Fig. 4
From: Thermal enhancement of ternary hybrid Casson nanofluid in porous media: a sensitivity analysis study

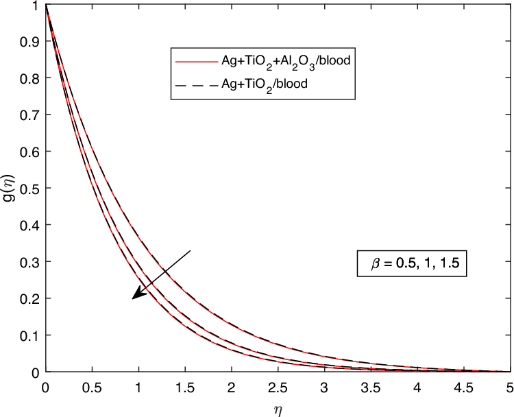
\(g(\eta )\) profile with \(\beta\).
From: Thermal enhancement of ternary hybrid Casson nanofluid in porous media: a sensitivity analysis study

\(g(\eta )\) profile with \(\beta\).