Fig. 24
From: Thermal enhancement of ternary hybrid Casson nanofluid in porous media: a sensitivity analysis study

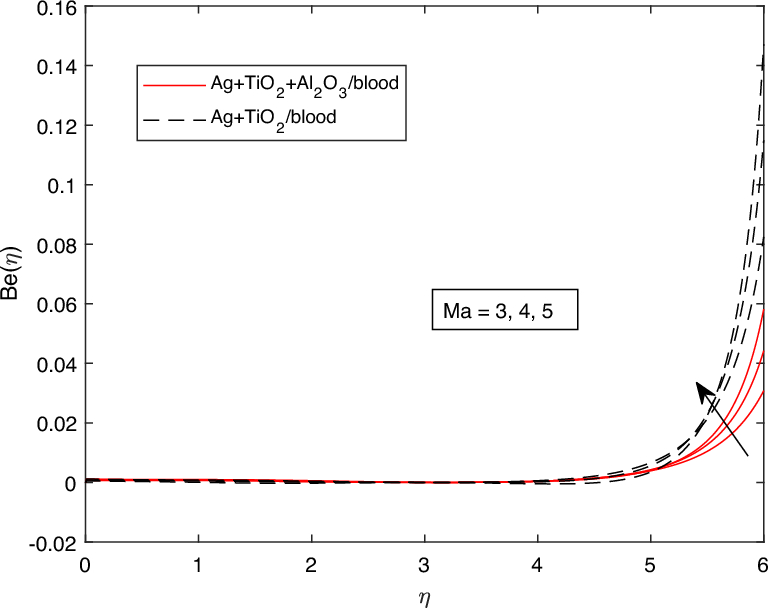
\(Be(\eta )\) profile with Ma.
From: Thermal enhancement of ternary hybrid Casson nanofluid in porous media: a sensitivity analysis study

\(Be(\eta )\) profile with Ma.