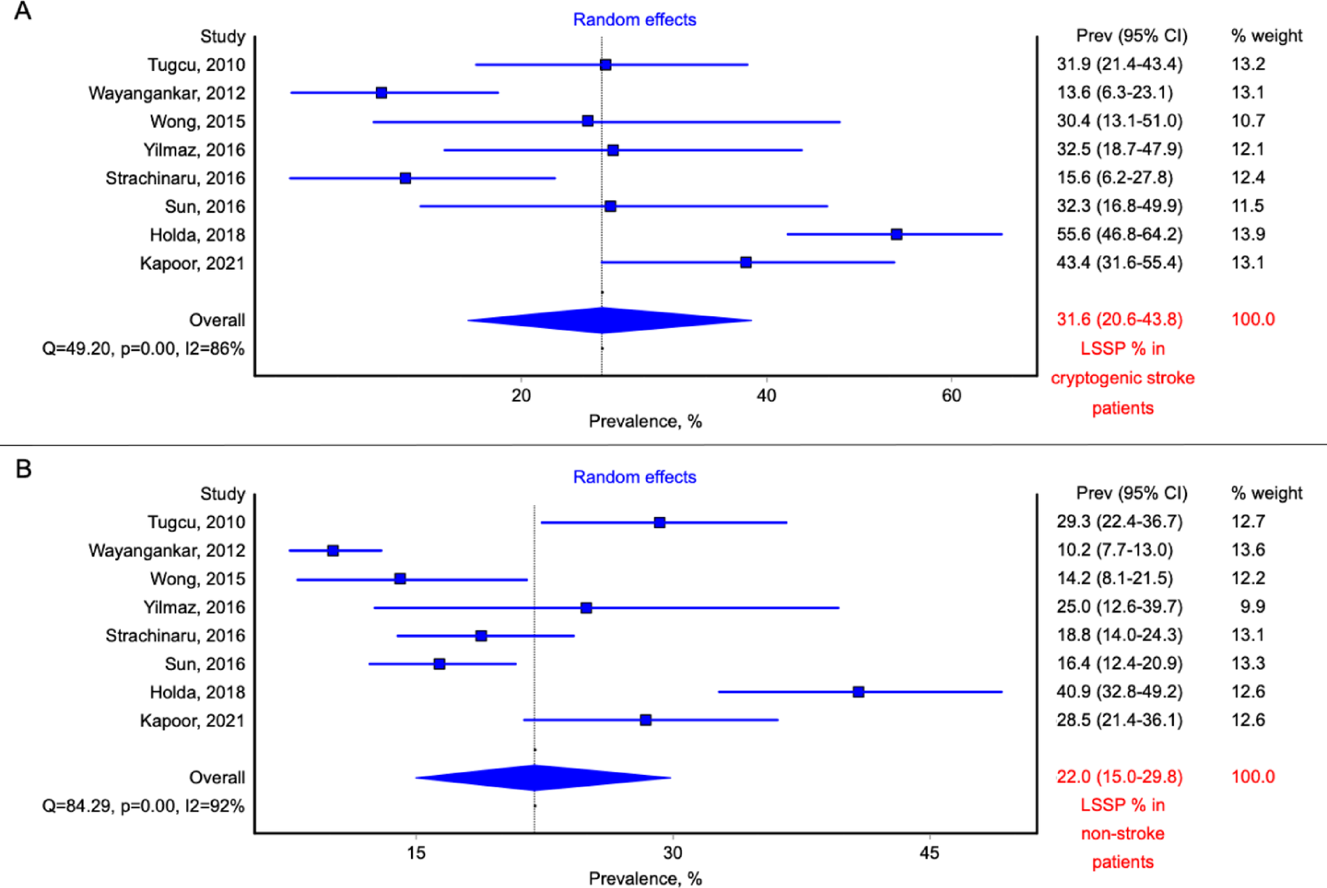
Fig. 3

Forest plot of the prevalence of the left-sided septal pouch (LSSP) in (A) cryptogenic stroke patients and (B) non-stroke control patients. The studies are presented along the vertical axis and depicted as squares, the size of which is proportional to the calculated weight of each study. The overall effect estimate is positioned at the bottom and illustrated by a diamond.