Fig. 25
From: Thermal enhancement of ternary hybrid Casson nanofluid in porous media: a sensitivity analysis study

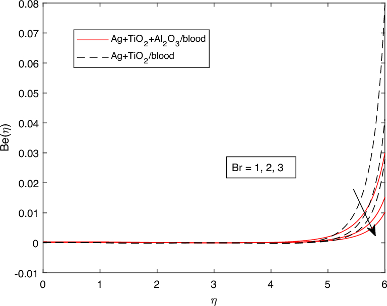
\(Be(\eta )\) profile with Br.
From: Thermal enhancement of ternary hybrid Casson nanofluid in porous media: a sensitivity analysis study

\(Be(\eta )\) profile with Br.