Fig. 17
From: Thermal enhancement of ternary hybrid Casson nanofluid in porous media: a sensitivity analysis study

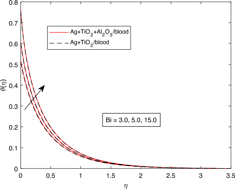
\(\theta (\eta )\) profile with Bi.
From: Thermal enhancement of ternary hybrid Casson nanofluid in porous media: a sensitivity analysis study

\(\theta (\eta )\) profile with Bi.