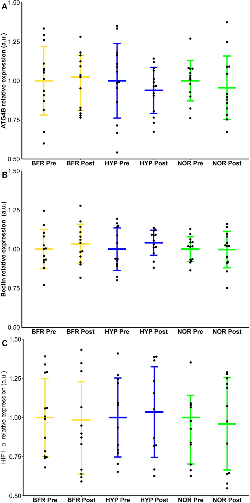
Fig. 2

Gene induction after exercise. mRNA level of (A) ATG4B, (B) Beclin, and (C) HIF1-α, was analyzed by RT-PCR. β-actin was used as a housekeeping control to normalize the expression of the target genes. (N = 15).

Gene induction after exercise. mRNA level of (A) ATG4B, (B) Beclin, and (C) HIF1-α, was analyzed by RT-PCR. β-actin was used as a housekeeping control to normalize the expression of the target genes. (N = 15).