Fig. 19
From: Thermal enhancement of ternary hybrid Casson nanofluid in porous media: a sensitivity analysis study

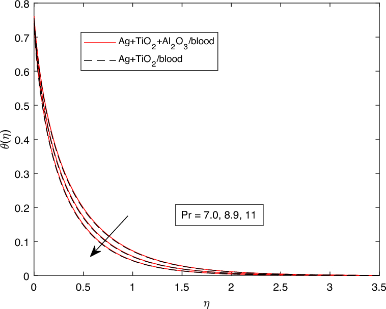
\(\theta (\eta )\) profile with Pr.
From: Thermal enhancement of ternary hybrid Casson nanofluid in porous media: a sensitivity analysis study

\(\theta (\eta )\) profile with Pr.