Abstract
Intercropping is widely recognized as a sustainable practice for enhancing soil fertility and crop productivity. This study evaluated the effects of different intercropping systems on the physicochemical properties of tobacco-planting soil, nutrient uptake in tobacco plants, yield, and economic benefits to optimize tobacco cultivation. A two-year field experiment (2023–2024) was conducted in Midu and Weishan, Yunnan province, with five treatments: tobacco monoculture (TT), tobacco-buckwheat (TM), tobacco-soybean (TS), tobacco-peanut (TP), and tobacco-sweet potato (TH) intercropping. We measured soil nutrient levels and the nitrogen (N), phosphorus (P), and potassium (K) content in the roots, stems, and leaves of tobacco plants, and comprehensively evaluated leaf yield and sensory quality. The results indicated that the TS treatment significantly increased soil N and P availability and enhanced nitrogen accumulation in plants, elevating leaf N content by 71.43% compared to TT in 2024. The TM treatment improved potassium supply and increased P content in roots and K content in leaves. Economically, TS yielded the highest net return, which was 18.89% greater than TT, with benefit-cost ratios (BCR) of 1.75 (2023) and 1.78 (2024). Conversely, TH had the lowest BCR due to its higher production costs. Sensory evaluation revealed that TS produced tobacco with superior aroma quality and harmony, scoring closely to TT, while TM and TP resulted in a moderate aroma with slightly stronger irritation. In conclusion, the tobacco-soybean (TS) intercropping system demonstrated optimal performance in improving soil nutrient supply, promoting plant nutrient accumulation, and enhancing leaf quality and economic returns, showing high potential for widespread adoption.
Introduction
Tobacco (Nicotiana tabacum L.) is a globally important economic crop, with a cultivation area exceeding 1 million hectares in China. As the country’s largest producer of high-quality tobacco, Yunnan Province accounts for nearly half of the national total output. However, tobacco production in Yunnan faces challenges such as declining planting area and fluctuating leaf quality, which threaten the sustainable development of the local tobacco industry1. Owing to its susceptibility to continuous cropping obstacles, long-term monoculture often leads to soil degradation, increased pest and disease incidence, and reduced yield and quality2,3. Consequently, crop rotation and intercropping have become essential strategies for optimizing land use and enhancing agricultural sustainability.
Compared with monoculture, intercropping improves land use efficiency by leveraging complementary ecological niches and interspecific interactions in time and space, enabling differential utilization of light, water, and nutrient resources4,5. Furthermore, intercropping can enhance soil biodiversity, stabilize crop yields, improve fertilizer use efficiency, optimize the allocation of land and water resources, and suppress pests, diseases, and weeds6,7,8,9.
Recent years have seen considerable progress in both domestic and international research on tobacco-based intercropping systems, including combinations with cereals, vegetables, and other crops. These studies have primarily focused on the effects of intercropping on tobacco biomass, yield, quality, and soil ecology10,11. For example, intercropping was shown to increase the aboveground biomass of tobacco by approximately 40.5% compared with monoculture, while nitrogen and potassium accumulation increased by 40% and 22.6%, respectively12. Intercropping tobacco with marigold raised soil pH by 0.57 units, effectively alleviating acidification and reducing the incidence of bacterial wilt by 68.3%13. Zhou et al. reported that intercropping tobacco with endive, onion, or lettuce increased soil organic matter content by 30–45% and significantly enhanced urease and sucrase activities in the tobacco rhizosphere. Tobacco–onion intercropping improved enzyme activity by more than 40%, whereas tobacco–endive intercropping achieved the highest tobacco biomass10. Singh et al. demonstrated in Bihar, northeastern India, that tobacco–garlic intercropping yielded the highest economic returns, with a benefit–cost ratio (BCR) of 1.8114. Additionally, Liu et al. used metabolomic and metagenomic analyses to show that tobacco–soybean and tobacco–maize intercropping enhanced the ABC transporter pathway in tobacco roots, thereby improving transmembrane transport, alleviating continuous cropping obstacles, and increasing abiotic stress tolerance15. These findings demonstrate that different intercropping systems exert diverse effects on tobacco growth, disease control, and nutrient availability. Nevertheless, systematic comparisons of the comparative advantages and field adaptability of various intercropping systems in improving soil fertility and controlling diseases remain relatively limited. Moreover, most existing studies were conducted under specific regional or management conditions, which restricts their broader applicability and reference value.
Previous research has predominantly focused on intercropping tobacco with a single cereal or vegetable crop, often emphasizing isolated aspects such as soil properties or disease suppression. Comprehensive evaluations of how different intercropping systems simultaneously influence soil physicochemical properties, tobacco yield, and leaf quality within a unified experimental framework are still scarce. Therefore, this study conducted field experiments with multiple tobacco intercropping systems in a representative tobacco-growing region of Yunnan, China, to systematically assess their integrated effects on soil nutrients, flue-cured tobacco yield, and leaf quality. The aim was to provide more robust scientific evidence for sustainable tobacco production.
Regarding crop selection, soybean, buckwheat, peanut, and sweet potato were chosen as companion crops in this study due to their phylogenetic distance from tobacco (Solanaceae). Buckwheat (Polygonaceae), sweet potato (Convolvulaceae), soybean, and peanut (Fabaceae) are not closely related to tobacco, which reduces the risk of shared pests, diseases, and intense nutrient competition. Furthermore, these crops have established economic value and cultivation bases in the region. Preliminary surveys indicated that some farmers in southwestern China have already begun intercropping these crops with tobacco, albeit without systematic management models, leading to irregular cultivation practices and suboptimal yields. The objective of this study was to systematically evaluate the agronomic adaptability, ecological complementarity, and economic benefits of these intercropping systems, thereby providing theoretical and practical guidance for sustainable flue-cured tobacco production in Yunnan and ecologically similar regions.
Materials and methods
Site description
The field experiments were conducted from 2023 to 2024 at two locations: Midu County (25.38°N, 100.41°E) and Weishan Yi and Hui Autonomous County (25.23°N, 100.30°E), both situated in Dali Bai Autonomous Prefecture, Yunnan Province, China. The Midu site experiences a mid-subtropical monsoon climate, with a mean annual temperature of 17.3 °C and mean annual precipitation of 824.4 mm. In comparison, the Weishan site is characterized by a north-subtropical plateau monsoon climate, with a mean annual temperature of 15.6 °C and mean annual precipitation of 802.1 mm. Precipitation records for both experimental years are provided in Fig. 1, and initial soil properties of the experimental fields are summarized in Table 1.
Experimental design
The experimental fields featured relatively flat terrain and uniform soil fertility. A randomized complete block design (RCBD) was implemented with five treatments: tobacco monoculture (TT), tobacco–buckwheat intercropping (TM), tobacco–soybean intercropping (TS), tobacco–peanut intercropping (TP), and tobacco–sweet potato intercropping (TH). Each treatment was replicated five times. Plot sizes were 42.0 m² in Midu and 36.0 m² in Weishan, reflecting variations in local field conditions. Within each site, all plots were uniform in size. Tobacco was planted with a row spacing of 100 cm and plant spacing of 50 cm. Guard rows of 1 m were established between plots to minimize edge effects. A detailed field layout is provided in Supplementary Figure S1. All fields had been under continuous tobacco cropping for the three years preceding the experiment.
The tobacco cultivar used was Honghuadajinyuan (Nicotiana tabacum L.). The intercropped species included buckwheat (Yunqiao No. 1), soybean (Yunhuang No. 13), peanut (Huayu No. 22), and sweet potato (Pushu No. 32). Tobacco seedlings were transplanted on 6 May 2023 and 8 May 2024 at both sites. Intercrops were introduced 15 days after tobacco transplanting: soybean, buckwheat, and peanut were direct-seeded, while sweet potato was established using vine cuttings. Intercrops were planted on the tobacco ridges at a distance of 20 cm from the tobacco stem base. The intercropping configurations were 1:4 (tobacco : soybean/buckwheat/peanut) and 1:2 (tobacco : sweet potato). No crops were planted following tobacco harvest in September of the previous year. Field preparation, ridging, and other agronomic practices—including manual weeding, irrigation, and pest and disease control—followed local standardized protocols for flue-cured tobacco production to ensure consistency across all treatments and replicates.
The soil available potassium content was relatively low at the Midu experimental site, while the phosphorus nutrient content was deficient at the Weishan experimental site (Table 1), which led to slight differences in fertilization practices between the two locations. The fertilization regimens for flue-cured tobacco and intercropped crops were adjusted according to crop growth stages and planting density, thereby isolating the “intercropping effect” from the “fertilization effect”16,17. A tobacco-specific compound fertilizer (N: P₂O₅:K₂O = 10:10:24) was used for both base and topdressing applications. Topdressing was performed every 30 days. Total fertilizer application per hectare was as follows: in Midu, N 90 kg/ha, P₂O₅ 90 kg/ha, K₂O 231 kg/ha; in Weishan, N 90 kg/ha, P₂O₅ 97.8 kg/ha, K₂O 216 kg/ha. Fertilizer inputs for the intercrops were adjusted according to plant density and growth requirements to maintain consistent nutrient availability per plant, thereby minimizing fertilization bias. The fertilization regimen was based on recommended practices for Dali Prefecture18. Detailed fertilization schedules and rates are provided in Supplementary Table S1.
Measurements and analytical methods
Determination of plant nutrient contents
At 30, 60, 90, and 120 days after transplanting, plant samples were collected from each treatment using a five-point sampling method. Ten plants were collected per treatment, with two plants randomly selected from each replicate plot. Each plant was separated into roots, stems, and leaves. The samples were deactivated at 105 °C for 30 min, oven-dried at 75 °C until constant weight was achieved, ground into powder, and passed through a 60-mesh sieve. Total nitrogen (N), phosphorus (P), and potassium (K) contents were determined after digestion with a H₂SO₄-H₂O₂ digestion system19. Specifically, total N was quantified using the Kjeldahl method (KJELTEC™ 8400 analyzer); total P was measured by spectrophotometry according to NY/T 85-1988, with absorbance read at 700 nm on a UV–Vis spectrophotometer; and total K was analyzed by flame photometry at 766.5 nm following NY/T 87-198820.
Soil sampling and analysis of physicochemical properties
Soil samples were collected from each replicated plot before fertilization and at 30, 60, 90, and 120 days after transplanting using a five-point method. Following careful uprooting of the tobacco plants, loosely adhered soil was removed, and the tightly adhered rhizosphere soil was collected. Samples from the same plot were composited into one replicate. Fresh soils were passed through a 2 mm sieve to remove plant residues and gravel, homogenized, and air-dried prior to analysis21. The sampling time points corresponded to key growth stages: rosette (30 d), vigorous growth (60 d), flowering/topping (90 d), and maturity (120 d), enabling assessment of dynamic changes in soil chemical properties22.
Soil total N was determined by continuous flow analysis (LY/T 1228–2015); total P by alkali fusion–molybdenum antimony colorimetry (NY/T 88-1988); total K by atomic absorption spectrophotometry (NY/T 87-1988)23; available N by the alkali diffusion method (LY/T 1228–2015)24; available P by spectrophotometry (LY/T 1232–2015); and available K by flame photometry (NY/T 889–2004)25.
Yield and economic benefit analysis
In mid-October of both 2023 and 2024, harvested tobacco leaves were graded according to the national standard GB 2635 − 1992. Yield and output value were recorded for each treatment. Tobacco price was based on the local corporate purchase price of the corresponding year, while the economic value of intercropped crops was calculated using market prices and actual yields. For monoculture (TT), the total output value included tobacco only; for intercropping systems, it was the sum of values from both tobacco and the companion crop.
Economic performance was evaluated using the benefit–cost ratio (BCR), defined as:
BCR = Total Output Value / Total Cost.
where total output value is the market value of all sold products, and total cost encompasses all agricultural inputs. A higher BCR indicates superior economic efficiency26.
Sensory quality assessment
After grading by GB 2635 − 1992, 1 kg of C3F-grade tobacco leaves per treatment was conditioned to approximately 20% moisture content, stemmed, cut into shreds, and rolled into standard cigarettes. Sensory evaluation was performed by five trained panelists from the Technical Center of Yunnan Tobacco Company, in accordance with YC/T 530–2015. Attributes evaluated included aroma quality, aroma volume, off-odor, diffusivity, smoothness, softness, mellowness, irritation, dryness, aftertaste, and overall smoking quality. Cigarettes from each treatment were randomly coded and assessed under double-blind conditions.
Statistical analysis
Data were compiled using Microsoft Excel 2016. All statistical analyses were performed with SPSS 19.0 (IBM Corp., Armonk, USA). One-way analysis of variance (ANOVA) was applied, and mean values were compared using Tukey’s honest significant difference (HSD) test at a significance level of P ≤ 0.05. Figures were generated using Origin 2021.
Results
Soil physicochemical properties under different intercropping systems
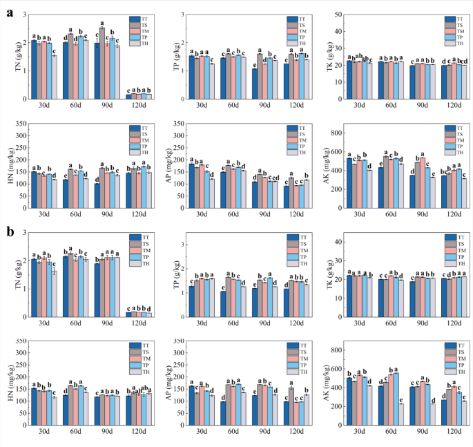
Intercropping significantly enhanced the soil nutrient status in tobacco fields. At the Midu site in 2023 (Fig. 2a), total nitrogen (TN) was higher in the tobacco monoculture (TT) and tobacco–buckwheat intercropping (TM) at 30 days after transplanting. However, TN under tobacco–soybean (TS) and tobacco–peanut (TP) intercropping increased gradually with crop growth, peaking in TS at 90 days (2.53 g/kg), whereas TN in TT and TM was significantly lower than in other treatments. By 120 days, TN decreased markedly across all treatments, though legume-based intercropping systems remained significantly higher. Total phosphorus (TP) was initially higher in TM, TP, and tobacco–sweet potato (TH) at 30 days. From 60 days onward, TS and TP showed higher TP values until 120 days, with TT recording the lowest (1.07 mg/kg). Total potassium (TK) was highest in TT at 30 days (22.63 g/kg) but decreased rapidly thereafter. At 90 and 120 days, TM consistently maintained higher TK levels. Regarding available nutrients, hydrolyzable nitrogen was highest in TT at 30 days but became significantly lower than in intercropping treatments from 60 to 120 days, with TS and TP being significantly higher than TM and TH. Available phosphorus was highest under TS, exceeding TT by 53.63% at 120 days; TH was also significantly higher than TT and TM at this stage. Available potassium was consistently lowest in TH across all sampling periods, while TM reached its peak at 90 days (537.42 mg/kg) and remained relatively high afterward. In 2024 (Fig. 2b), trends were generally consistent with the previous year. TN was highest in TT at 30 days but became significantly lower than in TS at later stages. TP remained lowest in TT throughout the growth cycle. TH showed the highest TP at 30 days but was surpassed by legume systems and TM from 60 days onward. TS maintained significantly higher TN and TP from 60 days onward, exceeding TT by 13.77% and 30.34%, respectively, at 120 days. For TK, TM performed best across stages, while TS was lowest at 120 days. Legume systems, particularly TS, also showed higher hydrolyzable nitrogen and available phosphorus, with available P in TS being 1.58 times that of TT at 120 days. Available K varied significantly, with TM consistently higher and TH the lowest. Table 2 confirms that intercropping significantly influenced soil nutrient dynamics.
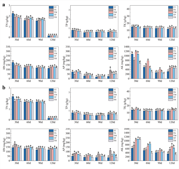
At the Weishan site, TN decreased in all treatments by 120 days, though differences were not significant (Fig. 3a, b). In both years, TN and TP were significantly higher in TT at 30 days. From 60 days onward, TS showed higher nutrient levels, while TH underperformed compared to TM and TP. Regarding TK, TM ranked highest at 90 and 120 days in 2023 and maintained higher levels throughout 2024; at 120 days, TK in TM exceeded TT by 22.70% (2023) and 14.93% (2024). For available nutrients, hydrolyzable nitrogen was higher in intercropping systems than in monoculture at 120 days in both years. In 2023, TH was significantly lower than TS and TM, though differences among intercropping treatments were minor in 2024. Available phosphorus was significantly improved under intercropping, especially in TS, which reached 113.34 mg/kg at 120 days in 2024—3.20 times that of TT. TM markedly enhanced available K, exceeding TT by 1.58 times (2023) and 2.07 times (2024) at 120 days. Treatment effects were more distinct in 2024, with TM outperforming legume systems, which in turn exceeded TT and TH. Overall, intercropping also significantly improved soil nutrient availability at the Weishan site (Table 2).
In summary, TS and TP were more conducive to nitrogen and phosphorus accumulation, TM was most effective in improving potassium availability, and TH was less effective than other intercropping systems yet still superior to TT.
Soil chemical properties at the Midu experimental site. (a) Soil chemical properties at the Midu experimental site in 2023. (b) Soil chemical properties at the Midu experimental site in 2024. Different lowercase letters indicate significant differences among treatments. TN: Total Nitrogen (g/kg); TP: Total Phosphorus (g/kg); TK: Total Potassium (g/kg); HN: Hydrolyzable Nitrogen (mg/kg); AP: Available Phosphorus (mg/kg); AK: Available Potassium (mg/kg). Intercropping Treatments: TT: Tobacco monoculture; TS: Tobacco-soybean intercropping; TM: Tobacco-buckwheat intercropping; TP: Tobacco-peanut intercropping; TH: Tobacco-sweet potato intercropping. Same as below.
Nutrient content in different parts of tobacco under different intercropping systems
Nitrogen content
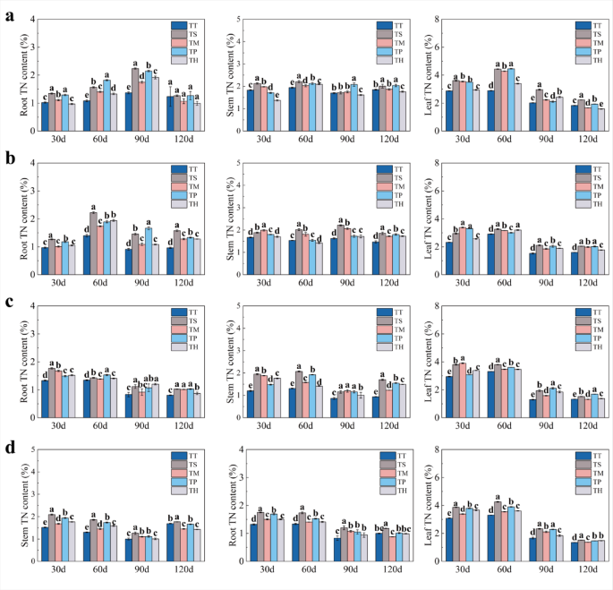
The effects of intercropping on nitrogen content in various tobacco plant parts were generally consistent between 2023 and 2024 at the Midu site (Fig. 4a, b). In roots, legume-based intercropping maintained significantly higher nitrogen contents than other treatments from 30 to 90 days, with TT consistently showing the lowest values. By 120 days, root nitrogen content did not differ significantly among treatments in 2023; however, in 2024, TS displayed the highest value, exceeding TT by 63.54%. In stems, TS generally exhibited higher nitrogen levels across both years. At 30 days, stem nitrogen under TS and TM was significantly higher than in TT, TP, and TH. TS showed the highest value at 60 days. While TP surpassed TS at 90 days in 2023, the reverse occurred in 2024, with TS being significantly higher. By 120 days, legume intercropping treatments yielded the highest stem nitrogen contents. In leaves, TS, TM, and TP all had significantly higher nitrogen levels than TT and TH at 30 days in both years. At 60 days, leaf nitrogen was highest under TS and TP in 2023 (4.44% and 4.46%, respectively), whereas TS and TH were higher in 2024. By 120 days, TS consistently achieved the highest leaf nitrogen content, exceeding TT by 41.14% in 2023 and 71.43% in 2024.
Similar trends were observed at the Weishan site, where legume intercropping—especially TS—markedly enhanced nitrogen accumulation in tobacco (Fig. 4c, d; Table 3). Root nitrogen under TS was significantly higher than in TP and non-legume treatments (TM, TH, TT) throughout the growing season in both years, with TT consistently ranking lowest. In stems, TS maintained the highest nitrogen content, reaching 1.70% at 120 days in 2023—1.81 times that of TT. TM and TP showed variable performance: in 2023, TM was higher at 30 days but lower than TP at 60 and 120 days; in 2024, TM surpassed TP from 60 to 120 days (Fig. 4d). For leaves, TT consistently showed the lowest nitrogen content across both years. At 30 days in 2023, TM was significantly higher than legume systems and TH, exceeding the latter by 15.28%. By 60 days, legume systems outperformed TM and TH. From 90 to 120 days, legumes remained higher than TH, which in turn exceeded TM. In 2024, legumes consistently maintained higher leaf nitrogen than both TM and TH throughout the growth period, with TS being significantly higher than TP.
In summary, legume intercropping, particularly TS, most effectively promoted nitrogen accumulation in tobacco plants. TM and TH also showed beneficial effects, though to a lesser extent.
Total nitrogen content in roots, stems, and leaves of tobacco plants under different treatments at Midu and Weishan experimental sites in 2023 and 2024. (a) Total nitrogen content in roots, stems, and leaves of tobacco plants under different treatments at Midu experimental site in 2023; (b) Total nitrogen content in roots, stems, and leaves of tobacco plants under different treatments at Midu experimental site in 2024; (c) Total nitrogen content in roots, stems, and leaves of tobacco plants under different treatments at Weishan experimental site in 2023; (d) Total nitrogen content in roots, stems, and leaves of tobacco plants under different treatments at Weishan experimental site in 2024.
Phosphorus content
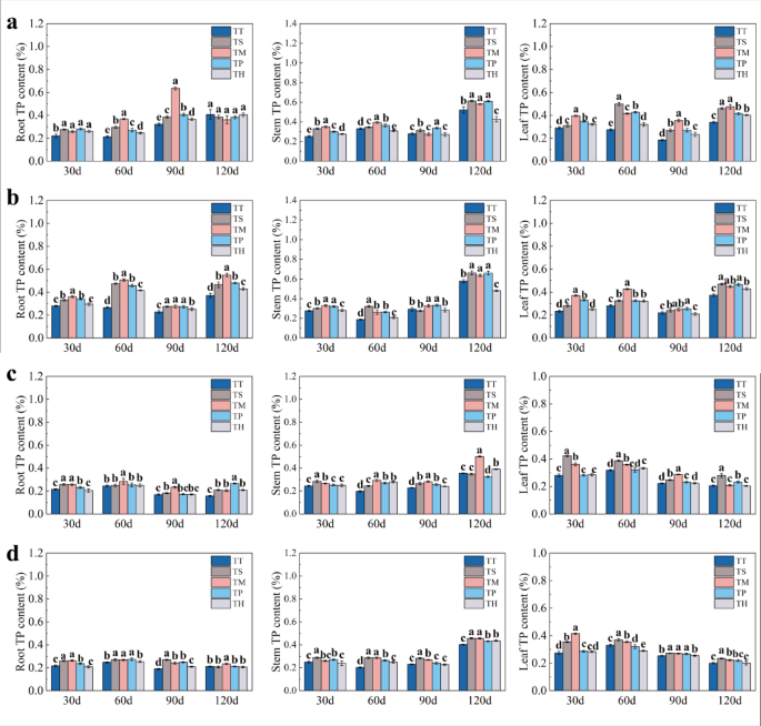
At the Midu site, the trends in phosphorus content of tobacco plants were generally consistent between 2023 and 2024. TM showed the highest values, followed by the legume intercropping treatments, while TH and TT were relatively lower (Fig. 5a, b). In 2023, TT had the lowest root phosphorus contents from 30 to 90 days. At 60 and 90 days, TM was significantly the highest, peaking at 0.64% at 90 days. By 120 days, no significant differences were observed among treatments. In 2024, TT remained significantly lower than the intercropping treatments throughout the season, while TM was consistently the highest, reaching 0.55% at 120 days. In stems, TH was significantly lower than TT at 120 days in both years (0.43% in 2023 and 0.48% in 2024), whereas TS, TM, and TP were significantly higher than TT. Similar trends were observed in leaves across both years, with TS, TM, and TP being significantly higher than TT, and TM maintaining higher leaf phosphorus contents throughout the growing season. Overall, intercropping significantly influenced phosphorus accumulation in tobacco, although interannual differences in leaf phosphorus content were not significant (Table 4).
At the Weishan site, root phosphorus contents showed consistent trends at 30 days in both years, with TS and TM significantly higher than TT, TP, and TH (Fig. 5c, d). At 60 days, TM was the highest in 2023, while in 2024, both TM and the legume treatments were significantly higher than TT and TH. At 90 and 120 days, higher values were observed in TM and TP in 2023, and in TS and TM in 2024. In stems, TS showed the highest phosphorus content at 30 days in both years. At 60 days, TM was the highest, while TT was the lowest. At 90 days, TM was significantly higher than the legume treatments in 2023, whereas in 2024, TS was significantly higher than TM. By 120 days, stems became the main site of phosphorus accumulation, with TM reaching the highest values in both years (0.50% in 2023 and 0.46% in 2024). For leaves, TS was significantly higher than TM at 30 and 60 days in 2023, while TM peaked at 90 days. At 120 days, TS and TP exceeded TM by 34.13% and 11.54%, respectively. In 2024, TM was highest at 30 and 90 days, while TS was highest at 60 and 120 days. These results indicate that intercropping exerted a stable and significant promoting effect on phosphorus accumulation in tobacco at the Weishan site, with no significant interannual variation in leaf phosphorus content (Table 4).
Total phosphorus content in roots, stems, and leaves of tobacco plants under different treatments at Midu and Weishan experimental sites in 2023 and 2024. (a) Total phosphorus content in roots, stems, and leaves of tobacco plants under different treatments at Midu experimental site in 2023; (b) Total phosphorus content in roots, stems, and leaves of tobacco plants under different treatments at Midu experimental site in 2024; (c) Total phosphorus content in roots, stems, and leaves of tobacco plants under different treatments at Weishan experimental site in 2023; (d) Total phosphorus content in roots, stems, and leaves of tobacco plants under different treatments at Weishan experimental site in 2024.
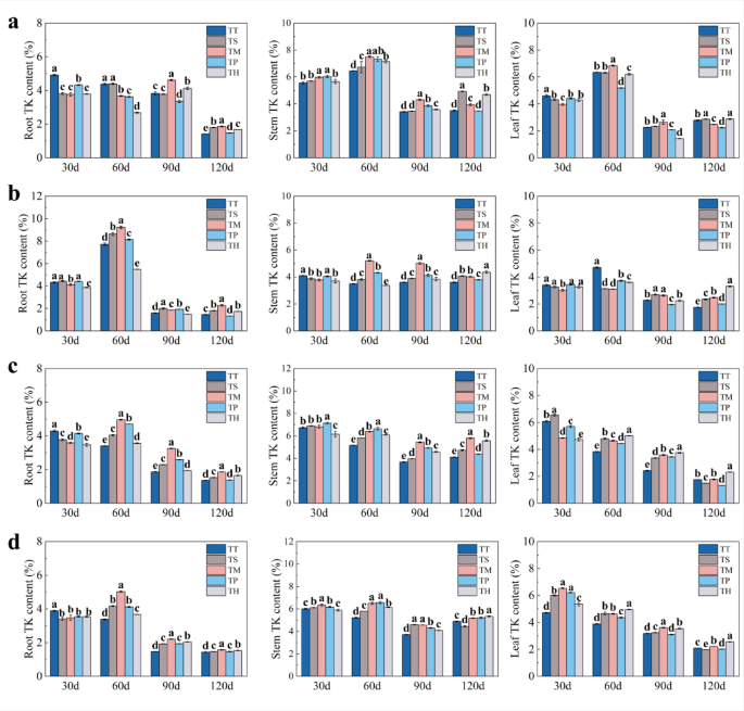
Potassium content
As shown in Fig. 6, potassium content in various parts of tobacco plants declined with growth progression, with the most pronounced decrease observed in leaves. At the Midu site, intercropping significantly affected potassium content in roots, stems, and leaves (Fig. 6a, b; Table 5, P < 0.001). In roots, the TT treatment showed significantly higher potassium content than intercropping treatments at 30 and 60 days in 2023, reaching 4.92% at 30 days. However, at 90 and 120 days, TM recorded the highest values. The TP treatment consistently exhibited significantly lower root potassium content compared to other intercropping systems (Fig. 6a). In 2024, root potassium content under TS was significantly higher than TM and TH at 30 and 90 days, while TM was highest at 60 and 120 days (Fig. 6b). In stems, intercropping treatments generally outperformed monoculture in 2023, with TM showing the highest values from 30 to 90 days. In 2024, TM recorded the highest potassium content at 60 and 90 days (5.21% and 5.02%, respectively), while at 120 days, TH exceeded TM by 8.73%. For leaves, the TM treatment was significantly higher at 60 and 90 days in 2023, peaking at 6.85% at 60 days. In both years, TM was the lowest at 30 days, whereas TH showed the highest leaf potassium content at 120 days, reaching 2.87% in 2023 and 3.31% in 2024.
At the Weishan site, intercropping also significantly influenced potassium content across all plant parts (Fig. 6c, d). In roots, TT was significantly higher than all intercropping treatments at 30 days in both years; however, TM maintained relatively high potassium levels at 60, 90, and 120 days, reaching 1.86% at 120 days. In stems, TM was significantly higher than other treatments at 90 and 120 days in 2023, with values of 5.43% and 5.80%, respectively (Fig. 6c). In 2024, TM showed the highest stem potassium content at 30, 60, and 90 days, while TH was highest at 120 days (5.35%) (Fig. 6d). For leaves, TS was highest at 30 days in 2023 (6.55%), but TH performed consistently better from 60 to 120 days, exceeding TT by 30.80%, 54.90%, and 32.40%, respectively. The trend in leaf potassium content remained largely consistent in 2024, with TH maintaining higher values after 60 days.
In summary, different planting patterns significantly influenced potassium uptake and distribution in tobacco plants. The TM and TH treatments exhibited stronger potassium uptake and accumulation capacity during the mid to late growth stages.
Total potassium content in roots, stems, and leaves of tobacco plants under different treatments at Midu and Weishan experimental sites in 2023 and 2024. (a) Total potassium content in roots, stems, and leaves of tobacco plants under different treatments at Midu experimental site in 2023; (b) Total potassium content in roots, stems, and leaves of tobacco plants under different treatments at Midu experimental site in 2024; (c) Total potassium content in roots, stems, and leaves of tobacco plants under different treatments at Weishan experimental site in 2023; (d) Total potassium content in roots, stems, and leaves of tobacco plants under different treatments at Weishan experimental site in 2024.
Yield and economic benefits under different intercropping systems
Among the intercropping systems, TS exhibited the best performance in enhancing economic benefits, with consistent results across both the Midu and Weishan sites (Table 6). At the Midu site in 2023, no significant differences were observed in tobacco yield or output value among the treatments. The proportion of high-grade tobacco leaves was highest under TT (70.00%). In comparison, TS was slightly lower (68.28%), while TM and TP showed significantly lower proportions, at 65.35% and 66.42%, respectively. Although TM, TP, and TH significantly increased the total output value, their higher production costs resulted in a notably reduced benefit–cost ratio (BCR), the detailed production costs are shown in Table S2. In contrast, despite moderately higher costs, TS maintained a relatively high BCR of 1.75. In 2024, yield and output value again showed no significant differences among treatments. Notably, the net income under TS was 16.71% and 19.83% higher than that of TT and TM, respectively, and its BCR further increased to 1.78.
At the Weishan site, the differences were more pronounced (Table 6). In 2023, TT and TS achieved significantly higher tobacco yield and output value compared to TM, TP, and TH. The net income under TS exceeded that of TT by 12.24%. In contrast, TM and TP showed significantly lower yield and output value than TT. Intercropping with sweet potato also increased net income by 6.12% compared to TT, but its BCR was only 1.57. In 2024, TS achieved significantly higher yield and output value than TT, with the proportion of high-grade tobacco reaching 69.25%. The TS treatment resulted in a more pronounced economic return compared to 2023, whereas the TT treatment showed a decline across multiple metrics, indicating stronger stability in the intercropped soybean system.
In summary, soybean intercropping not only had minimal adverse effects on tobacco quality but also significantly improved economic returns. Moreover, continuous soybean intercropping contributed to enhanced income stability over time.
Sensory quality of tobacco leaves under different intercropping systems
As summarized in Table 7, the sensory quality of cured tobacco leaves varied among the intercropping treatments. At the Midu site in 2023, both TT and TS exhibited superior aroma quality and quantity, along with smoother smoke and better overall balance. However, TS was associated with relatively stronger irritation. TM and TP produced a moderate aroma but lower smoothness, whereas TH delivered abundant aroma, reduced off-flavors, and a smoother smoking experience. In 2024, TT, TS, and were characterized by higher aroma quality and delicacy, though accompanied by increased irritation and a fuller aftertaste. Among these, TT and TS received the highest overall sensory scores—70 and 69, respectively. TM and TP again presented a moderate aroma with less roundedness, resulting in lower total scores compared to the other treatments. The treatment had significant effects on all evaluated parameters except offensive odor, while the year showed no significant influence on aroma quality, diffusiveness, smoothy, or softness (Table 8).
At the Weishan site in 2023, TS received the highest ratings in aroma quality, delicacy, and intensity of irritation, although the smoke was perceived as slightly dry, yielding a total score of 69. TT was noted for higher smoothness and a more lingering aftertaste. TM and TP showed moderate aroma quality, weaker diffusiveness, and an acceptable aftertaste. TH performed well in terms of reduced off-flavors, along with superior diffusiveness, delicacy, smoothness, and aftertaste. In 2024, all treatments were rated as having moderate aroma quality. TT, TS, and TH displayed better diffusiveness and a fuller aftertaste, while TM was characterized by more off-flavors, weaker delicacy, and reduced smoothness, resulting in the lowest overall score. The application of treatment demonstrated significant effects on multiple sensory evaluation indicators of tobacco leaves, whereas the year factor did not significantly affect offensive odor, smoothy, irritant, or dryness (Table 9).
In summary, the TT and TS treatments demonstrated more balanced sensory properties, while TH was notable for its full and persistent aftertaste.
Discussion
Effects of different intercropping systems on soil physicochemical properties in tobacco fields
This study investigated the effects of different intercropping systems on the dynamics of key soil nutrients in tobacco fields. Soil nitrogen is a critical factor influencing tobacco yield and quality27. In this study, the TS and TP treatments resulted in significantly higher soil total nitrogen at 60 days, which can be attributed to the peak nitrogen fixation activity of soybean and peanut at this stage. For soybean, maximum nitrogen fixation occurs at the R3 stage (pod formation), while for peanut, it peaks around 45 days after sowing28,29. Additionally, isoflavones secreted by legume roots may have contributed to this effect. The expression of isoflavone synthesis genes GmCHS and GmIFS increases during the R2 stage, and isoflavones promote rhizobial recruitment and modulate rhizosphere microbial communities, thereby enhancing nitrogen cycling activity30. Results from both experimental sites showed that soil total nitrogen decreased significantly during the late growth stage (120 days), likely due to a shift in source–sink relationships during tobacco maturation, which increased nitrogen uptake by the plants. This finding is consistent with Li et al.31. Furthermore, soil total nitrogen under TS and TP was better maintained in 2024 than in 2023, suggesting that biological nitrogen fixation by legumes provided a continuous nitrogen supply throughout the growing season. This may be associated with increased activity of nitrogen-targeting enzymes under intercropping, supporting the hypothesis proposed by Chen et al.32. It should be noted, however, that this study did not directly measure isoflavone secretion or soil enzyme activities, which limits mechanistic interpretation. In addition, the dynamics of soil hydrolyzable nitrogen—a directly available form of nitrogen for tobacco uptake—were consistent with nitrogen accumulation in roots, indicating that legume intercropping may improve soil nitrogen supply by enhancing hydrolyzable nitrogen availability33.
Trends in soil nutrient responses to intercropping were generally consistent between the Midu and Weishan sites. Differences were observed, however, in soil total phosphorus and available phosphorus contents, which may be attributed to site-specific soil and climatic conditions. Total and available phosphorus levels in Midu soils were 1.33 and 1.25 times higher, respectively, than those in Weishan (Table 1). As phosphorus is a key limiting factor for tobacco growth, the increase in soil phosphorus under intercropping—particularly legume systems—over both years is notable and aligns with Yang et al.34. A plausible explanation is that legume roots secrete organic acids that chelate Fe³⁺, Al³⁺, or Ca²⁺ ions, mobilizing fixed phosphorus into plant-available forms35. At the Weishan site, the TS treatment resulted in the highest available phosphorus level (113.34 mg/kg) at 120 days in 2024. This may be due to the lower baseline phosphorus content at Weishan, which could have induced stronger phosphorus mobilization by soybean, thereby amplifying the intercropping effect36. Although 113.34 mg/kg represents a relatively high available phosphorus level, it remains consistent with the background characteristics of tobacco-growing soils in Dali Prefecture, Yunnan. Previous studies have reported available phosphorus levels in Dali tobacco soils ranging from 2.47 to 245.80 mg/kg, with a mean of 38.23 mg/kg; the mean value in Weishan County is 43.3 mg/kg, which is higher than the overall average for Dali37. Thus, the available phosphorus levels observed in this study, though elevated, fall within the reasonable range of local soil conditions.
Rainfall during the 2023 tobacco growing season was significantly higher than in 2024. At the Midu site, the average monthly rainfall from May to September was approximately 197 mm in 2023, compared with only 14.2 mm during the same period in 2024. This pronounced difference in precipitation led to noticeable changes in soil available phosphorus (Fig. 1), suggesting that excessive rainfall accelerated phosphorus leaching and considerably affected soil nutrient availability. Meanwhile, intercropping systems increased canopy coverage, effectively reducing soil erosion and further mitigating phosphorus loss, consistent with the findings of Gitari et al.38. Recent studies have also demonstrated that intercropping can enhance the activity of soil acid phosphatase, thereby promoting phosphorus mineralization39, which aligns with our observation that intercropping treatments maintained higher soil phosphorus levels than monoculture. However, since acid phosphatase activity was not measured in this study, the mechanistic interpretation of phosphorus activation remains limited. In 2024, soil available phosphorus under tobacco monoculture was significantly lower at both Midu and Weishan sites compared with intercropping treatments, indicating that continuous monocropping depletes soil available phosphorus and disrupts nutrient balance40. In contrast, intercropping systems can improve soil phosphorus availability through organic acid secretion and enhanced mineralization, partially alleviating the risk of soil degradation associated with monocropping.
Regarding soil potassium, differences were observed between the two sites. Midu soils had higher total potassium but lower available potassium, whereas Weishan soils exhibited the opposite trend. This discrepancy may be attributed to differences in soil mineral composition: Midu soils are rich in 2:1 clay minerals (e.g., illite and montmorillonite), which have a strong potassium fixation capacity, thereby limiting available potassium release. In contrast, Weishan soils possess weaker potassium fixation, resulting in higher available potassium levels18,41. These inherent soil characteristics influenced potassium uptake by tobacco. Nevertheless, intercropping treatments—particularly tobacco–buckwheat—improved the supply of available potassium, partially buffering the impact of native soil properties on potassium availability for tobacco growth. In 2024, both total and available potassium under monoculture declined compared with 2023 at both sites, demonstrating that continuous monocropping progressively exacerbates soil nutrient imbalance, consistent with previous reports42. This is largely attributable to the high potassium demand of tobacco, and sustained uptake gradually depletes soil potassium reserves. The tobacco–buckwheat intercropping treatment significantly increased both total and available potassium compared with other treatments, indicating its positive role in sustaining soil potassium over time. This result aligns with Liu et al., who reported that intercropping Polygonaceae crops with Solanaceae species significantly improved soil nutrient status43. In contrast, tobacco–sweet potato intercropping resulted in relatively lower soil potassium, particularly available potassium, likely because both species are potassium-demanding crops and compete intensely for potassium within the same root zone, rapidly depleting soil potassium pools44,45,46. Therefore, selection of intercrops in tobacco systems should account for species-specific potassium requirements to avoid intensifying potassium limitation while improving other soil nutrients.
Compared with 2023, the positive effects of intercropping on soil nutrients were more pronounced in 2024, suggesting a cumulative improvement over time. Notably, tobacco–soybean and tobacco–buckwheat systems achieved the highest levels of soil available phosphorus and available potassium. This may be attributed to the continuous input of root exudates and crop residues during successive cultivation, which promoted nutrient accumulation and activation7,47. Intercropping not only improves soil nutrients in the short term but may also enhance nutrient cycling and reshape soil microbial community structure over time, thereby increasing nutrient use efficiency and agricultural sustainability48. However, long-term experiments are needed to confirm the cumulative benefits of different tobacco-based intercropping systems, and the underlying mechanisms should be further investigated through profiling of soil enzyme activities and microbial community succession.
In summary, this study demonstrates that crop functional traits are key drivers of soil nutrient dynamics in intercropping systems. Legumes (soybean and peanut) enhanced soil nitrogen and phosphorus availability through biological nitrogen fixation and phosphorus mobilization, while buckwheat (Polygonaceae) improved soil potassium retention. Complementary versus competitive interactions among different crop combinations directly influenced soil nutrient balance. Over two consecutive years, intercropping also exhibited cumulative benefits, underscoring its potential to mitigate obstacles associated with monocropping and improve agricultural sustainability. Future research should place greater emphasis on soil microbial communities and enzyme activities to better elucidate the ecological mechanisms and practical applications of intercropping systems.
Effects of different intercropping systems on tobacco nutrient uptake and distribution
The results of this study demonstrate that intercropping significantly enhanced nitrogen accumulation in the roots, stems, and leaves of tobacco, which is consistent with the findings of Zhang et al. in a multi-year maize–alfalfa intercropping system49. This improvement may be attributed to the ability of intercropping to modify the spatial distribution of crop roots, optimize soil nutrient cycling, and thereby promote more efficient nutrient uptake50,51. At both experimental sites, legume-based intercropping significantly increased nitrogen content in tobacco roots, with the tobacco–soybean system in particular maintaining consistently high nitrogen levels throughout the growing season. A possible explanation is that tobacco plants in legume intercropping systems can access additional nitrogen from the legume rhizosphere, while localized nitrogen depletion may further stimulate biological nitrogen fixation in legumes52,53. This mechanism resembles observations in legume intercropping systems under reduced nitrogen fertilization, where lower rhizosphere nitrogen alleviates feedback inhibition of nitrogen fixation54,55. In the 2024 experiment at the Midu site, root nitrogen content under the tobacco–soybean system at 120 days was 63.54% higher than in monoculture, whereas no significant differences were observed in 2023. This interannual variation may be partly due to cumulative effects of intercropping: over consecutive years, increased plant density enhances crop residue return56, and sustained nitrogen fixation coupled with rhizodeposition from legumes gradually improves soil fertility, thereby amplifying nitrogen accumulation in the second year57. Notably, nitrogen distribution in tobacco leaves did not decrease during maturation, which aligns with the report by Moustakas & Ntzanis58. This nitrogen retention is closely associated with quality formation in tobacco, partly because nitrogen-containing alkaloids such as nicotine continue to accumulate substantially in maturing leaves. Li et al. (2017) further demonstrated that the nicotine N-demethylase (NND) gene is strongly upregulated during leaf senescence, promoting extensive synthesis of demethylated nicotine and related alkaloids31. Results from the Weishan site also indicated that legume intercropping supported high nitrogen accumulation throughout the tobacco growth period. In 2023, at maturity, stem nitrogen content in the tobacco–soybean system was 1.81 times that of monoculture, while tobacco–buckwheat and tobacco–sweet potato systems showed significantly lower nitrogen levels than legume systems. The 2024 results were consistent with those of 2023, indicating that legume intercropping can provide a continuous and stable nitrogen supply to tobacco through fixation processes and rhizosphere interactions. These consistent findings across years and locations underscore the robust and stable improvement in nitrogen nutrition in tobacco under legume intercropping systems59.
Similar to nitrogen accumulation, intercropping also significantly enhanced phosphorus uptake in tobacco plants, although the extent of this effect varied with the companion crop species, largely due to their inherent phosphorus mobilization strategies. At the Midu site, the tobacco–buckwheat system exhibited higher phosphorus content in roots and leaves, which can be attributed to buckwheat’s efficiency in utilizing calcium-bound phosphorus60. In addition, stem and leaf phosphorus contents under tobacco–soybean and tobacco–peanut intercropping were significantly higher than those under monoculture, likely resulting from organic acids secreted by legume roots that solubilize sparingly soluble phosphates and increase phosphorus availability35. In contrast, tobacco–sweet potato intercropping showed lower phosphorus accumulation, possibly due to interspecific competition. By tobacco maturity (120 days), phosphorus had accumulated predominantly in the stems, with lower levels detected in roots and leaves. This finding diverges from that of Moustakas & Ntzanis58, a discrepancy that may be attributable to ecological differences—Yunnan is a high-altitude region, whereas their study site was situated at only 45 m above sea level. Previous studies suggest that plants growing at high altitudes may accumulate more phosphorus to compensate for the suppression of phosphorus-rich RNA synthesis under cooler temperatures61. Unlike at the Midu site, treatment differences in phosphorus content were less pronounced at the Weishan site. Nevertheless, the tobacco–buckwheat system consistently maintained elevated phosphorus levels across both sites and years, demonstrating the stability and generalizability of its phosphorus-enhancing effect. Overall, the selection of companion crops with efficient phosphorus mobilization traits (e.g., buckwheat or legumes) represents an effective strategy for alleviating phosphorus limitation in tobacco soils and improving phosphorus nutrition.
As the primary economic organs of tobacco, leaves depend strongly on potassium content for combustibility and aroma quality. This study revealed a gradual decline in potassium content—especially in leaves—as tobacco plants matured, consistent with reports by Liu et al. and Gu et al.62,63. Potassium, being highly mobile, is translocated from leaves to stems and other organs during late growth stages64. Over both years at the Midu site, monoculture tobacco exhibited higher root potassium content at 30 days, likely due to reduced early-stage nutrient competition. As the season progressed, potassium accumulation declined in monoculture, whereas intercropped treatments—particularly tobacco–buckwheat—gradually showed higher levels. This aligns with Qu et al.’s observations in potato–buckwheat systems, as buckwheat demonstrates strong potassium acquisition and mobilization capacity, potentially mediated by the secretion of phenolic compounds65,66. In 2024, potassium content under tobacco–sweet potato intercropping increased relative to 2023, likely reflecting cumulative benefits of intercropping67. Sweet potato plants contain high potassium levels, and the return of crop residues after harvest contributes potassium to the soil. Moreover, leaf potassium content under tobacco–sweet potato intercropping was relatively high at tobacco maturity, possibly because sweet potato’s potassium demand peaks during tuber expansion and declines in later stages, thus reducing competition with tobacco68.
In summary, intercropping significantly improved nutrient uptake in tobacco, with clear interspecific variation in effectiveness. The mechanism underlying this improvement lies in functional complementarity among companion crops: biological nitrogen fixation by legumes, nutrient mobilization by buckwheat, and reduced late-stage potassium competition from sweet potato collectively optimized nutrient availability within the intercropping system.
Effects of different intercropping systems on tobacco yield and economic traits
This study demonstrates that different intercropping systems ultimately determine economic returns by influencing tobacco leaf quality. Among the systems evaluated, tobacco–soybean intercropping exhibited consistently stable performance across both experimental sites and years. In 2024, the net profit under this system was 16.71% and 19.83% higher than that of tobacco monoculture and tobacco–buckwheat intercropping, respectively, accompanied by a benefit–cost ratio (BCR) of 1.78. At the Weishan site in 2023, the net profit of tobacco–soybean intercropping exceeded that of monoculture by 12.24%. In terms of quality, the proportion of top-grade leaves serves as a critical indicator. The results indicated that tobacco–soybean and tobacco–sweet potato intercropping had limited adverse impacts on leaf quality. Although tobacco–soybean intercropping slightly reduced the proportion of top-grade leaves compared to monoculture, it achieved simultaneous improvements in both yield and quality in 2024. This outcome is primarily attributed to the nitrogen-fixing capacity of soybean, which supplies stable and balanced nutrition that supports normal leaf development. Contrary to expectations, tobacco–buckwheat intercropping resulted in the most substantial decline in the proportion of top-grade leaves, despite higher nitrogen, phosphorus, and potassium levels in the leaves. This suggests that the reduction in quality was not caused by nutrient deficiency but may instead be related to physiological stress induced by allelopathic compounds from buckwheat. Previous studies have shown that buckwheat root exudates can induce oxidative stress in adjacent plants, triggering the synthesis of substantial phenolic acids and flavonoids to maintain cellular homeostasis69,70. This response may disrupt normal metabolic pathways—including those involved in aroma compound synthesis—leading to lower sensory scores for aroma quality and intensity.
From an economic perspective, leaf quality determines market value, and production costs further amplify differences among systems. Tobacco–soybean intercropping maintained leaf yield and quality while reducing fertilizer inputs through biological nitrogen fixation, thereby lowering overall production costs. In contrast, tobacco–buckwheat and tobacco–peanut intercropping led to significant reductions in economic returns due to inferior leaf quality and/or lower market prices of the companion crops. Although tobacco–sweet potato intercropping increased total income to some extent, its higher planting costs resulted in a BCR of only 1.57. Overall, the optimal intercropping system depends not only on direct returns from companion crops but also on its ability to sustain tobacco leaf quality and reduce system-level costs. This study confirms that tobacco–soybean intercropping maximizes economic benefits through the dual advantages of quality assurance and cost reduction.
Sensory evaluation of tobacco leaves revealed distinct differences among intercropping systems. As reported by Zhang et al. (2021), aroma is a primary determinant of flue-cured tobacco quality and a key indicator of leaf usability71. Overall, tobacco–soybean intercropping and monoculture tobacco exhibited superior aroma quality and flavor characteristics. From 2023 to 2024, at both the Midu and Weishan sites, tobacco–soybean intercropping was associated with better aroma quality and finesse, albeit with slightly stronger irritation, likely due to higher leaf nitrogen content and elevated nicotine levels72,73. Monoculture tobacco demonstrated superior aroma balance, smoke smoothness, and aftertaste, consistently achieving the highest overall sensory scores. In comparison, tobacco–buckwheat and tobacco–peanut intercropping were characterized by moderate aroma quality, more off-flavors, and lower scores, whereas tobacco–sweet potato intercropping performed better in aftertaste, diffusiveness, and finesse. Across both years and sites, tobacco–soybean intercropping and monoculture significantly enhanced aroma and overall flavor, with tobacco–soybean intercropping exhibiting strong stability in quality improvement.
Economic analysis not only revealed differences in yield and returns among intercropping systems but also offers practical guidance. From the perspective of farmers, tobacco–soybean intercropping is highly favorable due to its ability to maintain leaf quality and reduce fertilizer input, thereby increasing net profit while mitigating production risks and cost fluctuations. From a policy standpoint, these findings align with Yunnan Province’s initiative to promote the “Tobacco–grain–economic crop integrated planting model.” From a sustainability perspective, intercropping reduces dependence on synthetic nitrogen fertilizers through biological nitrogen fixation, supporting national policies aimed at green, low-carbon agriculture and fertilizer reduction, while also helping to mitigate agricultural non-point source pollution.
In summary, this study confirms the superior economic performance of tobacco–soybean intercropping and provides a scientific basis for farmer adoption, policy support, and sustainable agricultural development. Although the benefits of tobacco–soybean intercropping for economic returns and quality stability are clarified, the mechanisms involving rhizosphere microecology, nutrient cycling, and regulation of secondary metabolites remain to be fully elucidated. Future research should integrate multi-omics approaches—including microbiomics, metabolomics, and in-situ field monitoring—to mechanistically unravel how intercropping influences tobacco leaf quality and economic outcomes, thereby providing theoretical support for the development of efficient, simplified, and high-yield tobacco intercropping systems.
Conclusions
The two-year field experiments conducted in Midu and Weishan demonstrated that the tobacco–soybean intercropping system, leveraging legume nitrogen fixation and interspecific nutrient complementarity, not only enhanced soil nitrogen and phosphorus availability and promoted nutrient accumulation in tobacco plants but also consistently delivered stable aroma quality, desirable balance, and the highest economic returns across both sites and years. Although tobacco–buckwheat, tobacco–peanut, and tobacco–sweet potato intercropping showed advantages in certain nutrient-related or flavor traits, their overall economic performance and leaf quality were inferior to the tobacco–soybean system. In summary, tobacco–soybean intercropping simultaneously optimizes soil nutrient supply, improves leaf quality, and maximizes economic benefits, demonstrating high potential for large-scale application and providing a scientific basis for sustainable and eco-friendly tobacco production.
Data availability
The original contributions presented in the study are included in the article, further inquiries can be directed to the corresponding authors.
References
Ren, K. et al. Legacy effects of preceding crops improve flue-cured tobacco productivity in Southwest China by optimizing soil structure, nutrients, and microbial interactions. Plant. Soil. 2024, 1–23 (2024).
Ma, Z. et al. Obstacles in continuous cropping: mechanisms and control measures. Adv. Agron. 179, 205–256 (2023).
Chen, D. et al. Succession pattern in soil micro-ecology under tobacco (Nicotiana tabacum L.) continuous cropping circumstances in Yunnan Province of Southwest China. Front. Microbiol. 12, 785110 (2022).
Mao, L. L. et al. Resource use efficiency, ecological intensification and sustainability of intercropping systems. J. Integr. Agric. 14, 1542–1550 (2015).
Willey, R. W. Resource use in intercropping systems. Agric. Water Manag. 17, 215–231 (1990).
Li, C. et al. The productive performance of intercropping. Proc. Natl. Acad. Sci. USA 120, e2201886120 (2023).
Martin-Guay, M. O., Paquette, A., Dupras, J. & Rivest, D. The new green revolution: sustainable intensification of agriculture by intercropping. Sci. Total Environ. 615, 767–772 (2018).
Boudreau, M. A. Diseases in intercropping systems. Annu. Rev. Phytopathol. 51, 499–519 (2013).
Su, B. et al. Suppression of weeds and increases in food production in higher crop diversity planting arrangements: a case study of relay intercropping. Crop Sci. 58, 1729–1739 (2018).
Zhou, M. et al. Intercropping system modulated soil–microbe interactions that enhanced the growth and quality of flue-cured tobacco by improving rhizospheric soil nutrients, microbial structure, and enzymatic activities. Front. Plant. Sci. 14, 1233464 (2023).
Zhong, J. et al. Flue-cured tobacco intercropping with insectary floral plants improves rhizosphere soil microbial communities and chemical properties of flue-cured tobacco. BMC Microbiol. 24, 446 (2024).
Ma, J. et al. Intercropping of tobacco and maize at seedling stage promotes crop growth through manipulating rhizosphere microenvironment. Front. Plant. Sci. 15, 1470229 (2024).
Li, Y. et al. Intercropping with marigold promotes soil health and microbial structure to assist in mitigating tobacco bacterial wilt. J. Plant. Pathol. 102, 731–742 (2020).
Singh, A. K. et al. Response of intercrops and nutrient management on the performance of tobacco-based intercropping system and assessment of system sustainability. Bangladesh J. Bot. 42, 343–348 (2013).
Liu, M. et al. Metabolomic and metagenomic analyses elucidate the role of intercropping in mitigating continuous cropping challenges in tobacco. Front. Plant. Sci. 15, 1447225 (2024).
Fan, Y. et al. Uptake and utilization of nitrogen, phosphorus and potassium as related to yield advantage in maize-soybean intercropping under different row configurations. Sci. Rep. 10, 9504 (2020).
Gitari, H. I. et al. Revisiting intercropping indices with respect to potato-legume intercropping systems. Field Crops Res. 258, 107957 (2020).
Huang, J. J. Spatio-temporal variability of soil nutrients in Dali and fertilization optimization for flue-cured tobacco. Yunnan Agric. Univ. (2016).
Tang, Z. et al. Climatic factors determine the yield and quality of Honghe flue-cured tobacco. Sci. Rep. 10, 19868 (2020).
Cui, J. et al. Nutrient uptake, physiological responses and growth of tobacco (Nicotiana tabacum L.) in soil under composite salt stress. Pedosphere 32, 893–904 (2022).
Zhao, F. et al. Study on the structure and diversity of strawberry rhizosphere microbial community based on high-throughput sequencing. Soils 51, 51–60 (2019).
Su, X. et al. Tobacco/Salvia miltiorrhiza intercropping improves soil quality and increases total production value. Agronomy 14, 598 (2024).
Dodor, D. E. et al. Evaluation of alkaline hydrolyzable organic nitrogen as an index of nitrogen mineralization potential of some coastal Savannah soils of Ghana. Nitrogen 3, 652 (2022).
Chen, D. et al. Functional organic fertilizers can alleviate tobacco (Nicotiana tabacum L.) continuous cropping obstacle via ameliorating soil physicochemical properties and bacterial community structure. Front. Bioeng. Biotechnol. 10, 1023693 (2022).
Yang, K., Zi, S. & Ouyang, C. Effects of the tobacco–maize relay intercropping pattern on soil nutrients and soil microbial diversity. Front. Microbiol. 15, 1389156 (2025).
Dhulipalla, A. Evaluation of performance of certain Mango based intercropping systems in Krishna district of Andhra Pradesh. IJCS 5, 409–412 (2017).
Karaivazoglou, N. A., Tsotsolis, N. C. & Tsadilas, C. D. Influence of liming and form of nitrogen fertilizer on nutrient uptake, growth, yield, and quality of Virginia (flue-cured) tobacco. Field Crops Res. 100, 52–60 (2007).
Ciampitti, I. A. et al. Revisiting biological nitrogen fixation dynamics in soybeans. Front. Plant. Sci. 12, 727021 (2021).
Crusciol, C. A. C. et al. Rhizobial inoculation and molybdenum fertilization in peanut crops grown in a no-tillage system after 20 years of pasture. Rev. Bras. Ciênc Solo. 43, e0170399 (2018).
Lin, P. et al. Relay intercropped soybean promotes nodules development and nitrogen fixation by root exudates deposition. Front. Plant. Sci. 15, 1447447 (2024).
Li, W. et al. Integrative metabolomic and transcriptomic analyses unveil nutrient remobilization events in leaf senescence of tobacco. Sci. Rep. 7, 12126 (2017).
Chen, X., Chen, J. & Cao, J. Intercropping increases soil N-targeting enzyme activities: A meta-analysis. Rhizosphere 26, 100686 (2023).
Chen, B. et al. Soil nitrogen dynamics and crop residues. A review. Agron. Sustain. Dev. 34, 429–442 (2014).
Yang, Z. et al. Intercropping regulation of soil phosphorus composition and microbially-driven dynamics facilitates maize phosphorus uptake and productivity improvement. Field Crops Res. 287, 108666 (2022).
He, Y. et al. Profiling of microbial plfas: implications for interspecific interactions due to intercropping which increase phosphorus uptake in phosphorus limited acidic soils. Soil. Biol. Biochem. 57, 625–634 (2013).
Wang, X. et al. Contribution of interspecific interactions and phosphorus application to increasing soil phosphorus availability in relay intercropping systems. Field Crops Res. 204, 12–22 (2017).
Yang, D. et al. Correlation between physicochemical properties of tobacco-growing soils and chemical composition of tobacco leaves in Dali Prefecture. Chin. Soil. Fert. 1, 97–103 (2022).
Gitari, H. I. et al. Nitrogen and phosphorus uptake by potato (Solanum tuberosum L.) and their use efficiency under potato–legume intercropping systems. Field Crops Res. 222, 78–84 (2018).
Zhu, S. G. et al. Soil phosphorus availability mediates facilitation dynamics in maize–grass pea intercropping system. Soil. Tillage Res. 234, 105867 (2023).
Chen, S. et al. Continuous-cropping tobacco caused variance of chemical properties and structure of bacterial network in soils. Land. Degrad. Dev. 29, 4106–4120 (2018).
Huang, C. et al. Regional differences in mineral weathering characteristics of zonal soils under intensive agriculture. Appl. Clay Sci. 215, 106336 (2021).
Gong, B. et al. Response of rhizosphere soil physicochemical properties and microbial community structure to continuous cultivation of tobacco. Ann. Microbiol. 74, 4 (2024).
Liu, Y. et al. Effects of intercropping potato with Faba bean and buckwheat on soil properties. Jiangsu Agric. Sci. 46, 79–83 (2018).
Jiang, F. et al. The response of tobacco mineral composition and absorption to application of potassium sulfate fertilizer. Ind. Crops Prod. 210, 118155 (2024).
George, M. S., Lu, G. & Zhou, W. Genotypic variation for potassium uptake and utilization efficiency in sweet potato (Ipomoea Batatas L). Field Crops Res. 77, 7–15 (2002).
Yin, W. et al. Water utilization in intercropping: A review. Agric. Water Manag. 241, 106335 (2020).
Kumar, M., Singh, S. K. & Bohra, J. S. Cumulative effect of organic and inorganic sources of nutrients on yield, nutrients uptake and economics by rice–wheat cropping system in indo-gangetic plains of India. Commun. Soil. Sci. Plant. Anal. 51, 658–674 (2020).
Dong, N. et al. Temporal differentiation of crop growth as one of the drivers of intercropping yield advantage. Sci. Rep. 8, 3110 (2018).
Zhang, G. et al. Root distribution and N acquisition in an alfalfa and corn intercropping system. J. Agric. Sci. 5, 128 (2013).
Homulle, Z., George, T. S. & Karley, A. J. Root traits with team benefits: Understanding belowground interactions in intercropping systems. Plant. Soil. 471, 1–26 (2022).
Zaeem, M. et al. The potential of corn-soybean intercropping to improve the soil health status and biomass production in cool climate boreal ecosystems. Sci. Rep. 9, 13148 (2019).
Yong, T. et al. Characteristics of nitrogen uptake, use and transfer in a wheat-maize-soybean relay intercropping system. Plant. Prod. Sci. 18, 388–397 (2015).
Chen, P. et al. Yield advantage and nitrogen fate in an additive maize-soybean relay intercropping system. Sci. Total Environ. 657, 987–999 (2019).
Tian, J. et al. Soybean (Glycine max (L.) Merrill) intercropping with reduced nitrogen input influences rhizosphere phosphorus dynamics and phosphorus acquisition of sugarcane (Saccharum officinarum). Biol. Fertil. Soils. 56, 1063–1075 (2020).
Yong, T. W. et al. Optimized nitrogen application methods to improve nitrogen use efficiency and nodule nitrogen fixation in a maize-soybean relay intercropping system. J. Integr. Agric. 17, 664–676 (2018).
Bichel, A., Oelbermann, M. & Echarte, L. Impact of residue addition on soil nitrogen dynamics in intercrop and sole crop agroecosystems. Geoderma 304, 12–18 (2017).
Li, Z. et al. Effects of maize-soybean relay intercropping on crop nutrient uptake and soil bacterial community. J. Integr. Agric. 18, 2006–2018 (2019).
Moustakas, N. K. & Ntzanis, H. Dry matter accumulation and nutrient uptake in flue-cured tobacco (Nicotiana tabacum L). Field Crops Res. 94, 1–13 (2005).
Goyal, R. K., Mattoo, A. K. & Schmidt, M. A. Rhizobial–host interactions and symbiotic nitrogen fixation in legume crops toward agriculture sustainability. Front. Microbiol. 12, 669404 (2021).
Zhu, Y. G., He, Y. Q., Smith, S. E. & Smith, F. A. Buckwheat (Fagopyrum esculentum Moench) has high capacity to take up phosphorus (P) from a calcium (Ca)-bound source. Plant. Soil. 239, 1–8 (2002).
Jia, X. et al. Response of carbon, nitrogen, and phosphorus in leaves of different life forms to altitude and soil factors in Tianshan wild fruit forest. Front. Ecol. Evol. 12, 1368185 (2024).
Liu, H. et al. Effects of 2,4-D on contents of nicotine and potassium in flue-cured tobacco. Chin. Tob. Sci. 28, 15 (2007).
Gu, K. et al. Physiological and ecological responses of flue-cured tobacco to field chilling stress: insights from metabolomics and proteomics. Front. Plant. Sci. 15, 1490633 (2024).
Zhao, Z., Li, C., Yang, Y. & Zhang, F. Why does potassium concentration in flue-cured tobacco leaves decrease after apex excision? Field Crops Res. 116, 86–91 (2010).
Qu, J. Effect of nitrogen application levels on rhizosphere soil environment, seed potato yield and quality in buckwheat intercropped with potato. Master’s thesis, Sichuan Agric. Univ. (2024).
Vieites-Álvarez, Y., Reigosa, M. J. & Sánchez-Moreiras, A. M. A decade of advances in the study of buckwheat for organic farming and agroecology (2013–2023). Front. Plant. Sci. 15, 1354672 (2024).
Goulart, J. M. et al. Agronomic performance of sweet potato crop in succession to leguminous plants in monocropping and intercropped with corn. Hortic. Bras. 39, 186–191 (2021).
Sapakhova, Z. et al. Sweet potato as a key crop for food security under the conditions of global climate change: a review. Plants 12 (13), 2516 (2023).
Szwed, M. et al. Allelopathic influence of common buckwheat root residues on selected weed species. Acta Physiol. Plant. 41, 92 (2019).
Khamare, Y., Chen, J. & Marble, S. C. Allelopathy and its application as a weed management tool: A review. Front. Plant. Sci. 13, 1034649 (2022).
Zhang, D. et al. Effects of different planting patterns on internal quality and aroma components of flue-cured tobacco leaves. Hunan Agric. Sci. 1, 20–22 (2021).
Ju, X. T. et al. Yield and nicotine content of flue-cured tobacco as affected by soil nitrogen mineralization. Pedosphere 18, 227–235 (2008).
Xi, X. Y., Li, C. J. & Zhang, F. S. Nitrogen supply after removing the shoot apex increases the nicotine concentration and nitrogen content of tobacco plants. Ann. Bot. 96, 793–797 (2005).
Funding
This work was supported by the Science and Technology Plan Project of Dali Prefecture Branch of Yunnan Tobacco Company (2024530000241012, DLYC2023001).
Author information
Authors and Affiliations
Contributions
Conceptualization, X.L.L., K.Y.G. and Y.X.H.; methodology, X.L.L.; software, C.J.; validation, X.L.L., K.Y.G. and Y.J.Y.; formal analysis, X.L.L.; investigation, X.L.L., Y.J.Y. and Y.K.; data curation, M.L.; writing—original draft preparation, X.L.L.; writing—review and editing, N.F.T., K.Y.G., C.W.Y. and J.L.; visualization, S.Z.J. and Y.M.Y.; supervision, D.X.W., J.W.S. and Y.X.H.; resources, Y.J.Y. and Y.K.; project administration, C.W.Y. and Y.X.H.; funding acquisition, J.L. and Y.X.H. All authors have read and agreed to the published version of the manuscript.
Corresponding author
Ethics declarations
Competing interests
The authors declare no competing interests.
Additional information
Publisher’s note
Springer Nature remains neutral with regard to jurisdictional claims in published maps and institutional affiliations.
Supplementary Information
Below is the link to the electronic supplementary material.
Rights and permissions
Open Access This article is licensed under a Creative Commons Attribution-NonCommercial-NoDerivatives 4.0 International License, which permits any non-commercial use, sharing, distribution and reproduction in any medium or format, as long as you give appropriate credit to the original author(s) and the source, provide a link to the Creative Commons licence, and indicate if you modified the licensed material. You do not have permission under this licence to share adapted material derived from this article or parts of it. The images or other third party material in this article are included in the article’s Creative Commons licence, unless indicated otherwise in a credit line to the material. If material is not included in the article’s Creative Commons licence and your intended use is not permitted by statutory regulation or exceeds the permitted use, you will need to obtain permission directly from the copyright holder. To view a copy of this licence, visit http://creativecommons.org/licenses/by-nc-nd/4.0/.
About this article
Cite this article
Liu, X., Gu, K., Jiang, C. et al. Effects of different intercropping systems on soil properties and tobacco yield and quality. Sci Rep 15, 37690 (2025). https://doi.org/10.1038/s41598-025-21457-w
Received:
Accepted:
Published:
Version of record:
DOI: https://doi.org/10.1038/s41598-025-21457-w





