ - }\) is the counterion, and \(G_{2n}^{(1 - \beta )}\) is the aggregate gemini monomer. The aggregation number, \(m\), denotes the number of surfactant molecules involved in micelle formation, and \(\beta\) is the degree of counterion binding44. The value of \(\beta\) reflects the counterions present in the Stern layer that counterbalance the electrostatic repulsion between the polar groups of surfactant molecules, which otherwise limits the micelle size and stability. Since the micellization process involves both counterion binding and dissociation, α and β are related by the following expression:
This allows direct calculation of β once α is known from conductivity measurements (see Sect. "Micellization properties and CMC determination"), and vice versa. This interdependence is very important to properly calculate the thermodynamic parameters, mainly the Gibbs free energy of micellization (∆Gmic) as both α and β influence the electrostatic environment within the micellar structure43.
The Gibbs free-energy change of micellization ∆Gmic for these gemini surfactants can be calculated using the following expression:
where R is the universal gas constant (8.314 J/K/mol), T is the temperature (in K), and CMC is the critical micelle concentration. For all the gemini surfactants studied, the values of ΔGmic are negative, indicating that micellization is a spontaneous process45.
To further analyze the energetics of the micellization, the enthalpy change ΔH mic is calculated from the temperature dependence of CMC, and the change in α. Applying the Gibbs–Helmholtz equation, ΔHmic can be represented by,
Using Eqs. (5) and (9), this can be simplified further to:
where B and C are constants obtained from polynomial fitting of the CMC vs. temperature data. The entropy of micellization, ΔSmic, can be calculated from the relation:
According to the above discussed theoretical model and experimental procedures, the thermodynamic data for the micellization process (ΔGmic, ΔHmic, ΔSmic) were calculated for all prepared TnSm gemini surfactants, and the results depicted in Fig. 13.
Figure 13 illustrate the variation of Gibbs free energy change (ΔGmic), enthalpy change (ΔHmic) and entropy change (ΔSmic) of micellization for the synthesized TnSm gemini surfactants as functions of temperature (25 °C, 35 °C, and 45 °C), alkyl chain length (T12, T14, T16), and spacer length (S2, S3, S4). These plots provide comparative insights into how molecular architecture and thermal conditions influence the spontaneity, energetic favorability, and entropy contribution of the micellization process. To better illustrate the variation of these parameters with changes in temperature, spacer length, and alkyl chain length, the data presented in the previous figure are also shown differently in Fig. 14.
As presented in Figs. 13 and 14a, ΔGmic values of TnSm surfactants are found to be all negative, which demonstrates that the micellization is a spontaneous process. The absolute value of ΔGmic increases (i.e., becomes more negative) with increasing alkyl chain length (T12 → T14 → T16) as the longer hydrophobic chains promote tail–tail interactions, which promote micelle formation and reduce the free energy barrier. These trends are consistent with previous findings that surfactants with longer hydrocarbon tails prefer to aggregate more strongly. Furthermore, ΔGmic is more negative with shorter spacer lengths (S4 → S3 → S2) due to less steric hindrance of shorter spacers and better packing of surfactant molecules, which favor micellization. Furthermore, a rise in temperature enhances the hydrophobic effect and facilitates the release of structured water molecules surrounding the alkyl chains, resulting in a more favorable free energy change. This temperature dependence is consistent with previous findings for cationic gemini surfactants46.
For the enthalpy (ΔHmic), it is clearly observed from Figs. 13 and 14b that the ΔHmic values are negative for all the systems, signifying that the micellization process is exothermic. However, the ΔHmic value decreases (i.e., becomes less negative) with rising temperature as thermal motion weakens the attractive tail–tail interaction and leads to a decrease in the enthalpic driving force for aggregation. Likewise, ΔHmic decreases with increasing spacer length because longer spacers will increase molecular flexibility but reduce compactness and enthalpic stability of micelles47. In contrast, ΔHmic becomes even more negative with the increasing length of the tail, indicating the greater strength of van der Waals to induce the hydrophobic effect with longer alkyl chains. These findings indicate that the enthalpy effects of micellization are mainly affected by the hydrophobic chain contacts and the rigidity of the surfactant molecules46.
Finally, Fig. 13 and 14c reveal that the entropy of micellization (ΔSmic) is of positive value for all systems, suggesting that this is accompanied by an increase in disorder in micellization. Trends in the observed data show that temperature leads to a monotonic decrease in ΔSmic, contrary to many conventional systems, which show a higher gain of entropy at higher temperatures. This unexpected result could reflect a partial pre-disruption of structured water at higher temperatures, leading to a decreased net entropic contribution of micelle formation. Furthermore, ΔSmic decreases with an increase in the spacer length, and such behavior may be attributed to the fact that longer spacers can make the micelles less compact and weaken the cooperative aggregation of the surfactant molecules. Finally, ΔSmic is enhanced by longer alkyl chains, as longer alkyl chains release more water molecules upon aggregation, leading to a higher entropy gain.
Enthalpy–entropy compensation
To provide more insight into the balance of enthalpic and entropic effects during micellization, enthalpy-entropy compensation plots for the TnSm surfactants were plotted48. The plot of TΔSmic values against ΔHmic at three temperatures (25 °C, 35 °C, and 45 °C) for all systems is depicted in Fig. 15.
TΔSmic was found to have nearly linear relationship with ΔHmic, in accordance with the enthalpy–entropy compensation principle found in amphiphilic self-assembly systems49,50. This behavior suggests that variations of ΔHmic are counterbalanced by changes in TΔSmic, leading to a relatively moderate and stable ΔGmic over the temperature range studied. The slope of the compensation line is associated with the so-called “compensation temperature” and reflects the dominant thermodynamic driving force. In this study, the positive slope obtained for the TnSm series suggests that the micellization process is primarily entropy-driven, with favorable disorder increase upon aggregation serving as the major contributor to the overall free energy change50.
These findings reinforce the conclusion that micellization in gemini surfactants is governed by both structural rigidity and hydrophobic chain interactions, and that entropy gain from dehydration of hydrophobic groups is a dominant factor across the TnSm series.
These results support the conclusion that in the case of micellization of gemini surfactants, both structural rigidity and the hydrophobic chain part of the free energy driven by entropy gain from the dehydration of the hydrophobic tails are the co-determined factors across TnSm series.
Micellization free energy per tail (ΔGmic,tail)
As each gemini surfactant comprises two hydrophobic tails hence it is instructive to also look at the contribution of free energy of micellization per tail. This is of particular importance to get insights on the cumulative nature of self-assembly in dicationic surfactants. The free energy of micellization per tail (ΔGmic,tail) was obtained according to:
ΔGmic,tail values for the TnSm series calculated here followed the same trend as the whole gemini molecules as plotted in Fig. 16. Surfactants with longer alkyl tails (e.g., T16) provided both higher magnitude and more negative ΔGmic,tail, indicating greater hydrophobic contributions per chain.
This behavior indicates that each tail of a gemini surfactant acts as an independent hydrophobic unit during micellization, contributing to the overall aggregation process. The micelle formation, therefore, can be considered as the net result of two coordinated but distinct hydrophobic interactions51. As the spacer length increases, the degree of hydrophobic cooperativity between the two tails may decrease slightly due to enhanced molecular flexibility, which partially disrupts water structuring (“iceberg” formations) around the hydrophobic regions.
These results underscore the importance of the dual-tail architecture in the improvement of the micellization efficiency and support the tail–tail cooperativity as a driving force controlling the thermodynamic phenomenon of gemini surfactants.
Adsorption thermodynamics and comparison with micellization
The adsorption of gemini surfactants at the air–water interface is a key step underpinning their surface activity, preceding the onset of micellization in the bulk phase. Upon addition to the aqueous phase, surfactant molecules preferentially migrate and accumulate at the interface, thereby lowering the interfacial free energy. This process is jointly governed by molecular parameters—such as the hydrophobic tail length and the number of methylene units in the spacer chain—and external factors such as temperature. To quantify the spontaneity and thermodynamic feasibility of the interfacial adsorption, we evaluated the standard Gibbs free energy of adsorption (ΔGads) using the following expression:
where C is the bulk surfactant concentration under a given surface pressure, and πCMC is the effectiveness of the surfactant at the critical micelle concentration(mN/m), Amin is the minimum molecular area at interface, (Å2), R is the gas constant (8.314 J/mol·K) and T is the absolute temperature.
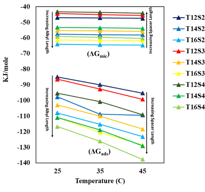
Across the studied temperature range, all TnSm surfactants exhibit negative ΔGads values, confirming that adsorption is a spontaneous process. Moreover, ΔGads is consistently more negative than the corresponding Gibbs free energy of micellization (ΔGmic), revealing a fundamental thermodynamic preference for adsorption over micellization. This implies that, in dilute systems, and particularly at or below the CMC, molecules are energetically more inclined to accumulate at the interface rather than assemble into micelles52.
The comparison between ΔGads and ΔGmic (Fig. 17) demonstrates that both become more negative with increasing temperature. This indicates that both processes are thermodynamically more favorable at elevated temperatures, which we attribute to a less stable hydration layer combined with higher kinetic energy. Notably, the change is more pronounced for adsorption than for micellization, suggesting that temperature exerts a stronger influence on bulk aggregation than on interfacial packing.
From a structural standpoint, a longer hydrophobic tail results in more negative values of both ΔGads and ΔGmic, underscoring the role of van der Waals interactions and hydrophobic driving forces. In contrast, spacer length exerts opposite effects on the two processes: ΔGmic becomes less negative with increasing spacer length, likely due to greater molecular flexibility and less efficient packing within micelles, whereas ΔGads becomes progressively more negative. This trend can be rationalized by considering that longer, more flexible spacers facilitate favorable molecular orientations at the air–water interface: increased separation between cationic headgroups reduces electrostatic repulsion, permits tilting adjustments of the hydrophobic tails, and enhances their exposure toward the air phase52,53. Even though our Amin data show an increase with spacer length (indicating looser lateral packing), the orientation-induced enthalpic stabilization and reduced headgroup repulsion can outweigh the entropy penalty caused by this reduced packing, resulting in a net more negative ΔGads53.
Such orientation–packing trade-offs are consistent with spectroscopic interface studies, where subtle changes in molecular tilt significantly lower interfacial free energy even when packing density decreases. Near-Edge X-ray Absorption Fine Structure )NEXAFS) and Ultraviolet Photoelectron Spectroscopy (UPS) investigations on organic–organic heterojunctions, such as CuPc/F16 CuPc systems, have demonstrated that orientation control at interfaces can modulate surface dipoles and energy alignment in ways that favor lower interfacial energies54.
Taken together, these findings confirm that adsorption is thermodynamically more favorable, and structurally facilitated, compared to micellization in the investigated TnSm systems. The combined influence of hydrophobic tail length and spacer-induced orientation flexibility highlights the potential for molecular design strategies to optimize surfactant performance across both surface and bulk phases.
Aggregation behavior and particle size distribution (DLS)
Dynamic light scattering (DLS) measurements were performed at CMC-equivalent concentrations to investigate aggregation behavior and hydrodynamic characteristics of the nine synthesized gemini surfactants. The intensity-weighted size distribution plots, grouped by alkyl tail length (T12, T14, T16), are shown in Fig. 18 (top row: Gaussian fits; bottom row: Lorentzian fits), with each subfigure illustrating the effect of spacer length (S2, S3, S4) within the corresponding homologous series.
Across all tail-length series, an increase in spacer length produced a systematic shift toward larger hydrodynamic diameters (Dh). For example, in the C12 series, Dh increased from 4.5 nm (T12S2) to approximately 8.5 nm (T12S4); similar trends were recorded for the C14 and C16 series. This effect is attributed to the increased conformational freedom of longer polymethylene spacers, which enhances the effective separation between quaternary ammonium headgroups, thereby reducing intramolecular electrostatic repulsion and facilitating the formation of larger, more extended micelles. These results are consistent with earlier reports of morphological transitions from compact spherical micelles to anisotropic or vesicular aggregates upon spacer elongation14,55.
At a fixed spacer length, Dh increased with alkyl tail length (T12 → T14 → T16), most pronounced for the S4 group, with T16S4 exhibiting the largest micelle size among all samples. This trend is consistent with stronger hydrophobic interactions and van der Waals forces for longer hydrocarbon chains, increasing both the stability and the core size of the aggregates.
To quantitatively characterize the size distributions, experimental data were fitted to Gaussian and Lorentzian statistical models (Fig. 17, Table 5). Gaussian fits, assuming symmetric narrow distributions, typically yielded higher coefficients of determination (R2 > 0.94) across most systems. Lorentzian fits, which account for heavier distribution tails, produced slightly lower R2 values except for T12S4, where Lorentzian performance marginally exceeded Gaussian.
All systems exhibited sharp size distribution peaks, indicating predominantly monodisperse micellar populations. The light-scattering intensity, which scales with Dh6 according to Rayleigh theory, was greater for surfactants with longer tails and spacers, corroborating the formation of larger, more dominant aggregates56. These findings confirm spacer length and alkyl tail length as primary structural determinants of aggregate dimensions and morphologies in gemini surfactant systems. The integration of statistical model fitting offers quantitative validation of the observed trends and supports the mechanistic interpretation, highlighting hydrodynamic diameter tuning via molecular design as a valuable approach to optimize performance in applications such as enhanced oil recovery and drug delivery, where aggregate size critically impacts interfacial and transport properties.
Conclusion
In this study, a series of cationic gemini surfactants (TnSm-types) possessing different hydrophobic tail lengths (T = C12, C14, C16) and polymethylene spacer groups (S = 2, 3, 4) were systematically studied. The main objective was to understand structure–property relationships that control micellization, adsorption thermodynamics and aggregation for applications in interfacial engineering, and in particular in chemical enhanced oil recovery (CEOR).
The surfactants were synthesized with a two-step quaternization method and fully characterized by FTIR, 1H-NMR, TGA, and DLS. Thermal analysis showed that these materials exhibited good to excellent thermal stability (up to approximately 170 °C), which verified their application in harsh reservoir conditions. Spectroscopy confirmed that hydrophobic chains and quaternary ammonium functionalities were indeed successfully incorporated.
Surface tension and conductivity measurements showed that the critical micelle concentration is significantly influenced by the length of tails and also by the spacer structure. The CMC reached a minimum as hydrophobic tail length increased, but longer spacers brought the CMC to higher values because of increased conformational flexibility and reduced packing ability. All these trends are in agreement with the theoretical expectations and support the modular nature of the gemini surfactants.
Thermodynamic studies indicated that micellization was a spontaneous and entropy-driven process in all systems, where ΔGmic values became more negative upon increasing temperature and raising the number of carbons in the hydrophobic chains. Enthalpy–entropy compensation analysis indicated a linear correlation between ΔHmic and T·ΔSmic, highlighting an entropy driven [mainly attributed to hydrophobic dehydration] productive process. In addition, the micellization free energy per tail (ΔGmic,tail) determination showed that each alkyl chain takes part separately and cooperatively in the formation of aggregates.
A significant feature of this study is the comparative thermodynamic analysis of adsorption and micellization. The ΔGads was significantly more negative than that of micellization, indicating the dominant role of interfacial adsorption at dilute concentrations. These results indicate that interfacial processes occur prior to bulk aggregation and can be modulated more efficiently by molecular design. The consequences for CEOR processes are substantial: the thermodynamic bias to surface adsorption promotes the rapid decrease of interfacial tension—a crucial factor in mobilizing trapped hydrocarbons.
The pronounced thermodynamic preference for adsorption over micellization observed in the TnSm gemini surfactants can be mechanistically attributed to optimized molecular orientation and spacer-induced packing effects at the interface. Longer alkyl tails enhance hydrophobic interactions, reducing the CMC, while longer and more flexible polymethylene spacers increase Amin by reducing headgroup electrostatic repulsion and allowing conformational adjustments that align hydrocarbon chains more parallel to the interface. This alignment maximizes van der Waals interactions with the oil phase, lowers ΔGads, and facilitates formation of a dense, energetically stable interfacial layer, as also supported by literature. In contrast, micellization suffers from reduced packing efficiency when spacers are elongated, making ΔGmic less negative. These interfacial adsorption characteristics are critical under EOR-relevant high salinity and temperature conditions, where rapid and strong adsorption directly translates into ultralow interfacial tensions, improved wettability alteration, and ultimately higher oil recovery efficiency. The structure–property insights gained here provide a rational basis for molecular design of next-generation cationic gemini surfactants tailored to demanding reservoir environments.
Molecular architecture dependent self-assembly was also supported by dynamic light scattering analysis. Surfactants with more extended tails and spacers showed an increase in hydrodynamic diameter, consistent with larger and possibly more stable aggregates. These observations complemented the thermodynamics results and provided alternative levers to control micelle morphology.
Collectively, these results establish a significant basis for the rational design of gemini surfactants for particular physicochemical environments. Through investigation of the effects of spacer and tail length on thermodynamics and aggregation behavior, the present study promotes the fundamental and technological evolution of surfactant systems. The findings obtained here not only extend the applicability of gemini surfactants for EOR but they can also be beneficial for using them in wider applications of interfacial science, such as drug delivery, emulsification, and colloidal stabilization.
Future studies may focus on extending the analysis to saline and high-pressure environments typical of subsurface formations, as well as exploring hybrid surfactant systems incorporating functionalized spacers or headgroups to further expand the scope of interfacial engineering solutions.
Data availability
All data will be available on academic request from the corresponding author.
References
Firoozyani, A., S. Moradi, and A.H. Mohammadi, Wettability Alteration, Interfacial Tension (Ift) Reduction and Enhanced Oil Recovery (Eor) from Carbonate Reservoirs by Natural Surfactant (Tribulus Terrestris Extract)-Tio2 Nanoparticles Flooding. Abbas and Moradi, Siyamak and Mohammadi, Amir H., Wettability Alteration, Interfacial Tension (Ift) Reduction and Enhanced Oil Recovery (Eor) from Carbonate Reservoirs by Natural Surfactant (Tribulus Terrestris Extract)-Tio2 Nanoparticles Flooding, 2022.
Lake, L., Enhanced Oil Recovery. Eaglewood Cliffs, 1989. 1.
Sheng, J.J., Modern chemical enhanced oil recovery: Theory and practice. 2010: Gulf Professional Publishing.
Holmberg, K., et al., Polymers in aqueous solution. Wiley-Blackwell, 2002.
Rosen, M.J., & Kunjappu, J. T., Surfactants and Interfacial Phenomena. 2012: John Wiley & Sons.
Menger, F. M. & Littau, C. A. Gemini surfactants: A new class of self-assembling molecules. J. American Chem. Soc. 115(22), 10083–10090 (1993).
Zana, R. & Xia, J. Gemini Surfactants: Synthesis, Interfacial and Solution-Phase Behavior, and Applications (CRC Press, 2003).
Menger, F. M. & Keiper, J. S. Gemini surfactants. Angew. Chem. Int. Ed. 39(11), 1906–1920 (2000).
Nagarajan, R. Molecular packing parameter and surfactant self-assembly: The neglected role of the surfactant tail. Langmuir 18(1), 31–38 (2002).
Zana, R. Dimeric (gemini) surfactants: Effect of the spacer group on the association behavior in aqueous solution. J. Colloid Interface Sci. 248(2), 203–220 (2002).
Kamal, M. S. et al. Impact of spacer and hydrophobic tail on interfacial and rheological properties of cationic amido-amine gemini surfactants for EOR application. Tenside, Surfactants, Deterg. 55(6), 491–497 (2018).
Alimohammadi, M. H. et al. Aggregation behavior and intermicellar interactions of cationic Gemini surfactants: Effects of alkyl chain, spacer lengths and temperature. J. Chem. Thermodyn. 44(1), 107–115 (2012).
Al-Azani, K., et al., Enhanced Oil Recovery in Heterogeneous Carbonate Rocks Using a Gemini Surfactant under Harsh Conditions. Energy & Fuels, 2025.
Pal, N., Saxena, N. & Mandal, A. Synthesis, characterization, and physicochemical properties of a series of quaternary gemini surfactants with different spacer lengths. Colloid Polym. Sci. 295, 2261–2277 (2017).
Pal, N., Saxena, N. & Mandal, A. Equilibrium and dynamic adsorption of gemini surfactants with different spacer lengths at oil/aqueous interfaces. Colloids Surf., A Physicochem. Eng. Aspects 533, 20–32 (2017).
Wang, X. et al. Effect of the nature of the spacer on the aggregation properties of gemini surfactants in an aqueous solution. Langmuir 20(1), 53–56 (2004).
Wang, Y. et al. Synthesis and properties evaluation of novel Gemini surfactant with temperature tolerance and salt resistance for heavy oil. J. Mol. Liq. 382, 121851 (2023).
Rabinovich, Y. et al. Self-assembled Gemini surfactant film-mediated dispersion stability. J. Colloid Interf. Sci. 288(2), 583–590 (2005).
Park, J.-K. & Jeong, N.-H. Synthesis of gemini type cationic surfactants and properties of spacer length. J. Korean Appl. Sci. Technol. 31(1), 1–6 (2014).
Feng, H. et al. The ultra-low interfacial tension behavior of the combined cationic/anionic-nonionic gemini surfactants system for chemical flooding. Colloids Surf., A Physicochem. Eng. Aspects 554, 74–80 (2018).
Pal, N., Saxena, N. & Mandal, A. Studies on the physicochemical properties of synthesized tailor-made gemini surfactants for application in enhanced oil recovery. J. Mol. Liq. 258, 211–224 (2018).
Yan, F. et al. Highly interfacial active gemini surfactants as simple and versatile emulsifiers for stabilizing, lubricating and structuring liquids. Angew. Chem. Int. Ed. 63(14), e202318926 (2024).
Rosen, M. J. & Tracy, D. J. Gemini surfactants. J. Surfactants Deterg. 1, 547–554 (1998).
Asefi, D., Mahmoodi, N. M. & Arami, M. Effect of nonionic co-surfactants on corrosion inhibition effect of cationic gemini surfactant. Colloids Surf., A 355(1–3), 183–186 (2010).
Shen, T. & Gao, M. Gemini surfactant modified organo-clays for removal of organic pollutants from water: A review. Chem. Eng. J. 375, 121910 (2019).
Datir, K., Shinde, H. & Pratap, A. P. Preparation of a gemini surfactant from mixed fatty acid and its use in cosmetics. Tenside, Surfactants, Deterg. 58(1), 67–73 (2021).
Xia, J. & Zana, R. Applications of gemini surfactants. In Gemini Surfactants 312–331 (CRC Press, 2003).
Bombelli, C. et al. Gemini surfactant based carriers in gene and drug delivery. Curr. Med. Chem. 16(2), 171–183 (2009).
Katari, O. et al. Gemini surfactants as next-generation drug carriers in cancer management. Expert Opin. Drug Deliv. 21(7), 1029–1051 (2024).
Makhlouf, A., Hajdu, I. & Badea, I. Gemini surfactant-based systems for drug and gene delivery. In Organic Materials as Smart Nanocarriers for Drug Delivery 561–600 (Elsevier, 2018).
Hassabo, A. G. et al. The use of cationic surfactants in the textiles industry. J. Textiles Coloration Polymer Sci. 20(2), 227–242 (2023).
Kumar, N. & Tyagi, R. Industrial applications of dimeric surfactants: A review. J. Dispersion Sci. Technol. 35(2), 205–214 (2014).
Dreja, M. et al. Cationic gemini surfactants with oligo (oxyethylene) spacer groups and their use in the polymerization of styrene in ternary microemulsion. Langmuir 15(2), 391–399 (1999).
Parikh, K. et al. Physico-biochemical studies on cationic gemini surfactants: Role of spacer. J. Mol. Liq. 206, 19–28 (2015).
Hashimzada, S. Z. et al. Surface engineered novel cationic surfactants with enhanced surface adsorption for environmental applications. J. Mol. Liq. 413, 126012 (2024).
Gao, B. & Sharma, M. M. A new family of anionic surfactants for enhanced-oil-recovery applications. SPE J. 18(05), 829–840 (2013).
Cao, X. et al. Effects of spacers on surface activities and aggregation properties of anionic gemini surfactants. J. Surfactants Deterg. 12, 165–172 (2009).
Mpelwa, M. et al. New sulfonate gemini surfactants: Synthesis and evaluation for enhanced oil recovery applications. J. Dispersion Sci. Technol. 41(14), 2091–2099 (2020).
Kuperkar, K., Modi, J. & Patel, K. Surface-active properties and antimicrobial study of conventional cationic and synthesized symmetrical gemini surfactants. J. Surfactants Deterg. 15, 107–115 (2012).
Mahmoud, S., Ismail, D. & Ghazy, E. Surface properties and biological activity of select cationic surfactants. J. Surfactants Deterg. 10, 191–194 (2007).
Tsubone, K., Arakawa, Y. & Rosen, M. J. Structural effects on surface and micellar properties of alkanediyl-α, ω-bis (sodium N-acyl-β-alaninate) gemini surfactants. J. Colloid Interface Sci. 262(2), 516–524 (2003).
Williams, R., Phillips, J. & Mysels, K. The critical micelle concentration of sodium lauryl sulphate at 25 C. Trans. Faraday Soc. 51, 728–737 (1955).
Zhang, S. et al. Micellization parameters of six gemini quaternary ammonium surfactants from measurements of conductivity and surface tension. J. Chem. Eng. Data 59(9), 2891–2900 (2014).
Majumder, S., Dhar, J. & Chakraborty, S. Resolving anomalies in predicting electrokinetic energy conversion efficiencies of nanofluidic devices. Sci. Rep. 5(1), 14725 (2015).
Zana, R. Critical micellization concentration of surfactants in aqueous solution and free energy of micellization. Langmuir 12(5), 1208–1211 (1996).
Kresheck, G. C. & Hargraves, W. A. Thermometric titration studies of the effect of head group, chain length, solvent, and temperature on the thermodynamics of micelle formation. J. Colloid Interf. Sci. 48(3), 481–493 (1974).
Hisatomi, M. et al. Thermodynamic study on surface adsorption and micelle formation of a hybrid anionic surfactant in water by surface tension (drop volume) measurements. Langmuir 16(4), 1515–1521 (2000).
Lumry, R. & Rajender, S. Enthalpy–entropy compensation phenomena in water solutions of proteins and small molecules: A ubiquitous properly of water. Biopoly. Original Res. Biomol. 9(10), 1125–1227 (1970).
Krishnan, C. & Friedman, H. L. Enthalpies of alkyl sulfonates in water, heavy water, and water-alcohol mixtures and the interaction of water with methylene groups. J. Solution Chem. 2, 37–51 (1973).
Liu, G. et al. Enthalpy–entropy compensation of ionic liquid-type Gemini imidazolium surfactants in aqueous solutions: A free energy perturbation study. J. Colloid Interf. Sci. 358(2), 521–526 (2011).
Rodríguez, A. et al. Effects of ethylene glycol addition on the aggregation and micellar growth of gemini surfactants. Langmuir 22(23), 9519–9525 (2006).
Gao, B. & Sharma, M. M. A family of alkyl sulfate gemini surfactants. 2. Water–oil interfacial tension reduction. J. Colloid Interf. Sci. 407, 375–381 (2013).
Moghadam, T. F., Azizian, S. & Wettig, S. Effect of spacer length on the interfacial behavior of N, N′-bis (dimethylalkyl)-α, ω-alkanediammonium dibromide gemini surfactants in the absence and presence of ZnO nanoparticles. J. Colloid Interface Sci. 486, 204–210 (2017).
Chen, W. et al. Organic–organic heterojunction interfaces: Effect of molecular orientation. Adv. Func. Mater. 21(3), 410–424 (2011).
Garcia, M. T. et al. Hydrophilicity and flexibility of the spacer as critical parameters on the aggregation behavior of long alkyl chain cationic gemini surfactants in aqueous solution. J. Mol. Liq. 230, 453–460 (2017).
Arkhipov, V. P. et al. Micelles and aggregates of oxyethylated isononylphenols and their extraction properties near cloud point. J. Phys. Chem. B 118(20), 5480–5487 (2014).
Funding
The authors declare that no funds, grants, or other support were received during the preparation of this manuscript.
Author information
Authors and Affiliations
Contributions
Ali Yarahmadi Experiments, Writing, Conceptualization, Analysis Ghasem Zargar Supervision, Writing, Conceptualization, Analysis Siavash Ashoori Conceptualization, Supervision Abbas Khaksar Manshad Conceptualization, Supervision.
Corresponding author
Ethics declarations
Competing interests
The authors declare no competing interests.
Additional information
Publisher’s note
Springer Nature remains neutral with regard to jurisdictional claims in published maps and institutional affiliations.
Supplementary Information
Below is the link to the electronic supplementary material.
Rights and permissions
Open Access This article is licensed under a Creative Commons Attribution-NonCommercial-NoDerivatives 4.0 International License, which permits any non-commercial use, sharing, distribution and reproduction in any medium or format, as long as you give appropriate credit to the original author(s) and the source, provide a link to the Creative Commons licence, and indicate if you modified the licensed material. You do not have permission under this licence to share adapted material derived from this article or parts of it. The images or other third party material in this article are included in the article’s Creative Commons licence, unless indicated otherwise in a credit line to the material. If material is not included in the article’s Creative Commons licence and your intended use is not permitted by statutory regulation or exceeds the permitted use, you will need to obtain permission directly from the copyright holder. To view a copy of this licence, visit http://creativecommons.org/licenses/by-nc-nd/4.0/.
About this article
Cite this article
Yarahmadi, A., Zargar, G., Ashoori, S. et al. Molecular design and thermodynamic insights into TnSm-type gemini surfactants for advanced interfacial applications. Sci Rep 15, 37097 (2025). https://doi.org/10.1038/s41598-025-21090-7
Received:
Accepted:
Published:
Version of record:
DOI: https://doi.org/10.1038/s41598-025-21090-7

















