Abstract
Cryptogenic stroke, named embolic stroke of undetermined source, refers to patients for whom the etiology of embolism remains unknown. Recently a new cardiac entity, the left-sided septal pouch (LSSP), has been identified as a possible source of thromboembolic events. In the current study, we aimed to perform a systematic review of the literature on this topic and to determine the association between the LSSP presence and occurrence of cryptogenic stroke using meta-analytical methodologies. A detailed search of electronic databases for studies that compared the presence of LSSP in subjects with cryptogenic stroke and non-stroke controls was performed. Data were extracted and pooled into a meta-analysis. We included eight studies in the meta-analysis, in which there were a total of 506 patients with cryptogenic stroke and 1600 patients in the control group. The pooled prevalence of LSSP among cryptogenic stroke patients was 31.6% (95% CI: 20.6–43.8). In the non-stroke control group the pooled prevalence of LSSP was 22.0% (95% CI: 15.0-29.8). The meta-analysis showed that there is a higher risk of cryptogenic stroke in patients with LSSP than in patients without LSSP (OR: 1.57, 95% CI: 1.23–2.01; p < 0.01). A subgroup meta-analysis of transesophageal echocardiography studies demonstrated the same association (OR: 1.59; 95% CI: 1.21–2.08; p < 0.01). In studies where the mean patient age was < 60 years, LSSP was associated with a higher risk of cryptogenic stroke (OR: 1.67; 95% CI: 1.22–2.29; p < 0.01). However, in studies where the mean patient age was > 60 years, the association was not statistically significant (OR: 1.58; 95% CI: 0.75–3.32).
Similar content being viewed by others
Introduction
Cryptogenic strokes account for around 40% of all ischemic strokes and their origin remains unknown despite standard clinical workup1. Some of cryptogenic strokes may be associated with cardiac interatrial septum, especially atrial septal variants, such as: patent foramen ovale and atrial septal aneurysm2,3,4,5. Recently the new cardiac entity, the left-sided atrial septal pouch (LSSP), have been identified as a possible source of thromboembolic events6,7. The left-sided atrial septal pouch is an anatomical variant of the interatrial septum, formed as a result of an incomplete fusion of the patent foramen channel components in postnatal life6. This kangaroo-like pouch communicates exclusively with the left atrium8. The morphology of LSSP may predispose to blood stasis and thus thrombus formation6]– [7.
Many direct evidences of formation of thrombotic material within LSSP and its direct involvement in the development of ischemic stroke have been delivered in clinical case reports9,10,11,12,13,14,15,16. The main mechanisms contributing to thrombogenesis in LSSP include blood stasis and local flow disturbances (the pouch’s dead-end nature promotes blood pooling and low-velocity flow, creating an environment prone to thrombus formation), endothelial dysfunction and local inflammation (which lead to an increase in prothrombotic factors), and an association with atrial fibrillation (studies have suggested that LSSP is linked to a higher incidence of atrial fibrillation, a well-established risk factor for cardioembolic stroke)6,7,17,18. Conditions such as heart failure, mitral stenosis, or left atrial hypertension can worsen blood stagnation in the pouch. Moreover, reduced laminar flow from the right-sided pulmonary veins might further decrease washout of the LSSP, facilitating thrombus formation19.
The identification of LSSP as a potential risk factor for cryptogenic stroke carries important clinical implications. Given the anatomical predisposition of LSSP to thrombus formation, its presence may serve as a marker for embolic risk, particularly in patients with unexplained strokes. Current stroke prevention strategies primarily focus on well-established cardiac sources, such as patent foramen ovale or atrial fibrillation, yet the role of LSSP remains underappreciated in clinical guidelines. In previous years, few original studies focused on the association between the LSSP and stroke development were published, with the results mostly being inconclusive. A meta-analysis published in 2018 showed that there is a significant association between presence of the LSSP and cryptogenic stroke20. Since the meta-analysis was published, 11 more studies that tried to determine the role of the LSSP as a risk factor of cryptogenic stroke were published3,7,10,21,22,23,24,25,26,27,28. Therefore, in this study we sought to perform updated systematic review and meta-analysis focused on the association between LSSP and embolic stroke of undetermined source. A better understanding of LSSP-related stroke mechanisms could lead to improved risk stratification, personalized antithrombotic therapy, and the potential development of targeted interventions, including transcatheter approaches for LSSP elimination. By providing updated meta-analytical evidence on the association between LSSP and cryptogenic stroke, this study may contribute to shaping future recommendations for stroke prevention and guide clinicians in the diagnostic workup of embolic stroke of undetermined source.
Materials and methods
Search strategy
The Preferred Reporting Items for Systematic Reviews and Meta-Analyses (PRISMA) guidelines for systematic reviews and meta-analyses were used29. A systematic literature search of the PubMed, EMBASE, Scopus, Web of Science and Science Direct databases were performed. All publications published before November 1, 2024 were analyzed. The terms “septal pouch” OR “atrial septal pouch” AND “stroke” were used to search the electronic databases. The search was not restricted by language or time of publication.
Eligibility assessment
We considered studies in which the interatrial septum morphology was assessed in humans, where the LSSP variant was described in patients with cryptogenic stroke, and comparison to the control group of patients without stroke was performed. Studies such as case reports, editorials, conference abstracts, and duplicate reports from the same study were excluded. Two independent investigators screened titles and abstracts of found records to identify eligible publications. Full texts of chosen records were also independently screened and reviewed by the same two investigators. Potential discrepancies regarding the inclusion of studies were resolved by discussion and consensus among all investigators.
Data extraction
Two independent investigators independently extracted data from the included studies. The extracted data included the year, country, study design, sample size, characteristics of each group (stroke vs. non-stroke) and number of LSSPs identified in each group. Disagreements regarding the data extraction were resolved by discussion and consensus among all investigators.
Statistical analysis
Statistical analysis was performed using the IBM SPSS Statistics v. 28.0.1.0 (IBM Corporation, Armonk NY, USA; 2021. Available from: https://www.ibm.com/products/spss-statistics) and MetaXL v. 5.3 from (EpiGear International Pty Ltd, Wilston, Queensland, Australia; 2016. Available from: http://epigear.com/index_files/metaxl.html) to calculate the pooled prevalence of LSSPs. The Risk Of Bias In Non-randomized Studies of exposure effects (ROBINS-E) tool was used to evaluate the bias of included studies30. LFK index test was performed to analyze the symmetry of funnel plots in assessing the reporting bias31. We assessed heterogeneity by using Cochran’s Q test and calculating I2 values. Results were interpreted according to guidelines in the Cochrane Handbook, Chap. 10.10.232. I2 values for heterogeneity assessment were categorized as follows: < 30% considered as low, between 30 and 75% considered moderate, and > 75% considered high. P-values < 0.05 were considered statistically significant. The meta-analysis was performed using the random-effects model.
Results
A systematic search identified 633 studies and six additional studies were identified by manual reference search, of which 410 remained after exclusion of duplicates (Fig. 1). A total of 321 studies were excluded for not meeting inclusion criteria. Remaining 89 studies were assessed by full text for potential eligibility. In the next step studies were excluded for being case reports, conference abstracts, editorials, reviews, book chapters, or dual publications or because they reported irrelevant data that were not related to septal pouches in the heart. Four publications were morphological studies6,8,33,34, six publications were imaging studies and did not refer clinical correlations with strokes17,35,36,37,38,39, one study was rejected due to lack of comparison with the control group28 and one study rejected because in both the control and stroke groups all patients had atrial fibrillation and were eligible for ablation (this publication was also characterized by significant heterogeneity of the control and stroke groups)27. In summary, eight publications that met our criteria were finally included in the meta-analysis3,7,16,21,22,23,24,25.
Next, we assessed each of the included studies for the assessment of patients with cryptogenic stroke, as well as the association between cryptogenic stroke and the occurrence of LSSP. Seven included papers reported a relationship between the occurrence of cryptogenic stroke and the presence of LSSP. During data collection for the previous meta-analysis (2018)20, we contacted Sun et al.25 to clarify whether the strokes described in their work were cryptogenic strokes. The authors confirmed that all strokes described in their publication were cryptogenic strokes of unknown etiology25. The characteristics and results of the eight studies included in the meta-analysis are presented in Table 1. The majority of studies were transesophageal echocardiography studies (seven out of eight)3,7,16,21,23,24,25, and in one study the imaging method was cardiac computed tomography22. All included publications describe cases of adult patients, however, there is a significant difference between the studies as shown in Table 1. Due to the limited number of studies included in the analysis, bias assessment was performed using the LFK method (an index between − 1 and + 1 signifies no detectable bias)31. The Doi plot and LFK index results showed no significant asymmetry (LFK index = -0.91) (Supplementary Figs. 1 and 2), indicating a low risk of bias. In the risk of bias assessment using the ROBINS-E tool (Fig. 2), the study by Wayangankar et al. was found to have a very high risk of bias due to confounding and missing data biases21. The study by Hołda et al. was classified as having a moderate risk of bias due to concerns related to confounding bias7. The remaining studies included in the analysis were assessed as having a low risk of bias.
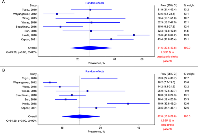
In total, 506 patients with cryptogenic stroke were recognized (mostly based on modified TOAST criteria, Table 1). Among patients with cryptogenic stroke, 167 cases of LSSP were identified. The pooled prevalence of LSSP among cryptogenic stroke group was 31.6% (95% CI: 20.6–43.8, random effects model; Fig. 3A). Control, non-stroke group consisted of 1600 patients, with 329 individuals with present LSSP. The calculated pooled prevalence of LSSP in non-stroke group was 22.0% (95% CI: 15.0-29.8, random effects model; Fig. 3B). The meta-analysis showed that the risk of cryptogenic stroke was higher in patients with present LSSP (OR: 1.57; 95% CI: 1.23–2.01; p < 0.01; Fig. 4). Calculated heterogeneity was low in the analysis (Q = 7.14, p = 0.41, I2 = 2%).
Forest plot of the prevalence of the left-sided septal pouch (LSSP) in (A) cryptogenic stroke patients and (B) non-stroke control patients. The studies are presented along the vertical axis and depicted as squares, the size of which is proportional to the calculated weight of each study. The overall effect estimate is positioned at the bottom and illustrated by a diamond.
Forest plot representation of the results from the studies comparing cryptogenic stroke patients with non-stroke controls. The studies are presented along the vertical axis and depicted as squares, the size of which is proportional to the calculated weight of each study. The overall effect estimate is positioned at the bottom and illustrated by a diamond.
An additional meta-analysis was conducted after excluding the study by Wayangankar et al.21 due to its high risk of bias. However, the findings remained similar to those of the meta-analysis that included this study (OR: 1.62; 95% CI: 1.23–2.12, p < 0.01; Q = 6.27, p = 0.39, I² = 4%; Fig. 5). The pooled prevalence of LSSP in the cryptogenic stroke group, after excluding the study by Wayangankar et al.21, was 34.9% (95% CI: 24.4–46.2, random-effects model; Fig. 6A), while in non-stroke group was 24.2% (95% CI: 17.6–31.5, random-effects model; Fig. 6B).
A further meta-analysis was performed after excluding the studies by Tugcu3, in which both the cryptogenic stroke and control groups were the oldest (70.6 ± 9.0 and 67.0 ± 8.4 years, respectively), and by Strachinaru24, which reported a statistically significant age difference between the study and control groups (55.0 ± 13.0 vs. 65.0 ± 15.0 years; p < 0.01). After excluding these two studies, the meta-analysis yielded results consistent with those of the analysis that included them, demonstrating that the risk of cryptogenic stroke remained higher in patients with LSSP than in those without LSSP (OR: 1.83; 95% CI: 1.38–2.45; p < 0.01; Q = 1.96, p = 0.88, I² = 0%; Supplementary Fig. 3).
Forest plot representation of the results from the studies comparing cryptogenic stroke patients with non-stroke controls, excluding the study by Wayangankar et al. due to its high risk of bias. The studies are presented along the vertical axis and depicted as squares, the size of which is proportional to the calculated weight of each study. The overall effect estimate is positioned at the bottom and illustrated by a diamond.
Forest plot of the prevalence of left-sided septal pouch (LSSP) in (A) cryptogenic stroke patients and (B) non-stroke control patients, excluding the study by Wayangankar et al. due to its high risk of bias. The studies are presented along the vertical axis and depicted as squares, the size of which is proportional to the calculated weight of each study. The overall effect estimate is positioned at the bottom and illustrated by a diamond.
The study by Yilmaz et al.22 was the only one utilizing computed tomography imaging, whereas all other studies employed transesophageal echocardiography for detecting LSSP. A subgroup meta-analysis of transesophageal echocardiography studies demonstrated that the risk of cryptogenic stroke was higher in patients with LSSP than in those without it (OR: 1.59; 95% CI: 1.21–2.08; p < 0.01; Supplementary Fig. 4).
An additional subgroup meta-analysis was performed based on the mean patient age, using a cutoff of 60 years. In the subgroup of studies where the mean patient age was younger than 60 years, the risk of cryptogenic stroke was higher in individuals with LSSP than in those without the pouch (OR: 1.67; 95% CI: 1.22–2.29; p < 0.01; Supplementary Fig. 5). In the subgroup of studies where the patients’ mean age was greater than 60 years, the OR was 1.58; however, this result was not statistically significant, as the confidence interval crossed the threshold of no effect (95% CI: 0.75–3.32; Supplementary Fig. 6).
Discussion
The present, updated systematic review and meta-analysis confirmed a significant relation between the occurrence of LSSP and a cryptogenic stroke. The specific features of LSSP, such as its small size, dead end, orientation with apex directed downward and local inflammation within pouch may predispose to the formation of thrombi inside pouch6. The previous studies have also shown that the presence of LSSP may be associated with an increased risk of atrial fibrillation17. These factors may be a rational explanation why the occurrence of LSSP is associated with an increase in the risk of cryptogenic stroke. Additionally, the risk of thrombi formation within the LSSP may be exacerbated by any disturbances to the blood flow within the left atrium (brisk laminar blood flow from the right pulmonary veins is believed to be a protective mechanism) as well as conditions leading to peri-wall blood stasis (mitral stenosis, various atrial arrythmias, high ventricular pressure and heart failure)6]– [7.
Since the previous meta-analysis on this topic, published in 2018, which showed that cryptogenic stroke occurred 1.5-times more frequently in patients with an LSSP than in patients without the LSSP20, some new important studies have been published that could potentially change this conclusion23,27,28,40. Nevertheless, the passage of 5 years has not brought a breakthrough in this matter and our current study confirms that the presence of LSSP is associated with almost 1.5-times higher incidence of cryptogenic stroke compared to the control group. Our systematic review also identified a meta-analysis conducted by Amin et al. in 2023, which included a total of 10 retrospective, observational studies published between 2010 and 202241. However, after reviewing the studies included in the Amin et al. meta-analysis, we concluded that the analysis was not performed correctly, as it included irrelevant studies (study by Kapoor et al.23, by Celik et al.26 and by Steyaert et al.28 and, therefore, does not adequately address the research question posed (see discussion of individual studies below).
Interestingly, over 5 years period only one new study was published that met inclusion criteria of current meta-analysis23. Study by Kapoor et al. investigated different types of strokes for the presence of LSSP and only in the case of cryptogenic strokes a statistically significant difference in the occurrence of LSSP compared to the control group was found (LSSP prevalence significantly higher in the cryptogenic subgroup compared with the non-cryptogenic subgroup, p = 0.02)23. Furthermore, study by Celik et al. showed that LSSP is associated with an increased risk of ischemic brain alterations (OR: 3.57, 95% CI: 0.51–2.09, p < 0.01), however, all cerebral ischemic strokes, not just cryptogenic ones, were considered in this study26. Also, the study by Goertz et al. have showed that the presence of LSSP is associated with 2.9-fold increased hazards of ischemic brain lesions (95%CI: 1.2–7.4, p = 0.024), but not just cryptogenic strokes were analyzed40. For these reasons, these two articles were not included in our analysis. Study by Steyaert et al. that retrospectively analyzed transesophageal echocardiograms in a large cohort of patients that had experienced ischemic strokes (148 had cryptogenic stroke and 978 had strokes of known origin) concluded in multivariate analysis that LSSP was independently associated with cryptogenic stroke (p = 0.019)28. However, because no comparison with the non-stroke controls was performed by Steyaert et al. this study was excluded from our meta-analysis. On the other hand Michałowska et al. showed no association between the occurrence of LSSP and incidence of stroke27. However, this publication may be an example of a poorly designed study, as all types of ischemic strokes were investigated (not only cryptogenic stroke). Moreover, all patients in both the stroke and control groups had atrial fibrillation, thus taking into account fact that atrial fibrillation is one of the main risk factors for stroke, this study was excluded from the meta-analysis.
The limitations of this meta-analysis are related to the limitations of each of the included studies. In each of the studies included in the analysis, the definition of cryptogenic stroke was based on the differently modified TOAST criteria, however, different group selection criteria in each of the studies may distort the final results (Table 1). One of the main limiting factor may be the age of the patients. The interatrial septum undergoes continuous remodeling throughout life. During the postnatal life the patent foramen ovale channel transforms into.
a septal pouch (young adults) and further into a smooth septum (elderly)6. Among the.
8 included publications, relatively young groups of patients were described in studies performed by Yilmaz et al.22, Wong et al.16, Hołda et al.7 and Kapoor et al.23 (Table 1). On the contrary in the study performed by Tugcu et al. both the cryptogenic stroke group and the control group were the oldest (70.6 ± 9.0 and 67.0 ± 8.4 years respectively)3. In addition, study by Strachinaru et al. contained groups with significantly different age (55.0 ± 13.0 vs. 65.0 ± 15.0-years-old; p < 0.01)24. Both publications by Tugcu et al.3 and Strachinaru et al.24 have a large weight (24.4% in total), which may affect the results of the meta-analysis and the actual impact of the presence of LSSP in individual age groups may be different. In the study by Wayangankar et al. information on the age of the patients was not included21.
Furthermore, our age-based subgroup analysis revealed a particularly strong association between LSSP and cryptogenic stroke among patients younger than 60 years. This finding indicates that younger individuals with LSSP may have an elevated risk of cryptogenic stroke, which could be attributable to age-specific factors such as variations in interatrial septal remodeling, differences in atrial flow dynamics, or increased thrombotic susceptibility at earlier stages of life6,7. The precise mechanisms underpinning this heightened vulnerability in younger patients remain to be fully elucidated. Conversely, in patients older than 60 years, the influence of LSSP on stroke risk is less clear. Our analysis did not demonstrate a definitive association within this older subgroup, suggesting the possibility that other age-related factors or comorbidities may overshadow the impact of LSSP. Given the uncertainty regarding the role of LSSP in the older population, additional targeted studies are warranted to explore and clarify this relationship more comprehensively. Further research focusing on age-specific differences in the pathophysiological implications of LSSP is necessary to enhance our understanding of its contribution to embolic stroke risk. Investigations should particularly address whether younger patients with LSSP would benefit from targeted screening programs or preventive interventions, potentially guiding clinical management strategies and reducing stroke incidence among susceptible younger individuals.
Other factors that may influence the results of the meta-analysis may also be identified. The ethnic background of evaluated patients may be considered, but so far no ethnic differences in the LSSP occurrence were showed and they should be accounted for in further studies. Moreover, the used cardiac imaging method may have influence on underdiagnosis of the LSSP in the patients form both stroke and non-stroke groups. Notably, the study by Yilmaz et al.22 as the only one utilizing computed tomography for LSSP detection, while all other studies relied on transesophageal echocardiography. A subgroup meta-analysis of transesophageal echocardiography-based studies confirmed a significant association between LSSP and cryptogenic stroke, reinforcing the validity of echocardiographic imaging in identifying this potential stroke risk factor. Although the transesophageal echocardiography with saline contrast administration should be preferred over the contrast enhanced cardiac computed tomography in the identification of LSSPs they both may be used in clinical practice to identify patients with the LSSP39. More research on LSSP imaging methods in the human heart should also be conducted to indicate the best method for LSSP identification. Finally, the associations between LSSP and other types of cerebrovascular (e.g. transient ischemic attack) and systemic thromboembolic events should also be investigated in further studies.
As clinical studies and meta-analyses have confirmed the association between the presence of a LSSP and cryptogenic stroke, there is a pressing need to consider the role of this structure in official clinical guidelines. Understanding the clinical implications of the LSSP could enhance risk stratification and inform management strategies, especially for patients with unexplained embolic events or atrial fibrillation, thereby contributing to more personalized approaches in cardiovascular care. A recent case report demonstrated that atrial septal defect occluder implantation may be a viable therapeutic option for eliminating the LSSP, confirming the technical feasibility of mitigating the pathological influence of this structure on the human body42. Recent clinical trial demonstrated the safety and efficacy of transcatheter exclusion of the LSSP in patients at high risk for cryptogenic stroke. Transcatheter LSSP elimination for secondary stroke prevention (clamping and compressing the pouch after transseptal puncture) may potentially pave the way for novel structural interventions targeting the interatrial septum43. Future research should focus on prospective, longitudinal studies to better define the causal relationship between LSSP and cryptogenic stroke. While retrospective studies and meta-analyses, including the present study, have demonstrated a significant association, prospective cohort studies could help determine whether LSSP is an independent risk factor for embolic events. Additionally, large randomized controlled trials evaluating the efficacy of targeted interventions, such as transcatheter LSSP closure, in reducing stroke risk could provide valuable insights into potential therapeutic approaches. Furthermore, future studies should investigate potential genetic and demographic predispositions to LSSP-related stroke, as well as explore the role of coexisting cardiovascular conditions, such as atrial fibrillation, in modifying the risk profile of affected patients. These research efforts will be critical in shaping future guidelines for stroke prevention and optimizing patient management strategies.
Conclusions
Our meta-analysis confirms that there is statistically significant association between LSSP presence and occurrence of cryptogenic stroke. LSSP presence is associated with increased cryptogenic stroke risk.
Data availability
All data generated or analysed during this study are included in this article. Further enquiries can be directed to the corresponding author.
References
Amarenco, P. Underlying pathology of stroke of unknown cause (cryptogenic stroke). Cerebrovasc. Dis. 27 (Suppl 1), 97–103 (2009).
Lechat, P. et al. Prevalence of patent foramen ovale in patients with stroke. N Engl. J. Med. 318 (18), 1148–1152 (1988).
Tugcu, A. et al. Septal pouch in the left atrium and risk of ischemic stroke. JACC: Cardiovasc. Imaging. 3 (12), 1276–1283 (2010).
Di Tullio, M. et al. Patent foramen ovale as a risk factor for cryptogenic stroke. Ann. Intern. Med. 117 (6), 461–465 (1992).
Pearson, A. C. et al. Atrial septal aneurysm and stroke: a transesophageal echocardiographic study. J. Am. Coll. Cardiol. 18 (5), 1223–1229 (1991).
Hołda, M. K. et al. Atrial septal pouch - Morphological features and clinical considerations. Int. J. Cardiol. 220, 337–342 (2016).
Hołda, M. K. et al. Left-Sided atrial septal pouch is a risk factor for cryptogenic stroke. J. Am. Soc. Echocardiogr. 31 (7), 771–776 (2018).
Krishnan, S. C. & Salazar, M. Septal pouch in the left Atrium. A new anatomical entity with potential for embolic complications. JACC: Cardiovasc. Interventions. 3 (1), 98–104 (2010).
Strachinaru, M. et al. Left atrial septal pouch thrombus assessed on three-dimensional transoesophageal echocardiography. Eur. Heart J. Cardiovasc. Imaging. 13 (11), 967 (2012).
Wong, J. M. et al. Cryptogenic stroke and the left atrial septal pouch: A case report. J. Stroke Cerebrovasc. Dis. 23 (3), 564–565 (2014).
Aggarwal, S., Kalavakunta, J. & Gupta, V. Left atrial septal pouch thrombus: A common pathology in an uncommon location. Int. J. Cardiol. 212, 369–370 (2016).
Kabirdas, D. & Nekkanti, R. Webbed left atrial septal pouch-A new anatomical variant. Echocardiography 35 (6), 889–892 (2018).
Ohanyan, A., Cuminetti, G. & Morissens, M. Beware of the LASP! A structure with thrombogenic potential. Echocardiography 37 (1), 152–153 (2020).
Pradhan, S. et al. Blue toe syndrome caused by emboli from anomalous left atrial septal pouch thrombus: a case report. Thromb. J. 18 (1). (2020).
Khan, A. et al. Recurrent cryptogenic stroke in a patient with left atrial septal pouch. Cure. J. Med. Sci. 14 (4). (2022).
Wong, J. M. et al. Left atrial septal pouch in cryptogenic stroke. Front. Neurol. 6 (2015).
Holda, M. K. et al. Left atrial accessory appendages, diverticula, and left-sided septal pouch in multi-slice computed tomography. Association with atrial fibrillation and cerebrovascular accidents. Int. J. Cardiol. 244, 163–168 (2017).
Mazur, M., Jasinska, K. A. & Walocha, J. A. The morphology, clinical significance and imaging methods of the atrial septal pouch: A critical review. Translational Res. Anat. 13, 7–11 (2018).
Gurudevan, S. V. et al. Septal thrombus in the left atrium: is the left atrial septal pouch the culprit? JACC Cardiovasc. Imaging. 3 (12), 1284–1286 (2010).
Hołda, M. K. & Koziej, M. Left-Sided atrial septal pouch as a risk factor of cryptogenic stroke: A systematic review and Meta-Analysis. Cerebrovasc. Dis. 46 (5–6), 223–229 (2018).
Wayangankar, S. A. et al. Clinical and echocardiographic variables associated with LA septal pouch. JACC: Cardiovasc. Imaging. 6 (7), 833–835 (2013).
Yilmaz, M. et al. Left-sided atrial septal pouch and risk of cryptogenic stroke. Acta Med. Mediterranea. 32 (3), 785–789 (2016).
Kapoor, R. et al. The left atrial septal pouch: A new stroke risk factor? Translational Stroke Res. 12 (2), 205–211 (2021).
Strachinaru, M. et al. The left atrial septal pouch as a possible risk factor for stroke. Echocardiography 33 (7), 1016–1023 (2016).
Sun, J. P. et al. Prevalence of atrial septal pouch and risk of ischemic stroke. Int. J. Cardiol. 214, 37–40 (2016).
Celik, E. et al. Are left atrial diverticula and left-sided septal pouches relevant additional findings in cardiac CT? Correlation between left atrial outpouching structures and ischemic brain alterations. Int. J. Cardiol. 317, 216–220 (2020).
Michałowska, I. et al. Left atrial septal Pouch - Is it really a new risk factor for ischemic stroke? Subanalysis of the ASSAM study. J. Thorac. Imaging. 37 (3), 168–172 (2022).
Steyaert, H. et al. Prevalence of left atrial septal pouch among patients with embolic stroke of undetermined source or stroke of known etiology: A retrospective study. J. Translational Intern. Med. 10 (1), 48–55 (2022).
Liberati, A. et al. The PRISMA statement for reporting systematic reviews and meta-analyses of studies that evaluate health care interventions: explanation and elaboration. PLoS Med. 6 (7), e1000100 (2009).
Higgins, J. P. T. et al. A tool to assess risk of bias in non-randomized follow-up studies of exposure effects (ROBINS-E). Environ. Int. 186, 108602 (2024).
Furuya-Kanamori, L., Barendregt, J. J. & Doi, S. A. R. A new improved graphical and quantitative method for detecting bias in meta-analysis. Int. J. Evid. Based Healthc. 16 (4), 195–203 (2018).
JJ, D. Cochrane Chap. 10.
Klimek-Piotrowska, W. et al. Anatomy of the true interatrial septum for transseptal access to the left atrium. Ann. Anat. 205, 60–64 (2016).
Holda, M. K. et al. Porcine heart interatrial septum anatomy. Ann. Anatomy Anatomischer Anzeiger 217, 24–28 (2018).
Elsayed, M. et al. Incremental value of Live/Real time Three-Dimensional over Two-Dimensional transesophageal echocardiography in the assessment of atrial septal pouch. Echocardiography 32 (12), 1858–1867 (2015).
Vehian, A. et al. Clinical significance of left atrial anatomic abnormalities identified by cardiac computed tomography. Adv. Computed Tomography. 04, 1–8 (2015).
Terpenning, S. et al. Correlation of left atrial septal pouch with the prevalence of patent foramen ovale: A retrospective review. Cardiol. Angiology: Int. J. 3 (2), 122–129 (2015).
Holda, M. K. et al. Mid-esophageal bicaval versus short-axis view of interatrial septum in two-dimensional transesophageal echocardiography for diagnosis and measurement of atrial septal pouches. Echocardiogr. J. Cardiovasc. Ultrasound Allied Tech. 35 (6), 827–833. (2018).
Hołda, M. K. et al. Cardiac computed tomography compared with two-dimensional transesophageal echocardiography for the detection and assessment of atrial septal pouches. Int. J. Cardiovasc. Imaging. 34 (8), 1305–1313 (2018).
Goertz, L. et al. Association between pouch morphology, cardiovascular risk factors and ischemic brain lesions in patients with left-sided septal pouches. Clin. Imaging. 100, 36–41 (2023).
Amin, A. et al. Left atrial septal pouch (LASP) and cryptogenic stroke risk: an updated systematic review and meta-analysis of observational studies. Curr. Probl. Cardiol. 49 (3), 102400 (2024).
Wang, K. et al. Transcatheter intervention treatment secondary septal pouch and patent foramen ovale with an atrial septal defect occluder. J. Invasive Cardiol. https://doi.org/10.25270/jic/24.00278 (2024).
Yan, C. & Li, H. Transcatheter elimination of left atrial septal pouch for secondary stroke prevention. JACC Cardiovasc. Interv. 17 (23), 2845–2847 (2024).
Funding
This study was funded by the Ministry of Science and Higher Education, Republic of Poland as a research project under the “Diamond Grant” programme (No. DI2018 013448). The funding agencies have not the influence on the design of the study and collection, analysis, and interpretation of data and on writing the manuscript.
Author information
Authors and Affiliations
Contributions
MH and KT were involved in project concept, study design and study implementation, as well as contributed to writing of the first draft of the manuscript. JB, KT and JH were involved in data and statistical analysis. All authors contributed to data collection and manuscript editing. All authors reviewed and approved the final version of the manuscript.
Corresponding author
Ethics declarations
Competing interests
The authors declare no competing interests.
Additional information
Publisher’s note
Springer Nature remains neutral with regard to jurisdictional claims in published maps and institutional affiliations.
Supplementary Information
Below is the link to the electronic supplementary material.
Rights and permissions
Open Access This article is licensed under a Creative Commons Attribution 4.0 International License, which permits use, sharing, adaptation, distribution and reproduction in any medium or format, as long as you give appropriate credit to the original author(s) and the source, provide a link to the Creative Commons licence, and indicate if changes were made. The images or other third party material in this article are included in the article’s Creative Commons licence, unless indicated otherwise in a credit line to the material. If material is not included in the article’s Creative Commons licence and your intended use is not permitted by statutory regulation or exceeds the permitted use, you will need to obtain permission directly from the copyright holder. To view a copy of this licence, visit http://creativecommons.org/licenses/by/4.0/.
About this article
Cite this article
Tyrak, K., Batko, J., Hołda, J. et al. Association between the left-sided atrial septal pouch and the cryptogenic stroke – an updated systematic review and meta-analysis. Sci Rep 15, 37432 (2025). https://doi.org/10.1038/s41598-025-21285-y
Received:
Accepted:
Published:
Version of record:
DOI: https://doi.org/10.1038/s41598-025-21285-y








