Abstract
Tourism development faces significant challenges, including ecological degradation, resource over-exploitation, and ecosystem decline. The digital economy, as a new industrial driver, has not only revolutionized tourism’s production and consumption models but also emerged as a critical force in promoting its low-carbon transition. This study examines the coupling coordination among tourism development, ecological conservation, and digital economy (TED) to advance sustainability in tourist destinations. Specifically, it evaluates the TED coupling coordination degree (CCD) across 278 Chinese cities from 2002 to 2022. Using coupling coordination model, standard deviation ellipse model and exploratory spatial data analysis, the study quantifies the spatiotemporal trends in TED’s CCD. Additionally, the obstacle degree model and geographically and temporally weighted regression model are applied to explore the influencing factors and their spatiotemporal variability. The findings reveal the following: (1) From 2002 to 2019, TED system’s CCD experienced an upward trend, followed by a decline from 2019 to 2022. (2) The center of gravity for TED coupling coordination shifted southeast (2002–2012), northwest (2012–2019), and southwest (2019–2022). (3) Significant agglomeration effects and spillover effects were observed in China’s mega city clusters. (4) Tourism development subsystems and digital economy subsystems are the primary sources of coupling and coordination obstacles within the TED system. Industrial structure, developmental potential, cultural resources, educational attitudes, and economic development are key factors that can help overcome these obstacles. Notably, consumption capacity and government support sometimes exert negative effects. This study offers both theoretical insights and practical recommendations for achieving sustainable tourism development in China’s digital economy era and provides valuable lessons for transforming and upgrading the tourism sector in other countries and regions.
Similar content being viewed by others
Introduction
The expansion of industry and population growth have intensified humanity’s negative impact on the natural environment, with climate change emerging as a critical factor affecting human society1. Once considered a “smokeless industry”, tourism is increasingly recognized as a significant source of environmental pressure, with implications for natural resources and ecosystems. Tourism carbon emissions come from both resource exploitation for attractions and tourists’ travel, leisure, and accommodation2,3,4. Consequently, tourism is a major contributor to global greenhouse gas emissions5. According to the World Travel & Tourism Council (WTTC), in 2023, tourism is projected to rely on fossil fuels (oil, coal, and gas) for 88.2% of its energy needs, accounting for 6.7% of global greenhouse gas emissions. Tourism, a key sector within the tertiary industry, accounts for approximately 8% of global carbon emissions and continues to grow at an annual rate of about 3% 6. Without effective mitigation measures, carbon dioxide emissions from tourism are projected to increase by an additional 25% by 2030 relative to levels observed fifteen years earlier7.
The digital economy, as a new model of social and economic development, plays a pivotal role in enhancing energy production and conversion efficiency while reducing carbon emission intensity. This is largely due to its utilization of data as a key production factor8. Since the concept’s emergence, there has been widespread consensus that the digital economy represents the future of economic development. By positioning data as a factor of production, the digital economy directly contributes to social production and aligns with the zero-carbon and intelligent features of emerging technologies within the context of carbon neutrality9. By improving energy use and promoting green tech, the digital economy helps shift from resource-heavy to tech-driven growth10,11. As a result, the digital economy, with its high innovation, broad penetration, and extensive coverage, has become a key driver and pathway to enhancing carbon emission efficiency.
Additionally, the digital economy fosters the creation of new industries and business models in the data sector, driving the expansion of the digital industrial chain and the development of digital industrial clusters12. Tourism, which involves complex activities such as “food, housing, transportation, travel, shopping, and entertainment” is profoundly influenced by the ongoing technological revolution and industrial transformation. In this context, the digital economy is emerging as a crucial force in advancing “digital tourism” 13. The impact of the digital economy on the tourism industry is primarily reflected in two areas: First, digital technologies mitigate the limitations of geographical boundaries on resource flows, reduce information asymmetry, and enable precise matching between tourism demand preferences and destination supply information. Through its robust resource integration capabilities, digital technology enhances the cross-border integration of tourism, promoting structural optimization and upgrading within the industry14. Second, data elements possess unique advantages—such as high replicability, non-exclusivity, and integration—which broaden the production possibilities of tourism and diversify the supply of tourism products15.
In summary, there is a strong interrelationship between tourism development (TD), ecological conservation (EC), and the digital economy (DE). However, most existing studies focus on one or two of these elements in isolation, rather than conducting a comprehensive analysis of the interconnections within the tourism development-ecological conservation-digital economy (TED) system. Notably, research on the internal coupling mechanisms and spatio-temporal synergies of this system remains limited16,17. Studying TED system coordination and evolution from multiple angles fills an important gap. Furthermore, the coupling coordination degree of multiple systems is influenced not only by the internal interactions of subsystems but also by external environmental factors, which play a crucial role in the operation and evolution of the TED system. External variables, such as inter-regional economic policies, social development, and technological innovation, can profoundly affect the coupling degree of the TED system18,19. Therefore, relying solely on internal analysis does not fully capture the dynamic evolution of the TED system; it is essential to incorporate external factors to achieve a more accurate assessment of coupling coordination. Spatial-temporal coupling coordination degree (CCD) analysis is particularly valuable for understanding how various factors influence the TED system across regions, revealing both similarities and differences in their impact. Additionally, most studies focus on provincial or larger scales, with limited attention given to city-level analysis20. By systematically comparing the influencing factors and changes in coupling degree across different cities, research can offer valuable insights for regional economic development and industrial upgrading. A comprehensive analysis of the TED system, along with an exploration of external influencing factors, holds both academic and practical significance for advancing high-quality urban economic development and achieving sustainable development goals. While many studies have explored tourism development, ecological protection, and the digital economy separately or in pairs, there is a lack of integrative reviews that critically compare their research themes, analytical frameworks, and conclusions. For example, some studies emphasize the environmental costs of tourism expansion using carbon accounting and ecological footprint analysis3,21, while others apply econometric or spatial models to assess how digital technologies reshape tourism flows or reduce emissions15,22,23. Still others focus on policy perspectives, exploring how ecological protection regulations interact with tourism growth and digital infrastructure24. These studies vary significantly in their methods and regional focuses, and their conclusions sometimes differ on the extent to which digital transformation offsets the ecological pressures of tourism. Our study builds on and seeks to integrate these fragmented perspectives.
China is not only the world’s largest domestic tourism market but also the largest source and primary destination for international tourism25. Alongside the growth of its tourism industry, China has consistently implemented policies that emphasize ecological conservation and sustainable development26, including initiatives such as sustainable development (1992), Lucid waters and lush mountains are invaluable assets (2005), high-quality development (2017), new quality productive forces (2023). Simultaneously, China’s digital economy has expanded significantly, growing from 11.2 trillion yuan in 2012 to 53.9 trillion yuan in 2023, a 3.8-fold increase, positioning the country as one of the global leaders in digital society27. However, China has also faced significant challenges during this development process, including the COVID-19 pandemic, which slowed the growth of various industries, particularly tourism, and hindered the low-carbon and digital transformation of key sectors28,29. Given these dynamics, exploring the development and evolution of China’s TED system is both timely and of significant research importance.
We investigate the coordinated development mechanism of the TED system—comprising tourism development, ecological conservation, and the digital economy—across 278 cities in China from 2002 to 2022. The analysis addresses three core questions:
-
(1)
What are the regional distribution characteristics of the coupling coordination degree (CCD) within the TED system?
-
(2)
What are the spatiotemporal evolution patterns of the TED system’s CCD?
-
(3)
What internal factors hinder the coordinated development of the TED system, and what measures can be implemented to enhance the CCD? Are there identifiable spatiotemporal evolution patterns?
By addressing these questions, the paper makes several contributions: First, it constructs a triple-system coupling coordination framework that integrates tourism development, ecological conservation, and the digital economy, advancing beyond the dual-system models prevalent in existing studies and offering a more comprehensive theoretical perspective. Second, the coupling coordination model is combined with spatiotemporal evolution modeling to systematically investigate spatiotemporal heterogeneity in both internal mechanisms and external drivers influencing TED coordination. Third, it refines the empirical approach by utilizing high-resolution panel data for 278 prefecture-level cities over two decades (2002–2022), thereby enhancing the precision and robustness of the analysis relative to prior research based on coarser spatial or temporal scales30.
The remaining sections are arranged as below. Research design and methodology details research design and methodology. Results exhibits results and analysis. Discussion exhibits research discussion. Conclusions and implications draws conclusions and implications.
Research design and methodology
Research framework
The research steps in this paper, addressing the three key questions outlined above, are as follows: First, based on existing theoretical foundations and the logical relationships within the system, the paper clarifies the potential impacts of tourism development on ecological conservation, as well as the positive role of the digital economy in promoting both tourism development and ecological conservation. We then discuss coupling mechanisms, external factors, build a theoretical framework, and design the index system. Second, to explore the spatial and temporal distribution characteristics of the TED system’s coupling relationships, this study focuses on 278 cities in China. It collects panel data from 2002 to 2022 and calculates the comprehensive values of each subsystem and the coupling coordination degree (CCD) of the TED system using the coupling coordination equation. Third, to analyze how the TED system’s coupling evolves over time and space, we use spatial analysis with geographic information system tools and exploratory data techniques. The standard deviation ellipse model in ArcGIS is used to examine trends in the gravity migration of the coupling coordination value. Additionally, the global Moran’s I index and local Moran’s I index are applied to assess the spatial correlation of the TED system’s CCD over time and space. This section reveals key features and dynamics of urban development. The paper investigates external factors that may influence the coupling development of the TED system. Fourth, we examine the potential factors influencing the coupling development of the TED system from both internal and external perspectives. The obstacle degree model is used to identify internal issues within the TED system during its development process. We also use geographically and temporally weighted regression to identify key drivers of TD, EC, and DE coupling. This study aims to identify the internal obstacles and external driving factors influencing the system, providing a foundation for proposing targeted strategies to improve the CCD. After identifying both hindering and driving factors, their spatial and temporal variations across different regions and time periods are highlighted. Finally, we propose basic principles and strategies for TED system development in Chinese cities. It also proposes differentiated improvement plans to foster coordinated and sustainable development across China. The research framework is illustrated in Fig. 1.
Analysis framework.
Research areas
As of the end of 2023, according to the China City Statistical Yearbook 2023, China comprises 285 prefecture-level cities, 4 municipalities directly under the central government, 5 autonomous regions, and 7 autonomous prefectures (including cities). Due to incomplete panel data for certain cities, this study selected 278 cities as research subjects (Fig. 2).

Source: The map was generated using ArcMap 10.8 software, which can be obtained from https://desktop.arcgis.com, without any modifications to the boundaries of the base map. Map content approval number: GS(2024)0650.
Study area. (a) geographical map of China; (b) geographical map of the study area; (c) the geographical distribution of cities within the study area.
Interaction mechanism analysis of TED system
Tourism development, ecological conservation, and the digital economy are closely interconnected, with the interactions among these three typically yielding positive effects31. For instance, many scholars highlight that the digital economy, as a green and sustainable development model, promotes ecological protection by optimizing environmental governance, enhancing resource efficiency, and fostering low-carbon technologies32,33. Methodologically, these studies often employ spatial econometric models and system dynamics simulations to quantify the positive spillover effects of digitalization on ecological indicators. Additionally, the growth of the digital economy has significantly transformed tourists’ behaviors and needs, offering them more convenient and personalized services. This not only enhances the quality of their travel experiences but also fosters ongoing technological innovations, which in turn further promote the development of the digital economy13.
However, recent scholarship increasingly points out the complex and sometimes contradictory nature of these interactions. Most emerging research draws attention to trade-offs and tensions34. For instance, panel threshold model research has shown that the expansion of digital tourism platforms may lead to overtourism, environmental degradation, or energy overconsumption, especially in ecologically fragile areas35. Furthermore, existing literature diverges in its conclusions regarding the coupling mechanisms of the TED system. Some studies argue for the presence of benign co-evolutionary dynamics, while others identify non-linear, bidirectional, or even conflictual relationships shaped by regional contexts, governance capacities, and technological maturity30.
The coupling development of the TED system is multi-dimensional and uncertain, constituting a complex dynamic process. It is influenced not only by changes within its internal subsystems but also by external factors such as technological innovation, social needs, and policy adjustments. These external factors can either promote coordination or cause conflicts within the system at different temporal points, thus altering the coupling mode and the interaction between subsystems. To address this complexity, this paper employs the techno-economic paradigm, inclusive growth theory, and sustainable development theory to examine the multi-dimensional impact of external factors on the TED system.
The techno-economic paradigm emphasizes how technological advances and shifts in economic models drive positive interactions between TD and EC within the technological space. Specifically, technological innovation stimulates the development of both tourism and ecological conservation by enhancing productivity and optimizing resource allocation, thereby fostering synergetic growth in these areas36.
Inclusive growth theory focuses not only on overall economic expansion but also on increasing participation and benefits for vulnerable groups, thereby promoting the development of TD and DE by enhancing social security. In tourism, inclusive growth enables remote areas and low-income groups to participate in and benefit from the tourism economy by promoting local community involvement, creating more job opportunities, and fostering the transmission and innovation of local culture. In the digital economy, inclusive growth supports the widespread adoption of technology and digital skill training, ensuring that people across different social levels can access the benefits of digitalization, which narrows the digital divide and promotes economic inclusion37,38.
Sustainable development theory advocates for protecting and improving the environment while meeting current needs to ensure that future generations can also meet their needs. By promoting green digital transformation, sustainable development theory encourages the digital economy to rely on low-carbon, environmentally friendly technologies and business models. It underscores the need to balance ecological protection with digital economic development, ensuring that technological progress does not come at the expense of natural resources or the ecological environment, and thus fostering the collaborative development of EC and DE 39.
After examining the internal structure and external enabling factors of the TED system, this paper constructs a theoretical framework for TED coupling coordination (Fig. 3). This framework is used to analyze the coupling relationships and dynamic changes among tourism development, ecological conservation, and digital economy.
The coupling coordination model framework of the TED system.
The entropy method
The entropy method is a multi-index decision-making approach based on information entropy theory, commonly used for objective weight assignment40. In multi-index decision-making, the entropy weight method calculates the entropy of each index to determine its weight in comprehensive evaluations. The entropy is computed using the following equations (Eq. 1 to 3):
In this context, \(\:{p}_{ij}\) represents the proportion of the \(\:i\)-th evaluation object for the \(\:j\)-th index after normalization, \(\:k\) is the normalization constant, \(\:{e}_{j}\) denotes the entropy of the \(\:j\)-th index, \(\:{w}_{j}\) is the weight of the \(\:j\)-th index, and \(\:U\) represents the synthesized level of the subsystem.
Based on the model framework outlined in Research areas, this paper develops the evaluation index system for the TED system (Table 1) and assigns weights to the indices using the entropy weight method. Tourism development includes the tourism level, which reflects the development status and potential of the urban tourism industry. Ecological conservation encompasses environmental investment and governance, which indicate the level and effectiveness of urban ecological management. The digital economy includes the industrial scale and R&D environment, reflecting both the current state and future development potential of the urban digital economy. The tourism development indicator data (EC11 to EC14) were obtained from the tourism statistical yearbooks of provinces, prefecture-level cities. The ecological conservation indicator data (EC11 to EC14) were sourced from the China City Statistical Yearbook, China Statistical Yearbook on Environment, and China Industry Statistical Yearbook. The digital economy indicator data were derived from Peking University’s Digital Financial Inclusion Index (DE14) and the China City Statistical Yearbook (DE11 to DE13, DE21 to DE24). Missing data were addressed using interpolation methods.
Coupling coordination degree model
Coupling Coordination Degree Model (CCDM) is a quantitative approach used to analyze the relationships and synergies between multiple systems. By calculating the coupling coordination value, the model assesses the intensity of interactions and the degree of coordination between systems, thereby uncovering their internal dynamics and change47. In this model, the system’s coupling degree is derived from the values of each subsystem, as demonstrated in Eq. 4.
Here, \(\:n\) represents the number of subsystems, and \(\:{U}_{i}\) denotes the value of each subsystem, with a distribution interval of \(\:\left[\text{0,1}\right]\). In this study, TD, EC, and DE are selected as the subsystems, as shown in Eq. 5.
The degree of system coordination development (\(\:D\)) is calculated using the coordination coupling degree (\(\:C\)) and the comprehensive evaluation index of each subsystem (\(\:T\)). The value of \(\:T\) is determined by multiplying the standardized value of each subsystem by its weight, with the weight of each subsystem assumed to be equal. The calculation equation is given in Eq. 6.
Based on relevant studies, the degree of system coordination development (\(\:D\)) is categorized into ten levels48, as shown in Table 2.
Standard deviation ellipse model
The standard deviational ellipse (SDE) is a spatial analysis method used to explore the directional distribution, dispersion, and concentration trends of geographic elements49. In this paper, four key parameters of the SDE are calculated using ArcGIS 10.8: the orientation angle (\(\:\alpha\:\)), which indicates the main direction of TED distribution; the major axis (\(\:Y\)) and minor axis (\(\:X\)), which represent dispersion along the primary and secondary directions; and ellipticity (\(\:e\)), which reflects the degree of directional concentration. These parameters help reveal the spatial evolution patterns and directional characteristics of TED. The equations for these calculations are provided in Eq. 7 to 11:
In this equation, \(\:({x}_{i},{y}_{i})\) represents the coordinates of element \(\:i\), while \(\:(\stackrel{-}{x},\stackrel{-}{y})\) denotes the mean center of element \(\:i\). The parameter \(\:\alpha\:\) refers to the azimuth of the standard deviational ellipse, and \(\:{SD}_{x}\:\)and \(\:{SD}_{y}\) are the standard deviations along the short and long axes of the ellipse, respectively. The symbol \(\:e\) represents the ellipticity of the standard deviational ellipse, and \(\:n\) is the total number of study areas.
Exploratory Spatial data analysis
Exploratory spatial data analysis (ESDA) employs statistical methods to construct spatial models and investigate potential spatial correlations and variation patterns of variables50. In this study, the global Moran’s I index and local Moran’s I index are utilized to analyze the spatial autocorrelation of CCD in the TED system. The equation for the global Moran’s I index is presented as follows:
In this context, \(\:{S}_{0}=\sum\:_{i=1}^{n}\sum\:_{j=1}^{n}{w}_{ij}\), where\(\:\:n\) represents the total number of spatial units, \(\:{x}_{i}\) and \(\:{x}_{j}\) denote the attribute values of the \(\:i-th\) and \(\:j-th\:\)spatial units, \(\:\stackrel{-}{x}\) is the average attribute value of all spatial units, and \(\:{w}_{ij}\) indicates the spatial weight value.
The equation for the local Moran’s index is presented as follows:
When \(\:{I}_{i}\) is greater than 0, it indicates that high (or low) values of a spatial unit are surrounded by similarly high (or low) values. Conversely, when \(\:{I}_{i}\) is less than 0, it signifies that high (or low) values of a spatial unit are surrounded by low (or high) values. While the Moran scatter plot illustrates the distribution of spatial units based on this relationship, it cannot validate the local Moran’s index for individual regions or depict the radiation effects within each area. The local indicators of spatial association (LISA) clustering map addresses this limitation, with its corresponding test formula provided as follows51.
Obstacle degree model
The obstacle degree model (ODM) supports decision-making in the TED system by identifying and quantifying internal obstacles. It not only measures the extent to which each factor hinders system development, but also identifies key limiting factors that should be prioritized for targeted intervention. These features make ODM particularly well-suited for diagnosing complex systems with multiple interacting variables52. The process for calculating the obstacle degree is as follows:
\(\:{O}_{j}\) represents the obstacle degree of the \(\:j-th\) index within the \(\:i-th\) subsystem of the CCD in the TED system. \(\:{F}_{ij}\) indicates the contribution of the \(\:j-th\) index to the overall goal, while\(\:\:{I}_{ij}\) reflects the deviation of each indicator, representing the difference between the actual value and the optimal value. This deviation is quantified as the difference between 1 and the standardized value \(\:{Y}_{ij}.\).
Geographically and temporally weighted regression model
The geographically and temporally weighted regression (GTWR) model combines geographically weighted regression (GWR) with a time-weighted model to analyze spatio-temporal data. It is designed to uncover the heterogeneity in relationships between variables across both space and time. By simultaneously incorporating spatial and temporal weights, GTWR captures the non-stationarity of these relationships more effectively than GWR (which only accounts for spatial heterogeneity) and temporally weighted regression (TWR, which only accounts for temporal heterogeneity). This integrated approach improves model performance and provides a better fit for data exhibiting spatio-temporal variability53. The regression equation for GTWR is presented in Eq. 17. To ensure the robustness of the results, we conducted the global Moran’s I test, ordinary least squares (OLS) regression, and a collinearity diagnosis. We further compared the GTWR model with the GWR and TWR models, confirming that the GTWR model provided superior fitting accuracy in our case study.
Where \(\:{CCD}_{i}\) is the dependent variable at position \(\:i\), \(\:{x}_{it}\) is the\(\:\:k\)-th explanatory variable at observation point \(\:i\), \(\:{\beta\:}_{k}\) represents the estimate of the \(\:k\)-th parameter, which is a function of both spatial and temporal positions, and \(\:{\beta\:}_{0}\left({u}_{i},{v}_{i},{t}_{i}\right)\:\)is the intercept term at position \(\:\left({u}_{i},{v}_{i}\right)\) and time \(\:{t}_{i}\). \(\:{\beta\:}_{k}\left({u}_{i},{v}_{i},{t}_{i}\right)\:\)is the regression coefficient for the \(\:k\)-th variable at position \(\:\left({u}_{i},{v}_{i}\right)\:\)and time \(\:{t}_{i}\), while \(\:{\epsilon\:}_{i}\) is an independently distributed error term, following a normal distribution with a mean of 0 and variance \(\:{\sigma\:}^{2}\).
Results
TED subsystem comprehensive development indices calculation and analysis
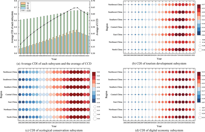
Based on Eq. 1 to 3 and Table 1, this paper calculates the comprehensive development indices (CDI) and coupling coordination degree (CCD) for the TED subsystems. As shown in Fig. 4a, the trends of the three subsystems in the TED system align closely with the trend of the CCD value. Specifically, the CDI values of the three subsystems and the CCD increased from 2002 to 2019, but declined from 2020 to 2022. CCD values increased to 0.648 from 2002 to 2019, and then dropped to 0.597 in 2022. Among the subsystems, the CDI of EC is significantly higher than that of TD and DE, with TD and DE exhibiting almost identical values. During the initial phase of subsystem development (2002–2005), the CDI of DE was higher than that of TD. However, as the subsystems continued to evolve, TD surpassed DE in CDI from 2006 to 2022. As the TED system developed, the gap between the subsystems gradually narrowed, indicating that the coupling coordination within the system still has room for improvement. From 2020 to 2022, the outbreak of COVID-19 exacerbated this gap, with TD and DE being more adversely affected by the pandemic than EC. Consequently, the pandemic led to a further widening of the gap between subsystems, a significant decrease in the coupling and coordination degree of the TED system, and a decline in the CCD.
The CDI results of each subsystem.
Based on the geographical divisions of China, this paper categorizes the country into six regions: Northwest China, Southwest China, Southern China, and others, to analyze the temporal and spatial differences in the CDI of each subsystem (Fig. 4b, c and d). In the thermal bubble diagrams, bubble size and color indicate CDI values, visualizing regional development. It is evident that in the development of the TD subsystem (Fig. 4b), East China has experienced significantly faster growth than other regions, placing it in the first tier. In contrast, Southern China and North China show relatively slower development, positioning them in the second tier. While Southwest China and Central China also lag behind, they have made notable progress, whereas Northwest China and Northeast China have shown the least development. The peak of TD subsystem development occurred between 2017 and 2019, with CDI values ranging from 0.29 to 0.37. Following the onset of COVID-19, the CDI values for all subsystems began to decline, as shown in Fig. 4a. However, during this period, East China, Southern China, North China, Central China, and Southwest China experienced a relatively smaller decline and demonstrated greater resilience.
Due to the advanced development of the EC subsystem, its regional development trend is generally at a higher level compared to the TD and DE subsystems. Specifically, Southern China had the highest CDI in 2016, exceeding 0.64. The peak CDI values for the EC subsystem are concentrated between 2016 and 2021, with this period representing the longest duration of peak values among the three subsystems. The EC subsystem consistently outperforms the other subsystems in both peak CDI values and the duration of peak levels. Notably, the EC subsystem shows greater resilience to the impacts of the COVID-19 pandemic. While Fig. 4a illustrates the pandemic’s effect on all subsystems, the EC subsystem maintained a CDI level in 2020 comparable to that of 2019. This resilience continued into 2021, with nearly half of the regions sustaining pre-pandemic development levels and a relatively stable trend despite the ongoing pressures. The delay in the pandemic’s impact on the EC subsystem may be attributed to two factors: first, the relatively minimal direct effect of the pandemic on this subsystem, and second, China’s emphasis on ecological civilization construction, which includes policies and regulations designed to address public emergencies. A more detailed analysis of this phenomenon will be presented in Sect. 4.1.
The overall development level of the DE subsystem is comparable to that of the TD subsystem, while its development trend aligns more closely with that of the EC subsystem. In terms of the DE subsystem, East China and North China exhibit the highest development rates, with both regions’ CDIs reaching 0.23 first, and North China being the first to reach 0.26. In contrast, the development levels of Northwest China and Northeast China are lower, as reflected in their shorter durations of peak CDI and weaker resilience to the impact of the pandemic. Compared to the other two subsystems, the CDI peaks of the DE subsystem are more concentrated, with most values maintained from 2017 to 2020. This pattern reveals two key phenomena: first, the development of the DE subsystem is more balanced across regions, with similar overall trends and concentrations regardless of region. Second, like the EC subsystem, the DE subsystem exhibits a time lag in response to the pandemic; however, the lag is shorter, lasting only one year.
Notably, after comparing the CDI levels and their changes, it is observed that the TED subsystem exhibits “echelon characteristics” in its spatial distribution. Generally, the eastern region performs the best, displaying a leading trend, while the central and southern regions form the second tier. In contrast, the northwestern region lags behind, a pattern consistently observed across all subsystems.
TED system CCD calculation and analysis
Figure 5 illustrates the development of the CCD of the TED system in Chinese cities from 2002 to 2022. The data reveals that, starting from a phase of mild imbalance (0.3–0.4), the coordination level of most cities gradually increased, ultimately stabilizing at a level of “barely coordinated” to “primary coordination” (0.5–0.7). After 20 years, most Chinese regions have reached primary coordination. Overall, the coupling and coordination development of China’s TED system demonstrates a pattern of “general improvement, local optimization, and regional differentiation”.

Source: The map was generated using ArcMap 10.8 software, which can be obtained from https://desktop.arcgis.com, without any modifications to the boundaries of the base map.
Spatiotemporal evolution of CCD from 2002 to 2022.
From a temporal perspective, the improvement in the coordination level of the TED system can be divided into three stages: (1) Initial Stage of Coupling Coordination Development (2002–2008): During this period, the CCD in most regions ranged from 0.3 to 0.5, indicating that the TED system was still in its early stages. The internal coupling relationships were underdeveloped, and the system had not yet reached a coordinated development level. (2) Middle Stage of Coupling and Coordination Development (2009–2015): In this phase, the CCD in most Chinese cities ranged from 0.5 to 0.6. The TED system began to establish a symbiotic coupling relationship, but this relationship was still in the process of being developed. The system remained relatively fragile during this stage. (3) Formative Stage of Coupling Coordination Development (2016–2022): By this stage, most prefecture-level cities in China had a CCD between 0.6 and 0.7, reflecting a more mature coupling and coordination relationship. Notably, Shanghai Municipality’s CCD exceeded 0.9 in 2018 and 2019, indicating high-quality coordination. Additionally, Beijing (2013–2022), Shanghai (2011–2017, 2020–2022), and Chongqing (2019) municipalities maintained a CCD between 0.8 and 0.9, demonstrating strong coupling relationships. However, in the second half of this stage, the COVID-19 pandemic disrupted the system, leading to a decline in the CCD across various cities. Despite this, the level of coupling and coordination remained higher than during the middle stage. In summary, the CCD of the TED system in Chinese cities steadily increased from 2002 to 2019. However, from 2020 to 2022, “Black Swan” events, such as the COVID-19 pandemic, caused a decline in CCD, although the system continued to maintain barely coordination.
CCD proportion in the TED system of Chinese cities.
Figure 6 supports the previous conclusions, illustrating that the CCD in Chinese cities has generally increased over time. In 2002, most cities were at the mild imbalance level, with only a few reaching near imbalance or higher. By 2007, most cities had reached the near imbalance level. From 2007 to 2017, the pattern of urban CCD evolution remained consistent. Between 2007 and 2012, urban CCD transitioned from near imbalance to barely coordinated, and from 2012 to 2017, it progressed from barely coordinated to primary coordination. From 2017 to 2019, the pace of development slowed, possibly due to a short development period or a developmental bottleneck in the TED system. During this time, the proportion of cities at intermediate coordination increased, but the overall trend did not significantly change compared to the previous period. In 2022, as shown in Fig. 5, the COVID-19 pandemic reduced the coupling degree of urban TED systems in China. The CCD level in 2022 was similar to that of the period between 2012 and 2017, with most cities being barely coordinated, although a small number reached primary coordination. A few cities were able to maintain intermediate coordination despite the pandemic’s impact.
From a spatial perspective, the evolution of CCD across different regions reveals that coastal areas generally experience faster rates of CCD enhancement, positioning them as the “leaders” in the high-quality coupling development of the national TED system (Fig. 5). Additionally, urban agglomerations such as the Beijing-Tianjin-Hebei region (Beijing, Tianjin), the Yangtze River Delta (Shanghai, Suzhou, Hangzhou), the Pearl River Delta (Guangzhou), and the Chengdu-Chongqing city cluster (Chongqing) exhibit faster improvements in CCD. These regions benefit from strong economic foundations, advanced environmental protection strategies, robust digital infrastructure, and well-established tourism industries. As a result, their central cities have consistently led the national TED system’s coupled development. These urban agglomerations have not only reached levels of barely coordinated (0.5–0.6) to intermediate coordination (0.7–0.8) but have also achieved high-quality coordination (above 0.8), contributing significantly to driving regional development. Overall, the spatial distribution of CCD in Chinese cities reveals a clear pattern: the eastern regions outperform the western, the southern regions outperform the northern, and coastal areas outperform inland regions. This trend is particularly evident in 2008, 2015, and 2021.
It is important to note that, despite a significant reduction in CCD from 2020 to 2022 due to the epidemic, the decline between 2020 and 2021, as well as between 2021 and 2022, was more pronounced than the decline observed from 2019 to 2020. This shows a lag effect, as the epidemic’s impact on TED development was cumulative and phased. While ecological protection and the digital economy have demonstrated some resilience (TED subsystem comprehensive development indices calculation and analysis), the ongoing uncertainty and recurrence of the epidemic have intensified its negative effects on the TED system, leading to a further decline in CCD.
Analysis of CCD gravity shift
To more directly illustrate the spatial and temporal evolution of the TED system’s development level, this paper calculates the shift in the coupling coordination center of gravity using the standard elliptic difference model. Based on data from 2002 to 2022, the shift is divided into five phases: 2002–2007, 2007–2012, 2012–2017, 2017–2019, and 2019–2022, with the latter period reflecting the impact of the COVID-19 pandemic.

Source: The map was generated using ArcMap 10.8 software, which can be obtained from https://desktop.arcgis.com, without any modifications to the boundaries of the base map.
CCD gravity shift. (a) Variation in the standard deviation ellipse of CCD from 2002 to 2022; (b) Dimensional deviation of the CCD; (c) Longitudinal deviation of the CCD; (d) Center of gravity deviation of the CCD.
Figure 7a illustrates the spatial-temporal shift of the CCD center of gravity in the TED system across cities. As shown in Fig. 7b, the dimensional shift of the center of gravity reveals that, from 2002 to 2012, the center shifted from north to south. From 2012 to 2019, it moved from south to north, and from 2019 to 2022, the trend reversed again, with a shift from north to south. In terms of longitudinal deviation, Fig. 7c shows that, between 2002 and 2012, the center of gravity shifted from west to east. However, from 2012 to 2022, unlike the dimensional shift, the center of gravity continued to move from east to west. Figure 7d displays the trajectory of the center of gravity, highlighting the changes in both longitude and latitude. It reveals that from 2002 to 2007 and from 2007 to 2012, the center of gravity shifted southeastward, with a stronger southward shift from 2007 to 2012 and a weaker eastward shift. Similarly, from 2012 to 2017 and from 2017 to 2019, the center of gravity shifted northwest, with a more pronounced migration from 2017 to 2019 in both longitude and dimension. Between 2019 and 2022, the trajectory of the CCD center of gravity shifted southwestward.
Local auto-correlation analysis of CCD
We applied ESDA to further examine the spatial characteristics of CCD in the TED system. Using a spatial weight matrix based on queen contiguity, we calculated the LISA for selected cities to test and illustrate the spatial local autocorrelation of CCD. To enable clearer comparisons, we selected 2002, 2012, 2019, and 2022 as the focal years for analysis. The LISA cluster map identifies four types of spatial clustering: High-High (HH), High-Low (HL), Low-High (LH), and Low-Low (LL). HH indicates that both the city and its surrounding cities exhibit high CCD values. HL signifies that the city has a high CCD, while the surrounding cities have low CCD values. Conversely, LH reflects a city with low CCD surrounded by cities with high CCD values. Finally, LL represents low CCD values for both the city and its surrounding cities.
Figure 8 illustrates the changes in urban agglomeration types within the study area over time. LL and LH clusters were predominantly concentrated in central, northwestern, and northeastern China, with this pattern being particularly evident in 2002 and 2012. In contrast, HH and HL clusters were primarily located in the southwestern, southeastern, and eastern coastal regions of China during the same years. However, by 2019 and 2022, the distribution of HH and HL clusters exhibited a noticeable shift toward northern China, with a pronounced concentration of HH clusters in the northern region emerging in 2019. In 2022, a significant concentration of LL clusters appeared in the southeastern coastal areas, potentially reflecting the substantial impact of the COVID-19 pandemic during that period.
Notably, the agglomeration of HH and LH clusters is primarily concentrated in major urban megaregions. These include the Beijing-Tianjin-Hebei region (2019, 2022), the Yangtze River Delta (2002, 2012, 2019, 2022), the Pearl River Delta (2002, 2012), and the Chengdu-Chongqing city cluster (2002). This finding supports the hypothesis that China’s major urban agglomerations significantly contribute to the development of CCD in adjacent areas. Moreover, the results indicate that a city with a high CCD can generate both agglomeration and spillover effects, thereby fostering the development of surrounding cities. This underscores the pivotal role of key urban centers in driving regional coordinated development.

Source: The map was generated using ArcMap 10.8 software, which can be obtained from https://desktop.arcgis.com, without any modifications to the boundaries of the base map.
LISA cluster maps for CCD of the study area.
Identification of internal influencing factors based on ODM
To identify the factors hindering the development of the CCD in the TED system, the ODM was applied. The years 2002, 2012, 2019, and 2022 were selected as time points to calculate the obstacle indices within the system. Using the subsystem indicators listed in Table 1, each indicator’s obstacle degree was determined. The ten primary obstacle indicators were then identified and visualized using radial histograms, as shown in Fig. 9.
The analysis reveals that the TD subsystem exhibits the most significant coupling coordination obstacle factors. Across the four time periods, multiple indicators within the TD subsystem consistently rank among the top five in terms of obstacle degree. For instance, indicator TD13 ranked highest during the first three periods (26.3, 24.4, 24.1) and dropped to second place in 2022, despite a reduction in its obstacle index to 22.6. Similarly, TD14 showed comparable trends with obstacle indices of 25.1, 23.7, 22.5, and 22.6 over the respective periods. Tourism income has emerged as the most critical factor hindering the development of the TED system. Compared to the DE subsystem, the EC subsystem displays a lower obstacle index, particularly in 2002 and 2022. However, in 2012 and 2019, the primary obstacle factors of the TED system were concentrated within the TD and EC subsystems.
As shown in Fig. 9, although the TD subsystem exhibits the highest obstacle degree, its peak values consistently decrease over time. This trend suggests that the TD subsystem possesses a certain capacity for adjustment, gradually reducing its negative impact on the TED system. In contrast, the DE subsystem, despite having a lower obstacle index, shows a slow decline in its values across the time periods, with an increase observed between 2012 and 2019. This indicates that without timely and effective intervention, the DE subsystem could become a significant challenge to achieving the coupling and coordinated development of the TED system.
Obstacle degree of influencing factors in 2002, 2012, 2019 and 2022.
Figure 10 illustrates the geographical distribution of obstacle degrees across subsystems. The left vertical axis represents the regions of China, while the right vertical axis indicates the obstacle degree of each subsystem. The horizontal axis illustrates the proportional relationship between the two. Among all subsystems, the TD subsystem exhibits the highest obstacle degree, followed by the DE subsystem and the EC subsystem. In 2002, 2012, and 2022, the TD subsystem showed the greatest level of impairment, whereas in 2019, the DE subsystem had the highest degree of impairment. The EC subsystem consistently exhibited the lowest obstacle levels. Geographically, the obstacle degree demonstrates a clear pattern, decreasing progressively from east to west and from north to south across all four years.
Obstacle degrees of the three subsystems in different areas in 2002, 2012, 2019 and 2022.
Overall, the evolution of obstacle factors within the TED system shows minimal variation, suggesting that the system’s obstacle degree has plateaued and is unable to self-adjust through internal mechanisms. This raises an important question: what types of external interventions can effectively enhance the CCD of the TED system? Additionally, it prompts further investigation into the temporal and spatial patterns of these variables to better understand their dynamics.
Identification of external influencing factors based on GTWR model
External influencing factor selection
As outlined in Interaction mechanism analysis of TED system, the theory is described and the model is presented in Fig. 3. This study selects factors that may have a potential impact on the TED system. The industrial structure and developmental potential of the tertiary sector reflect the informatization level of a region, which, in turn, influences the TED system, aligning with the concept of the techno-economic paradigm. Similarly, cultural resources, educational attainment, and healthcare standards contribute to the development of the TED system by embodying the core principles of inclusive growth. Consumption capacity, government support, and economic development are key indicators of sustainable development theory, encompassing both economic growth and environmental protection, and also significantly affect the TED system. Therefore, eight variables are selected as key factors influencing the TED system, as shown in Table 3.
Model evaluation
Section TED subsystem comprehensive development indices calculation and analysis to TED system CCD calculation and analysis demonstrate that the CCD of the TED system exhibits significant spatiotemporal heterogeneity. To examine the influence of various variables on the TED system across Chinese cities, this paper employs the GTWR model. To ensure the accuracy of the model estimation, we first conducted correlation and multicollinearity tests on the index data prior to the regression analysis.
The spatial correlation of CCD in China from 2002 to 2022 is analyzed using the geographical distance matrix as the spatial weight matrix. Table 4 presents the results of the global Moran’s I test for CCD in 278 cities from 2002 to 2022. The analysis of global spatial autocorrelation based on the Moran index reveals a clear spatial clustering effect across all cities. Additionally, the P-values for all tests were less than 0.01, indicating a statistically significant result at the 1% level. This suggests that the spatial distribution of CCD is not random and that there is a strong spatial correlation among provinces and regions.
To identify the external factors influencing the CCD in urban agglomerations, the least squares method was initially applied to calculate the basic regression relationship between the TED system’s CCD and each potential impact factor. Based on this analysis, a factor screening process was conducted. As shown in Table 5, the variable representing medical standards did not pass the regression test, indicating a weak correlation. Therefore, this variable was excluded from further analysis.
To address potential collinearity between variables, a multicollinearity test was conducted. The results, presented in Table 6, indicate that the maximum variance inflation factor (VIF) for any explanatory variable is 2.98, all of which are below the threshold of 10. This suggests that multicollinearity is not a significant issue in the model, and the variables are sufficiently independent for further analysis. The data for the relevant variables were obtained from the China City Statistical Yearbook. Missing data were addressed using interpolation methods.
To compare different models, we use \(\:{R}^{2}\), adjusted \(\:{R}^{2}\), \(\:AICc\), and \(\:RSS\) as evaluation criteria, where \(\:RSS\) represents the residual sum of squares. In model selection, higher \(\:{R}^{2}\) and adjusted \(\:{R}^{2}\) values, along with lower \(\:AICc\) and \(\:RSS\) values, indicate better model fit.
The results, presented in Table 7, indicate that the OLS model, which does not account for spatial relationships, has the poorest fit. In comparison, the temporally weighted regression (TWR) and geographically weighted regression (GWR) models exhibit better fitting performance. The GTWR model, with a \(\:{R}^{2}\) value of 0.944, an adjusted \(\:{R}^{2}\) of 0.944, an \(\:AICc\) of -29,247.1, and an \(\:RSS\) of 2.602, demonstrates a significantly superior goodness of fit compared to the other three models. Therefore, the GTWR model is selected for the regression analysis in this study.
Spatiotemporal heterogeneity of CCD external influencing factors
Figure 11 presents the variation in each influencing factor over time, depicted through a diamond box plot. The box plot illustrates the data distribution, including the mean and median values. In terms of the industrial structure’s impact on the CCD of the TED system, it is evident that the industrial structure exerts a positive influence on CCD, with the degree of impact generally increasing over time. Except for the years 2006, 2007, 2014, and 2019, the influence has shown an upward trend during other periods. Over the 20-year span, the regression coefficient for industrial structure increased from 0.15 (the average for all periods) to approximately 0.6. This indicates that, among the seven variables, industrial structure has the most significant positive impact on development.
Development potential generally has a positive impact on CCD, although its influence is weaker than that of industrial structure. Notably, the box plot reveals that the data dispersion was relatively large from 2005 to 2009, while it was smaller from 2014 to 2017. This pattern further highlights the stability of the influencing factors during the 2014–2017 period.
The influence of cultural resources on CCD also follows a positive trend, but its impact decreases over time. In 2002, the influence weight of cultural resources was 0.35, but by 2004, it had dropped to just 0.06. Afterward, the impact weight remained relatively stable. From 2019 to 2022, it declined further to 0.02.
Educational attainment also exerts a positive influence on CCD. Notably, between 2002 and 2004, the influence of educational attainment increased significantly, rising from less than 0.1 to around 0.3. Over time, from 2006 to 2016, the weight of this factor followed a “W” shaped trend. Between 2013 and 2018, the influence of educational attainment became more stable, maintaining a value of approximately 0.35. However, from 2019 to 2022, the weight declined again, ultimately reaching around 0.25.
Consumption capacity exerts the most significant impact on CCD, with its influence factor weight ranging from − 10 to 13. Throughout the study period, the impact of consumption capacity alternates between positive and negative, indicating that its effect on CCD varies across different time intervals. Specifically, in 2004, 2009, and 2010, the box plot shows a portion of the data below zero, indicating a negative impact on CCD during these years. In contrast, in other periods, consumption capacity has both positive and negative effects on CCD. Notably, compared to other variables, the consumption capacity has the smallest box plot area, signifying a higher concentration of data, particularly evident between 2020 and 2022. Additionally, unlike other variables, the variation in the influence weight of consumption capacity is more complex, further highlighting the diverse nature of its impact.
While the changes at each time point are generally small, government support exhibits an “M-shaped” fluctuation pattern. Additionally, the average change amplitude of government support is lower compared to cultural resources. Notably, from 2016 to 2022, the diamond-shaped box area representing government support begins to expand, indicating increased data dispersion and greater variability in the influence of government support across different cities. Furthermore, the impact of government support is not consistently unidirectional. In 2002, 2004, and from 2013 to 2022, government support shows both positive and negative effects across different cities.
Compared to the other six influencing factors, the change curve of economic development is smoother and more predictable. Overall, economic development exhibits an “M-shaped” trend. From 2002 to 2006, the influence weight increased from 0.1 to approximately 0.9. Between 2006 and 2014, this weight declined steadily to around 0.3. From 2014 to 2022, the influence weight followed a pattern of increase, decrease, and subsequent increase, with a particularly noticeable decline between 2020 and 2021.
Temporal variation in the regression coefficients of influencing factors.
Figure 12 illustrates the spatial distribution of the seven influencing factors. The spatial influence weights follow a clear pattern. Industrial structure, developmental potential, and cultural resources all generally show increasing influence weights from west to east, with some variation. Specifically, both industrial structure and developmental potential have a positive impact across all regions, while cultural resources exert a negative influence on the CCD in certain western regions. Additionally, high-weight areas vary by factor. The high-weight area for industrial structure is primarily concentrated in the eastern and northeastern coastal regions, with values exceeding 0.325. Developmental potential peaks mostly in eastern coastal regions (0.152–0.172), with some areas in Northeast China. Cultural resources, on the other hand, show a concentration of high-weight areas in the northeastern region, but have smaller influence weights (0.067–0.087).
Factor weights of educational attainment and economic development share similar spatial patterns: positive influence increasing from southwest to northeast. However, there are some differences in their regional distribution. Educational attainment shows a significant influence in the northeastern border region, with weights ranging from 0.037 to 0.042. In contrast, the weight of the economic development factor does not peak in this area. Instead, peak values for economic development are observed in certain northeastern and eastern coastal regions, with weights ranging from 2.37 to 2.68. Conversely, the influence of consumption capacity increases from southeast to northwest, reaching its highest value (0.58 to 0.69) in the western regions, including Xinjiang, Gansu, and Shanxi.
Compared to other influencing factors, the weight distribution of government support is more complex, exhibiting a “high at both ends, low in the middle” geographical pattern. In regions such as the Central Plains and Northeast China, the weight of this factor ranges from 0.80 to 1.19. However, in central areas like Shaanxi, Shanxi, and Gansu, the weight falls below zero, indicating a negative impact. The phenomena observed in the model are discussed and analyzed in detail in Analysis of influencing factors of the TED system.

Source: The map was generated using ArcMap 10.8 software, which can be obtained from https://desktop.arcgis.com, without any modifications to the boundaries of the base map.
Spatial distribution map of the average regression coefficients of influencing factors.
Discussion
The Spatiotemporal disparities in the CCD of TED systems across Chinese prefecture-level cities
Since the 20th century, tourism has steadily grown into a key sector supporting the global economy65. However, this rapid development has also led to significant energy consumption and environmental pollution. As a new economic model, the digital economy offers potential solutions to environmental challenges while fostering the emergence of new tourism formats. The coupling within the TED system promotes green economic development and low-carbon industrial transformation. Despite this, there is limited research on the mechanisms and spatiotemporal evolution of TED system coupling. Therefore, this study employs the CCDM and standard deviation ellipse models to examine the coupled spatiotemporal dynamics of the TED system.
Firstly, ecological protection consistently shows a significantly higher CDI composite value than the other subsystems in the TED system. This is largely attributed to the Chinese government’s ongoing focus on ecological civilization and its commitment to energy conservation and emission reduction measures66,67. China began addressing pollution during industrialization after participating in the first United Nations Conference on the Human Environment in 1972. By the 1980s, resource conservation and environmental protection had become foundational state policies. Over time, China has established a comprehensive environmental protection framework, including policy systems and administrative structures. To this day, green, low-carbon, and circular development remains a critical element of China’s development strategy, particularly in achieving carbon peak and carbon neutrality goals. Both CCD and CDI within the TED system exhibit spatial patterns, gradually increasing from west to east and north to south. This observation aligns with the findings of Lin et al.68. Additionally, major urban agglomerations such as the Beijing-Tianjin-Hebei region and the Yangtze River Delta exhibit combined effect, as also indicated by Sun et al. (2024) and Zhang, K.R. et al.69,70. In China’s development process, the eastern and southern coastal regions have experienced faster industrial growth and higher coordination levels, resulting in higher CDI and CCD values. China’s urbanization strategy, centered on the development of urban agglomerations, has shaped a comprehensive spatial pattern of “two horizontal and three vertical” axes. As a result, the TED systems of these urban agglomerations demonstrate higher coupling levels and stronger coupling capacities.
Secondly, in the temporal dimension, we observe that in the early stages of TED system development, TD subsystem’s value is slightly below that of the DE subsystem. However, in subsequent years, the TD subsystem surpassed the DE subsystem. This phenomenon can be explained by two factors: First, in the early stages of TED system development, the DE subsystem played a catalytic role in promoting the growth of the tourism sector through data technology. Over time, however, other industries, particularly tourism, began to drive the development of the digital economy in response to industry needs. Second, the growth of the DE subsystem has been hindered by limitations such as the restricted application of new technologies, low innovation capacity, and challenges in overcoming technical barriers, which have slowed its further transformation71. Between 2002 and 2019, CCD and CDI steadily rose, but declined after the 2020 COVID-19 outbreak. Notably, the decline exhibited a time lag, which was evident not only in the EC and DE subsystems but also in the coupled TED system. As demonstrated by Wang and Su72, the EC subsystem was less impacted by the pandemic compared to the real industry. Although industrial activities were reduced during the pandemic, the scope of environmental governance also diminished, yet the overall impact remained relatively low. As the pandemic persisted, the resilience of both the EC and DE subsystems gradually diminished. Consequently, under the combined influence of these subsystems, the coupling of the TED system decreased to a low level in 2020, with the rate of decline accelerating in 2021 and 2022.
Thirdly, using the SDE model, the study reveals that from 2002 to 2012, the center of gravity of the TED system shifted towards the southeast region. This shift coincides with the rapid development of transportation infrastructure in southeastern China, which facilitated tourism growth73. Additionally, the southeast region was one of the earliest to implement green development and digital economy initiatives in China, supported by robust infrastructure and policy frameworks. The high level of subsystem integration in this region contributed to its emergence as the center of gravity for the TED system during this period. From 2012 to 2019, the center of gravity moved northwest, reflecting China’s strategic push for regional coordinated development and the increasing leverage of Northwest China’s resource advantages. Key policies, such as the “Strategy for Large-Scale Development of Western China” and the “Belt and Road Initiative”, have accelerated the development of critical infrastructure, including transportation networks and communication technologies in the northwest. This infrastructure expansion has supported both tourism and the digital economy. From 2019 to 2022, following the impact of the COVID-19 pandemic, the center of gravity shifted once again, this time towards Southwest China. Provinces like Yunnan, Guizhou, and Sichuan have become popular short-distance travel options, particularly for post-pandemic health-oriented tourism. Furthermore, the “industrial migration” policy has accelerated the digital economy’s expansion in Southwest China, with the rise of smart tourism and online services driving the recovery of the regional tourism market. Together, these factors have positioned Southwest China as a key area for tourism recovery and the redistribution of the TED system’s center of gravity following the pandemic74.
Finally, we employ ESDA to further investigate the spatiotemporal evolution of the spatial relationships within the TED system. Interestingly, the results provide substantial evidence supporting several of the earlier inferences. In the analysis of urban agglomerations, we observed that HH and HL exhibited a clear agglomeration phenomenon in northern China in 2019, corresponding to the northward shift of the elliptical center of gravity in the same year. This observation offers a more detailed basis for interpreting the shift in the direction of the elliptical center, suggesting that the country focused on the construction and development of the northern region around 2019. Additionally, the LISA agglomeration map reveals both agglomeration and spillover effects in urban areas. This suggests that the formation of a regional linkage pattern, driven by urban expansion and radiation effects, along with spillover effects on surrounding areas, are key strategies for enhancing the CCD of the TED system in China75,76.
Analysis of influencing factors of the TED system
We utilize the ODM and the GTWR model to analyze the spatial and temporal variations of internal obstacles and external driving factors influencing the development of the TED system.
-
(1)
Regarding obstacles within the TED system, our analysis reveals that the TD and DE subsystems pose the greatest challenges to its development, primarily reflected in tourism income (TD12, TD13) and digital industry construction (DE12, DE13, DE14). To address these issues, local management authorities should implement measures such as promoting tourist consumption, unlocking tourism spending potential, and establishing robust tourism industry chains77. Simultaneously, strategies for expanding the digital industry, monetizing digital assets, advancing both digital industrialization and industrial digitalization, and fostering sustainable economic growth should be prioritized by local governments78. Additionally, while the eastern region exhibits a higher degree of coupling coordination, it also faces more significant obstacles. This finding highlights the importance of emphasizing sustainable development in regional planning and construction efforts39. The results highlight that ecological–economic coupling and coordination exert a direct influence on regional industrial development, economic resilience, and environmental governance, particularly under the pressures of structural transformation79.
-
(2)
External driving factors of the TED system: Our findings indicate that industrial structure, cultural resources, educational attainment, and economic development exert strong driving effects in northeast China but demonstrate weaker performance in the northwest and southwest regions. This discrepancy may be attributed to the Northeast’s strong industrial foundation. The robust economic base, coupled with rapid growth in manufacturing, services, and high-tech industries, has significantly promoted the coordinated development of tourism, the digital economy, and ecological conservation80,81,82,83. In contrast, the northwest urban agglomerations suffer from less diversified industrial structures and limited geographical and resource advantages, resulting in lower coupling and coordination within the TED system. These regional differences also help explain the varying influence of developmental potential. In the central region, the diversified growth of services, tourism, information technology, and cultural industries has enhanced the tertiary sector’s role in fostering synergy, thereby increasing the CCD84. By situating these findings within the broader literature, we demonstrate that regional disparities in industrial diversification and innovation capacity not only shape the efficiency of ecological–economic coupling but also influence the extent to which regions contribute to global sustainable development goals (SDG)79. Our evidence, in particular, highlights the relevance of SDG 10 (Reduced Inequalities) and SDG 11 (Sustainable Cities and Communities), showing how differentiated regional drivers generate uneven capacities for sustainable transition.
It is important to note that both consumption capacity and government support exhibit a “double-edged sword effect.” In the more mature consumer markets of northeast and southeast China, factors such as a strong economic foundation and established consumption patterns mean that a temporary increase in consumption capacity does not necessarily enhance regional coordination. Instead, it may exacerbate greenhouse gas emissions, leading to negative environmental impacts85. Similarly, challenges such as pressure for economic restructuring, inefficient resource allocation, and uneven regional development can limit the effectiveness of government support. In certain regions, the benefits of government interventions have not yet materialized, and in some cases, they have even produced adverse outcomes86. These phenomena may be attributed to principles like Parkinson’s law or the diminishing marginal utility effect. Such dynamics align with prior research that cautions against excessive reliance on market expansion or policy intervention in the absence of adequate ecological safeguards87. By emphasizing these trade-offs, this study contributes to the discourse on SDG 12 (Responsible Consumption and Production) and SDG 13 (Climate Action), underscoring the need for balanced strategies that mitigate unintended consequences while fostering coordinated regional development.
Conclusions and implications
Conclusions and suggestions
This study employs the CCDM, SDE model, ESPA, ODM and GTWR model to analyze the spatiotemporal heterogeneity of the CCD of the TED system across 278 Chinese cities from 2002 to 2022, while identifying key factors influencing this coupling coordination. The main findings are as follows: (1) From 2002 to 2019, the CDI of the TED subsystem and the overall CCD steadily increased. However, both experienced a sharp decline between 2020 and 2022, with the reduction rate displaying a time lag. (2) The geographical distribution of CDI and CCD demonstrates a pattern of “high in the east, low in the west; high in the south, low in the north”. Furthermore, major urban agglomerations exhibit higher CDI and CCD values compared to surrounding areas, reflecting a notable combined effect. (3) The center of gravity of CCD within the TED system exhibits distinct spatial and temporal shifts: it moved southeast from 2002 to 2012, then northwest from 2012 to 2019, and finally southwest from 2019 to 2022. (4) HH and HL clusters primarily occur in China’s major urban agglomerations. In 2002 and 2012, these clusters were concentrated in the central and southern regions, while in 2019 and 2022, they shifted to the northern regions. LL and Low-High LH clusters appeared in the southern region in 2022, whereas at other times, they were mainly located in the central and northern regions. (5) TD subsystem accounts for the majority of obstacle factors, with this effect being particularly pronounced in East China. (6) Factors such as industrial structure, developmental potential, cultural resources, educational attainment, and economic development positively influence CCD growth. However, consumption capacity and government support have exhibited negative impacts in certain periods or specific regions.
Based on these findings, we offer the following recommendations for relevant decision-making bodies: (1) Enhance tourism development and digital economy construction. Compared to the EC subsystem, the tourism and digital economy subsystems still have significant room for improvement. Local governments should increase investment in tourism infrastructure and promote the application of smart tourism, digital management, and emerging technologies within the tourism sector. Efforts should also be made to accelerate the establishment of local digital economy ecosystems. (2) Improve the CCD between the western and northern regions. The coupling and coordination degree of the TED system in Western and Northern China is relatively low, and there is an imbalance between subsystems. Despite the shift of the TED system’s center of gravity towards the northwest and southwest in recent years, existing policies need to continue promoting the coordinated integration of the tourism industry, ecological protection, and digital economy in these regions. The government should implement policies to promote ecotourism and digital tourism, balance ecological protection with tourism resource development, and encourage resource sharing and market integration between these regions and more developed areas through digital technologies. (3) A key strategic objective for China’s future urban planning is to foster coordinated linkages and the distinctive development of large, medium, and small cities, as well as small towns, within the framework of urban agglomerations and metropolitan areas. Efforts should focus on establishing a pattern of balanced development among urban agglomerations, enhancing intercity cooperation and exchanges, and strengthening the overall competitiveness and functionality of urban clusters. (4) Local management departments should prioritize expanding the scale of the tertiary industry while effectively preserving and utilizing cultural and educational resources. Simultaneously, strategic programs should be developed to support tourism growth and digital economy construction. Internal barriers should be addressed by leveraging external driving factors, ensuring a sustainable and dynamic development trajectory. (5) Tailor consumption and government policy support to local conditions. Consumption capacity and government support may negatively affect CCD in specific spatiotemporal contexts, possibly due to Parkinson’s law or diminishing returns. Therefore, more precise tax, subsidy, and incentive policies should be designed based on the specific needs and developmental characteristics of different regions. This approach will ensure effective implementation and impact of policies. Moreover, attention should be given to changing market demands, and a long-term incentive mechanism should be established to promote the overall development of regional economies.
Implications
Theoretical implications
This paper makes significant academic contributions by exploring the changes and influencing factors of the CCD of the TED system across 278 cities in China from 2002 to 2022, through the lens of coordinated development in “tourism development, ecological conservation, and digital economy”. First, building upon existing frameworks for coordinated development across industry, the environment, and the social economy, this paper introduces a new theoretical framework to re-examine and integrate the dynamic interactions between tourism development, ecological protection, and the digital economy. While prior research primarily focused on the unilateral effects or two-dimensional mechanisms of the TED system, this study fills a crucial gap by investigating its three-dimensional interaction, thus advancing academic research in this interdisciplinary field. Second, by analyzing the spatio-temporal evolution characteristics of the TED system, this study addresses the gap in the literature regarding the spatio-temporal heterogeneity of the system’s coordination degree, providing a theoretical foundation for future research into the multi-dimensional collaborative development of low-carbon tourism and digital economies at the local level. Finally, using the ODM and GTWR model, the paper innovatively identifies the key factors influencing the coordination degree of the TED system and their spatio-temporal changes. By identifying and analyzing the internal obstacles within the system, this study outlines measures to enhance the system’s CCD. Furthermore, it provides a novel perspective for gaining deeper insights into the dynamic mechanisms driving urban development.
Practical implications
The findings of this paper have significant practical implications for urban management, industrial policy formulation, and local economic development. The study not only reveals the varying states of coordinated development across different regions but also provides valuable data and theoretical support for local governments in managing the TED system. The analysis of the spatial and temporal distribution and evolution of coordination provides practical insights for local governments in formulating policies related to tourism development, ecological protection, and the digital economy. These insights can guide policymakers in optimizing resource allocation and fostering regional sustainable development. Furthermore, the empirical analysis based on the ODM and the GTWR model helps pinpoint regional weaknesses at different points in time, enhancing the accuracy and foresight of government tourism and ecological policy management, and promoting the balanced development of both the economy and the environment across various regions.
Limitations and future research
This study has several limitations that provide avenues for future research. First, due to data constraints, certain indicators of tourism, ecology, and the digital economy were measured using proxy variables, which may not fully capture the multidimensional characteristics of the TED system. Future research could draw on more granular data—such as tourist mobility patterns, ecological monitoring results, or firm-level digital economy metrics—to improve measurement precision. Second, external shocks, including pandemics, climate change, and global digital disruptions, were not explicitly considered. Incorporating scenario analysis or simulation methods could help assess the resilience of the TED system under such conditions. Finally, further examination of dynamic feedback loops, nonlinear effects, and threshold mechanisms among the three subsystems would deepen theoretical insights and strengthen the policy relevance of coordinated development studies.
Data availability
The data that support the findings of this study are available from the corresponding author, Chengdu University of Technology, upon reasonable request.
Abbreviations
- TED:
-
Tourism development-ecological conservation-digital economy
- TD:
-
Tourism development
- EC:
-
Ecological conservation
- DE:
-
Digital economy
- CCDM:
-
Coupling coordination degree model
- CCD:
-
Coupling coordination degree
- CDI:
-
Comprehensive development indices
- SDE:
-
Standard deviational ellipse
- GTWR:
-
Geographically and temporally weighted regression
- OLS:
-
Ordinary least squares
- GWR:
-
Geographically weighted regression
- TWR:
-
Temporally weighted regression
- ESDA:
-
Exploratory spatial data analysis
- LISA:
-
Local indicators of spatial association
- ODM:
-
Obstacle degree model
References
Tol, R. S. J. The economic impacts of climate change. Rev. Environ. Econ. Policy. 12, 4–25. https://doi.org/10.1093/reep/rex027 (2018).
Rico, A. et al. Carbon footprint of tourism in Barcelona. Tour. Manag. 70, 491–504. https://doi.org/10.1016/j.tourman.2018.09.012 (2019).
Lenzen, M. et al. The carbon footprint of global tourism. Nat. Clim. Change. 8, 522–. https://doi.org/10.1038/s41558-018-0141-x (2018).
Blau, M. L. & Panagopoulos, T. Designing Healing Destinations: A Practical Guide for Eco-Conscious Tourism Development. Land 11, https://doi.org/10.3390/land11091595 (2022).
Fan, X. N. & Cheng, Y. N. Assessing a Tourism City from an Ecosystem Services Perspective: The Evaluation of Tourism Service in Liyang, China. Land 12, https://doi.org/10.3390/land12112019 (2023).
Sun, Y. Y. & Higham, J. Overcoming information asymmetry in tourism carbon management: the application of a new reporting architecture to Aotearoa new Zealand. Tour. Manag. 83, 104231. https://doi.org/10.1016/j.tourman.2020.104231 (2021).
UN. The tourism industry has pledged to achieve net zero emissions by 2050. (2021).
Chang, H., Ding, Q. Y., Zhao, W. Z., Hou, N. & Liu, W. W. The digital economy, industrial structure upgrading, and carbon emission intensity -- empirical evidence from China’s provinces. Energy Strategy Reviews. 50 https://doi.org/10.1016/j.esr.2023.101218 (2023).
Wang, L. H. & Shao, J. Digital economy, entrepreneurship and energy efficiency. Energy 269 https://doi.org/10.1016/j.energy.2023.126801 (2023).
Cheng, Y., Zhang, Y., Wang, J. J. & Jiang, J. X. The impact of the urban digital economy on China’s carbon intensity: Spatial spillover and mediating effect. Resour. Conserv. Recycling. 189 https://doi.org/10.1016/j.resconrec.2022.106762 (2023).
Gao, F. & He, Z. W. Digital economy, land resource misallocation and urban carbon emissions in Chinese resource-based cities. Resour. Policy. 91 https://doi.org/10.1016/j.resourpol.2024.104914 (2024).
Zhang, C., Liu, B. L. & Yang, Y. H. Digital economy and urban innovation level: A quasi-natural experiment from the strategy of digital China. Humanit. Social Sci. Commun. 11 https://doi.org/10.1057/s41599-024-03122-1 (2024).
Yang, Y. & Yue, Y. Y. Exploring digital economy influence towards tourism innovation: an empirical research based on Chinese tourism industry. Int. J. Tourism Res. 26 https://doi.org/10.1002/jtr.2715 (2024).
Cheng, X. S., Xue, T., Yang, B. & Ma, B. J. A digital transformation approach in hospitality and tourism research. Int. J. Contemp. Hospitality Manage. 35, 2944–2967. https://doi.org/10.1108/ijchm-06-2022-0679 (2023).
Tang, R. Can digital economy improve tourism economic resilience? Evidence from China. Tour. Econ. 30, 1359–1381. https://doi.org/10.1177/13548166231206241 (2024).
Zhang, J. N., Lyu, Y. W., Li, Y. T. & Geng, Y. Digital economy: an innovation driving factor for low-carbon development. Environ. Impact Assess. Rev. 96 https://doi.org/10.1016/j.eiar.2022.106821 (2022).
Tang, Z. An integrated approach to evaluating the coupling coordination between tourism and the environment. Tour. Manag. 46, 11–19. https://doi.org/10.1016/j.tourman.2014.06.001 (2015).
Balsalobre-Lorente, D., Abbas, J., He, C., Pilar, L. & Shah, S. A. R. Tourism, urbanization and natural resources rents matter for environmental sustainability: the leading role of AI and ICT on sustainable development goals in the digital era. Resour. Policy. 82 https://doi.org/10.1016/j.resourpol.2023.103445 (2023).
Wu, L., Duan, X. M., Yang, F., Guo, L. & Zhou, H. T. Does digital economy help reduce carbon emissions from tourism? Evidence from China. Curr. Issues Tourism. https://doi.org/10.1080/13683500.2024.2386156 (2024).
Lee, C. C., Yuan, Y. & Wen, H. W. Can digital economy alleviate CO < sub > 2 emissions in the transport sector? Evidence from provincial panel data in China. Nat. Resour. Forum. 46, 289–310. https://doi.org/10.1111/1477-8947.12258 (2022).
Sun, Y. Y., Faturay, F., Lenzen, M., Goessling, S. & Higham, J. Drivers of global tourism carbon emissions. Nat. Commun. 15 https://doi.org/10.1038/s41467-024-54582-7 (2024).
Zhou, Q. Y. The impact of the digital economy on rural residents’ tourism consumption: evidence from China. J. Asia Pac. Econ. 30, 282–301. https://doi.org/10.1080/13547860.2024.2381324 (2025).
Wang, K., Liu, M. L. & Gan, C. Lessening or deepening? The effects of digital economy on regional disparities of tourism development. Economic Change Restruct. 58 https://doi.org/10.1007/s10644-025-09859-2 (2025).
Zhang, J. K. Smart City construction impact on destination competitiveness: a time-varying difference-in-differences analysis of Chinese prefectural-level cities. Tourism Rev. 80, 966–985. https://doi.org/10.1108/tr-05-2024-0432 (2025).
Zhang, S. R., Xue, H. Y., Zhang, T. Y. & Ju, H. R. The Spatial-Temporal evolution and driving factors of the coastal tourism economy in China. Land 13 https://doi.org/10.3390/land13091542 (2024).
Fu, B. J., Liu, Y. X. & Meadows, M. E. Ecological restoration for sustainable development in China. Natl. Sci. Rev. 10 https://doi.org/10.1093/nsr/nwad033 (2023).
Wang, J., Dong, K., Dong, X. & Taghizadeh-Hesary, F. Assessing the digital economy and its carbon-mitigation effects: the case of China. Energy Econ. 113 https://doi.org/10.1016/j.eneco.2022.106198 (2022).
Lyu, K. N., Yang, S. W., Zheng, K. & Zhang, Y. How does the digital economy affect carbon emission efficiency? Evidence from energy consumption and industrial value chain. Energies 16 https://doi.org/10.3390/en16020761 (2023).
Li, X. Y., Liang, X. P., Yu, T., Ruan, S. J. & Fan, R. Research on the integration of cultural tourism industry driven by digital economy in the context of COVID-19-Based on the data of 31 Chinese provinces. Front. Public. Health. 10 https://doi.org/10.3389/fpubh.2022.780476 (2022).
Liu, M. L., Lu, M. Y. & Li, Z. Y. Coupling coordination analysis on digital economy-tourism development-ecological environment. J. Clean. Prod. 470 https://doi.org/10.1016/j.jclepro.2024.143320 (2024).
Zhang, X. H. et al. Determinants of carbon emissions cycles in the G7 countries. Technol. Forecast. Soc. Chang. 201 https://doi.org/10.1016/j.techfore.2024.123261 (2024).
Ashraf, M. Z., Wei, W., Usman, M. & Mushtaq, S. How can natural resource dependence, environmental-related technologies and digital trade protect the environment: redesigning SDGs policies for sustainable environment? Resour. Policy. 88 https://doi.org/10.1016/j.resourpol.2023.104456 (2024).
Liao, Z. Z., Ru, S. F. & Cheng, Y. Y. A Simulation Study on the Impact of the Digital Economy on CO < sub > 2 Emission Based on the System Dynamics Model. Sustainability 15, https://doi.org/10.3390/su15043368 (2023).
Zhang, Y. & Zhang, J. K. Examining the complex causal relationships between the digital economy and urban tourist destination competitiveness. Economic Change Restruct. 57 https://doi.org/10.1007/s10644-024-09739-1 (2024).
Chen, C. & Wu, W. P. Threshold effects of digital economy on tourism carbon emissions: empirical evidence from the Yangtze river economic belt in China. Pol. J. Environ. Stud. 34, 43–56. https://doi.org/10.15244/pjoes/185543 (2025).
Mathews, J. A. The renewable energies technology surge: A new techno-economic paradigm in the making? Futures 46, 10–22. https://doi.org/10.1016/j.futures.2012.12.001 (2013).
Ji, Z. J., Zhao, L., Song, X. Y. & Gao, X. T. Digital economy impact on inclusive green growth: intermediary and Spatial spillover effects in China. Environ. Sci. Pollut. Res. 30, 123657–123678. https://doi.org/10.1007/s11356-023-30898-7 (2023).
Bhatt, K., Seabra, C., Kumar, J., Ashutosh, K. & Kabia, S. K. Tourism-Led inclusive growth in emerging and developing economies: A systematic literature review. Sage Open. 14 https://doi.org/10.1177/21582440241252516 (2024).
Liu, Y., Xie, Y. X. & Zhong, K. Y. Impact of digital economy on urban sustainable development: evidence from Chinese cities. Sustain. Dev. 32, 307–324. https://doi.org/10.1002/sd.2656 (2024).
Zhu, H. Q., Tang, J. H., Xie, X., Ding, Z. L. & Gong, L. A coordination analysis on rural revitalization and tourism High-Quality development along the silk road economic Belt, China. Land 13 https://doi.org/10.3390/land13081173 (2024).
Kong, H. Y. et al. Exploring Chinese sustainable tourism: a 25-year perspective. J. Sustainable Tourism. https://doi.org/10.1080/09669582.2024.2347547 (2024).
Lin, L. Z. & Heeren, K. Developing sustainable development indicators for low-carbon tourism itinerary. Curr. Issues Tourism. https://doi.org/10.1080/13683500.2024.2390137 (2024).
Chen, H., Deng, J. P., Lu, M. T., Zhang, P. D. & Zhang, Q. H. Government environmental attention, credit supply and firms’ green investment. Energy Econ. 134 https://doi.org/10.1016/j.eneco.2024.107547 (2024).
Du, W. J. & Li, M. J. Assessing the impact of environmental regulation on pollution abatement and collaborative emissions reduction: Micro-evidence from Chinese industrial enterprises. Environ. Impact Assess. Rev. 82 https://doi.org/10.1016/j.eiar.2020.106382 (2020).
Luo, K., Liu, Y. B., Chen, P. F. & Zeng, M. L. Assessing the impact of digital economy on green development efficiency in the Yangtze river economic belt. Energy Econ. 112 https://doi.org/10.1016/j.eneco.2022.106127 (2022).
Xing, Z. Y., Yalçin, H. & Daim, T. Digital Economy’s influence on R&D Network configurations: Integrating resource dependence theory and institutional theory. Technovation 137 https://doi.org/10.1016/j.technovation.2024.103098 (2024).
Li, W. S. et al. Spatiotemporal variation and driving mechanisms of the global Production-Living-Ecological space coupling coordination degree. Land 13 https://doi.org/10.3390/land13122136 (2024).
Huang, J. B., Wang, Y. J., Luan, B. J., Zou, H. & Wang, J. The energy intensity reduction effect of developing digital economy: theory and empirical evidence from China. Energy Econ. 128 https://doi.org/10.1016/j.eneco.2023.107193 (2023).
Tu, Y., Wang, N. X., Cheng, L. Q. & Liu, L. Y. Sustainability assessment and Multi-angle diagnosis of regional water Resources-Social Economy-Ecological environment system using a novel TODIMSort with MS clustering algorithm. Water Resour. Manage. 38, 5279–5303. https://doi.org/10.1007/s11269-024-03913-w (2024).
Wang, H. D. et al. Analysis of spatial-temporal pattern, dynamic evolution and influencing factors of health tourism development in China. Sci. Rep. 13 https://doi.org/10.1038/s41598-023-42462-x (2023).
Ferreira, D. I. R., Loures, L. C. & Sánchez-Martín, J. M. Spatial Analysis of Sustainability Measures from Agritourism in Iberian Cross-Border Regions. Land 12, https://doi.org/10.3390/land12040826 (2023).
Wu, K., Wu, M., An, Z. & Jiao, H. Evaluation of tourism ecological security and its Obstacles in semi-arid river Valley urban: a case study of Lanzhou, China. Sci. Rep. 15, 3943. https://doi.org/10.1038/s41598-025-88157-3 (2025).
Yuan, D. H. et al. Coupling coordination degree analysis and Spatiotemporal heterogeneity between water ecosystem service value and water system in yellow river basin cities. Ecol. Inf. 79 https://doi.org/10.1016/j.ecoinf.2023.102440 (2024).
Zhang, J. K. & Zhang, Y. Tourism and regional carbon emissions: city-level evidence from China. Tourism Rev. 78, 888–906. https://doi.org/10.1108/tr-08-2022-0389 (2023).
Sun, W. & Huang, C. C. How does urbanization affect carbon emission efficiency? Evidence from China. J. Clean. Prod. 272 https://doi.org/10.1016/j.jclepro.2020.122828 (2020).
Liu, M., Lu, M. & Li, Z. Coupling coordination analysis on digital economy-tourism development-ecological environment. J. Clean. Prod. 470, 143320. https://doi.org/10.1016/j.jclepro.2024.143320 (2024).
Richards, G. Cultural tourism: A review of recent research and trends. J. Hospitality Tourism Manage. 36, 12–21. https://doi.org/10.1016/j.jhtm.2018.03.005 (2018).
Geng, Y. Q., Chen, L. Y., Li, J. Y. & Iqbal, K. Higher education and digital economy: analysis of their coupling coordination with the Yangtze river economic belt in China as the example. Ecol. Ind. 154 https://doi.org/10.1016/j.ecolind.2023.110510 (2023).
Guan, X. L., Xu, J. Y. & Huang, X. R. Digital economy and the medical and health service supply in China. Front. Public. Health. 12 https://doi.org/10.3389/fpubh.2024.1441513 (2024).
Font, X. & McCabe, S. Sustainability and marketing in tourism: its contexts, paradoxes, approaches, challenges and potential. J. Sustainable Tourism. 25, 869–883. https://doi.org/10.1080/09669582.2017.1301721 (2017).
Liu, C. Y., Dou, X. T., Li, J. F. & Cai, L. P. A. analyzing government role in rural tourism development: an empirical investigation from China. J. Rural Stud. 79, 177–188. https://doi.org/10.1016/j.jrurstud.2020.08.046 (2020).
Wang, W. et al. Energy internet, digital economy, and green economic growth: evidence from China. Innov. Green. Dev. 1, 100011. https://doi.org/10.1016/j.igd.2022.100011 (2022).
Zaman, K., Shahbaz, M., Loganathan, N. & Raza, S. A. Tourism development, energy consumption and environmental Kuznets curve: trivariate analysis in the panel of developed and developing countries. Tour. Manag. 54, 275–283. https://doi.org/10.1016/j.tourman.2015.12.001 (2016).
Liu, W. The digital economy and environmental pollution: new evidence based on the support of logistics development. J. Clean. Prod. 427, 139210. https://doi.org/10.1016/j.jclepro.2023.139210 (2023).
Shahzad, S. J. H., Shahbaz, M., Ferrer, R. & Kumar, R. R. Tourism-led growth hypothesis in the top ten tourist destinations: new evidence using the quantile-on-quantile approach. Tour. Manag. 60, 223–232. https://doi.org/10.1016/j.tourman.2016.12.006 (2017).
Jiang, L. G., Liu, Y., Wu, S. & Yang, C. Analyzing ecological environment change and associated driving factors in China based on NDVI time series data. Ecol. Ind. 129 https://doi.org/10.1016/j.ecolind.2021.107933 (2021).
Xu, Y. Y., Liu, Z., Walker, T. R., Adams, M. & Dong, H. J. Spatio-temporal patterns and spillover effects of synergy on carbon dioxide emission and pollution reductions in the Yangtze river delta region in China. Sustainable Cities Soc. 107 https://doi.org/10.1016/j.scs.2024.105419 (2024).
Lin, F. Y., Huang, C. K., Zhang, X. & Chu, D. P. The interactive relationship between ecological well-being performance and tourism economic development in major tourism cities in China. Environ. Res. Commun. 5 https://doi.org/10.1088/2515-7620/ace761 (2023).
Sun, J. et al. Assessment of urban resilience and subsystem coupling coordination in the Beijing-Tianjin-Hebei urban agglomeration. Sustainable Cities Soc. 100 https://doi.org/10.1016/j.scs.2023.105058 (2024).
Zhang, K. R., Jin, Y. Z., Li, D. Y., Wang, S. Y. & Liu, W. Y. Spatiotemporal variation and evolutionary analysis of the coupling coordination between urban social-economic development and ecological environments in the Yangtze river delta cities. Sustainable Cities Soc. 111 https://doi.org/10.1016/j.scs.2024.105561 (2024).
Jiang, L. L. & Lv, Z. K. Digitalization means green? Linking the digital economy to environmental performance in the tourism industry. Tour. Econ. https://doi.org/10.1177/13548166241273638 (2024).
Wang, Q. & Su, M. A preliminary assessment of the impact of COVID-19 on environment ? A case study of China. Sci. Total Environ. 728 https://doi.org/10.1016/j.scitotenv.2020.138915 (2020).
Gao, Y. Y., Su, W. & Wang, K. N. Does high-speed rail boost tourism growth? New evidence from China. Tour. Manag. 72, 220–231. https://doi.org/10.1016/j.tourman.2018.12.003 (2019).
Zhang, S. R., Chi, L., Zhang, T. Y. & Ju, H. R. Spatio-temporal pattern and influencing factors of border tourism efficiency in China. J. Geog. Sci. 34, 2288–2312. https://doi.org/10.1007/s11442-024-2293-0 (2024).
Zhou, J. L. & Zhong, M. C. Spatial-temporal evolution and peer effects of urban green development efficiency in China. Sci. Rep. 14 https://doi.org/10.1038/s41598-024-58591-w (2024).
Zhang, H., Jiang, L. L., Zhou, J., Chu, N. C. & Li, F. J. The characteristics and influencing factors of Spatial network of city-based innovation correlation in china: from the perspective of high tech zones. Sci. Rep. 13 https://doi.org/10.1038/s41598-023-43402-5 (2023).
Peng, Y. P., Liu, W. Z. & Xiong, C. J. Spatio-temporal divergence and influencing factors of agritourism integration development in Xinjiang, China. Sci. Rep. 13 https://doi.org/10.1038/s41598-023-46806-5 (2023).
Li, R., Rao, J. & Wan, L. Y. The digital economy, enterprise digital transformation, and enterprise innovation. Manag. Decis. Econ. 43, 2875–2886. https://doi.org/10.1002/mde.3569 (2022).
Xue, R., Gu, R. & Ong, T. How does coupling coordination between industrial structure optimization and ecosystem services dynamically affect carbon emissions in the yellow river basin? J. Clean. Prod. 517, 145872. https://doi.org/10.1016/j.jclepro.2025.145872 (2025).
Pratt, S. Potential economic contribution of regional tourism development in china: A comparative analysis. Int. J. Tourism Res. 17, 303–312. https://doi.org/10.1002/jtr.1990 (2015).
Jin, Y., Xi, H. N., Wang, X. H., Ren, X. & Yuan, L. B. Evaluation of the integration policy in china: does the integration of culture and tourism promote tourism development? Annals Tourism Res. 97 https://doi.org/10.1016/j.annals.2022.103491 (2022).
Zhang, R. & Tong, Y. Quantifying the COVID-19-affected tourism education in china: a potential crisis in tourism recovery. Curr. Issues Tourism. 26, 3917–3922. https://doi.org/10.1080/13683500.2023.2203853 (2023).
Ma, L. J. & Ouyang, M. Spatiotemporal heterogeneity of the impact of digital inclusive finance on tourism economic development: evidence from China. J. Hospitality Tourism Manage. 56, 519–531. https://doi.org/10.1016/j.jhtm.2023.08.015 (2023).
Tian, F. F. & Weng, G. M. The integration and challenges of digital economy with the tourism industry: evidence from the yellow river basin in China. J. Clean. Prod. 475 https://doi.org/10.1016/j.jclepro.2024.143672 (2024).
Ma, S. G., He, Y. & Gu, R. Achieving sustainable development of green tourism supply chain: the trade-off between environmental and economic performances. Ann. Oper. Res. https://doi.org/10.1007/s10479-024-06115-0 (2024).
Jenkins, C. L. The role of government in the tourism sector in developing countries: a perspective Article. Tourism Rev. 75, 203–206. https://doi.org/10.1108/tr-04-2019-0142 (2020).
Yang, Z. & Solangi, Y. A. Analyzing the relationship between natural resource management, environmental protection, and agricultural economics for sustainable development in China. J. Clean. Prod. 450, 141862. https://doi.org/10.1016/j.jclepro.2024.141862 (2024).
Acknowledgements
This research is supported by the National Social Science Fund of China (Grant No. 23XGL003).
Author information
Authors and Affiliations
Contributions
Conceptualization, Z. P. and Y. L.; Data curation, J. J. and B.L.; Formal analysis, J. J.; Funding acquisition, Y. L.; Investigation, Z. P. and B.L.; Methodology, Z. P. and B.L.; Project administration, J. J. and Y.L.; Resources, Y. L. and B.L.; Software, Z. P. and Y. W.; Supervision, Y. L. and B. L.; Validation, Z. P., Y. W and B. L.; Writing – original draft, Z. P. and Y. W.; Writing – review & editing, Y. L., J. J. and B. L.
Corresponding author
Ethics declarations
Competing interests
The authors declare no competing interests.
Additional information
Publisher’s note
Springer Nature remains neutral with regard to jurisdictional claims in published maps and institutional affiliations.
Rights and permissions
Open Access This article is licensed under a Creative Commons Attribution-NonCommercial-NoDerivatives 4.0 International License, which permits any non-commercial use, sharing, distribution and reproduction in any medium or format, as long as you give appropriate credit to the original author(s) and the source, provide a link to the Creative Commons licence, and indicate if you modified the licensed material. You do not have permission under this licence to share adapted material derived from this article or parts of it. The images or other third party material in this article are included in the article’s Creative Commons licence, unless indicated otherwise in a credit line to the material. If material is not included in the article’s Creative Commons licence and your intended use is not permitted by statutory regulation or exceeds the permitted use, you will need to obtain permission directly from the copyright holder. To view a copy of this licence, visit http://creativecommons.org/licenses/by-nc-nd/4.0/.
About this article
Cite this article
Pan, Z., Luo, Y., Wang, Y. et al. Coupling coordination and driving mechanism between tourism development, ecological conservation and digital economy: insights from Chinese 278 cities. Sci Rep 15, 37445 (2025). https://doi.org/10.1038/s41598-025-21169-1
Received:
Accepted:
Published:
Version of record:
DOI: https://doi.org/10.1038/s41598-025-21169-1









