Fig. 34
From: Thermal enhancement of ternary hybrid Casson nanofluid in porous media: a sensitivity analysis study

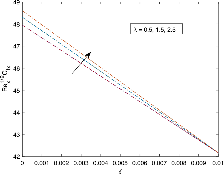
\(Re^{1/2}_{x}C_{fx}\) profile with \(\lambda\).
From: Thermal enhancement of ternary hybrid Casson nanofluid in porous media: a sensitivity analysis study

\(Re^{1/2}_{x}C_{fx}\) profile with \(\lambda\).