Abstract
The emergence of electric vehicles (EVs) as key elements in the decarbonization of transportation demands a new class of intelligent infrastructure capable of optimizing charging behavior while maintaining power system stability. This paper proposes a novel Scalable Cloud-Based Continuous Monitoring Platform (SC-CMP) designed to support real-time optimization of microgrid operations, particularly in EV-dense and renewable-integrated environments. By fusing cloud computing, machine learning (ML), and artificial intelligence (AI) with Internet of Things (IoT) data acquisition, SC-CMP enables continuous monitoring, predictive scheduling, and adaptive energy management across distributed power networks. Unlike conventional systems, SC-CMP supports both centralized and decentralized microgrid architectures, providing scalable support for dynamic load balancing, V2G coordination, and resilient energy dispatch. Simulation and validation are performed using a real-world dataset of 3395 EV charging sessions across 105 stations, demonstrating SC-CMP’s superiority over existing AI/ML baselines. Quantitatively, the platform achieves 97.34% predictive accuracy, 96.81% grid stability improvement, 94.5% resource allocation efficiency, 93% scalability, and 95.2% data privacy assurance. These outcomes position SC-CMP as a comprehensive, adaptive, and cost-effective solution for microgrid-oriented EV integration, offering substantial advances in resilient power distribution, renewable energy utilization, and sustainable electric mobility. The platform serves as a foundation for next-generation microgrid control systems that demand real-time intelligence, scalability, and reliability across evolving smart grid landscapes.
Similar content being viewed by others
Introduction
Rapid urbanization and industrial growth in India have made pollution a significant issue, with the automotive sector being a major contributor. Air pollution is often perceived as a problem linked to urban areas, as cities concentrate economic activities and energy demands, resulting in high levels of harmful pollutants. In this context, EVs have gained prominence as a promising solution for eco-friendly, pollution-free transportation. The unique advantages of EVs have garnered widespread attention from automotive industries, research institutions, and policymakers, positioning them as a cleaner alternative to internal combustion engine (ICE) vehicles, particularly for utilities and the industrial sector. The shift toward electric mobility reflects a growing recognition of the need for sustainable transportation solutions. The widespread adoption of electric vehicles (xEVs) will significantly increase the demand for electricity needed to charge these vehicles. Recent advancements in AI-driven grid management systems are being developed to tackle these complexities, offering more adaptive solutions to balance charging demand with grid capacity while enhancing overall operational efficiency1.
With the rapid global shift towards EVs, developing a scalable and robust infrastructure for EV charging and its impact on the power grid is increasingly essential. A cloud-based monitoring platform that can manage and scale with demand becomes crucial for ensuring that the EV charging network operates efficiently while maintaining grid stability.
Integrated AI and IoT (AIoT) solutions have created it easier for intelligent EV charging ecosystems to develop. These solutions coordinate user, grid, and environmental variables to transform EVs into active prosumers instead of just loads. Tightiz et al.2 performed a thorough analysis that just summed up these achievements. It focused on AIoT-driven frameworks that cover communication protocols, optimization methods, vehicle-to-grid (V2G) integration, and stakeholder coordination across charging infrastructure and control systems.
AI plays an increasingly pivotal role in enhancing defenses and streamlining response systems to counter increasingly sophisticated cyber threats. Figure 1 illustrates how integrating AI tools into cybersecurity frameworks strengthens safeguards and prevents malware attacks.
However, unlocking the full potential of these technologies requires seamless interoperability across various infrastructures. Standardizing protocols that facilitate smooth communication between electric vehicles (EVs), charging stations, and the grid is crucial for ensuring these systems work without technical hindrances. This interoperability not only improves overall performance but also simplifies the integration of future technologies, creating a scalable and unified ecosystem for e-mobility.Moreover, the sheer volume of data generated by these interconnected systems demands advanced data management and processing capabilities, pushing the limits of current cloud infrastructure3. Real-time data analysis and decision-making are essential, especially as energy demand fluctuates. However, achieving this in practice is challenging due to the limitations of present-day networking technologies. The interconnected nature of smart grids, EV charging infrastructure, and the broader energy ecosystem also makes these systems particularly vulnerable to cyberattacks4. Cybersecurity risks are a major concern, as breaches could compromise sensitive data and disrupt critical operations5.
Additionally, while integrating AI and machine learning (ML) into these systems can enhance operational efficiency and cybersecurity, the implementation process is resource-intensive6. The complex algorithms involved in forecasting energy demand and response require significant computational power7. These systems must also be scalable to accommodate the growing number of EVs and charging stations without sacrificing performance. Regulatory challenges arise due to differing standards and policies related to energy usage, data privacy, and AI applications across regions8. These hurdles make it more difficult to implement consistent solutions across various jurisdictions. Addressing these issues will enable the development of a more resilient, scalable, and secure energy infrastructure for electric mobility9.
Literature survey
In line with the proposed SC-CMP platform, recent literature has increasingly focused on advanced methods for intelligent EV-grid coordination and system-level optimization. For instance, Renhai et al.36 introduced a non-parametric kernel density estimation method for managing under-frequency load shedding under renewable and EV uncertainty, which aligns with our model’s emphasis on handling unpredictability through reinforcement learning. Panda et al.37 proposed a smart residential demand-side management framework using multi-objective optimization, reinforcing the relevance of scalable and context-aware control strategies similar to those embedded in SC-CMP. Varshney et al.38,39 explored stochastic modeling and queueing-theoretical approaches to optimize charging station behavior under infrastructure constraints—concepts that are echoed in SC-CMP’s design through queue-aware load balancing and latency-sensitive scheduling. Several studies have emphasized the importance of reliable and efficient charging architectures40, the expansion of charging infrastructure and grid integration41, and AI-integrated blockchain frameworks for optimizing demand response and load balancing42, all of which intersect with SC-CMP’s secure, cloud-edge computational framework. The use of hybrid classifiers and ensemble techniques to enhance charging prediction accuracy43 further validates our system’s edge inference design. Additionally, recent work on solar-powered station scheduling44, EV route optimization via bio-inspired algorithms45, and coordinated charging of fleet vehicles in shared parking infrastructures46 provides opportunities for extending SC-CMP to broader mobility and microgrid environments. Studies on load impact mitigation47, e-mobility business models48, fast-charging infrastructure49, and AI/ML-enabled cybersecurity50 support the scalability, economic feasibility, and resilience dimensions of our approach. Together, these contributions form a robust foundation upon which SC-CMP builds and differentiates itself by offering a unified, scalable, and real-time platform for predictive EV energy management in dynamic grid situations.
Recent research has proposed a variety of intelligent approaches to improve cybersecurity, resilience, and communication efficiency in modern IoT and vehicular systems. Sanjalawe et al.51 introduced a deep learning-driven multi-layered steganographic technique to enhance data security by embedding information within digital content. Elomda et al.52 developed a multi-layer blockchain security model that improves scalability and latency performance for decentralized systems. In the context of IoT-integrated cyber-physical infrastructures, Ramesh et al.53 proposed a satellite-based terminal authentication mechanism to enhance consumer data protection. Qaddos et al.54 presented a novel intrusion detection framework specifically designed to optimize IoT security layers. Mughaid et al.55 applied intelligent cybersecurity methods for protecting cloud-based IoT environments, while Maaz et al.56 combined hybrid deep learning techniques to improve threat detection and enhance resilience across distributed IoT networks. Almahadeen et al.57 employed an autoencoder-MLP hybrid model to detect cyber threats in financial systems, highlighting its effectiveness in high-sensitivity domains. Focusing on EV-specific vulnerabilities, Tanyıldız et al.58 utilized a generative adversarial network to detect cyberattacks in EV charging infrastructure by modeling the remaining useful life of system components. Mohammad et al.59 proposed an edge computing and reinforcement learning-based framework for intelligent task offloading in Internet of Vehicles (IoV) environments. Finally, Akhunzada et al.60 designed an AI-enabled threat intelligence framework tailored for autonomous vehicles, supporting real-time decision-making and attack mitigation in connected EV ecosystems.
By leveraging AI and ML in energy management, the overall efficiency of operations is improved, helping the grid become more resilient and sustainable. The adaptability and scalability of cloud-based continuous monitoring systems are critical in addressing the evolving needs of modern smart grids10. The Scalable Cloud-Based Continuous Monitoring Platform (SC-CMP) stands out among alternative methods for its optimal combination of scalability, continuous monitoring, and high performance.
Dynamic pricing mechanisms and optimized charging schedules are areas where advanced AI techniques, particularly deep learning and reinforcement learning, have proven highly effective12. These technologies enable EV charging systems to adjust pricing based on real-time grid conditions and user demand, while optimizing charging schedules to avoid peak load times32,33,34,35.
Furthermore, the SC-CMP’s ability to adapt to evolving grid requirements ensures it remains a flexible and scalable solution for future energy needs. As the number of EVs and charging stations increases, SC-CMP’s scalable cloud-based infrastructure can expand without the need for significant hardware investments. This makes it a cost-effective solution for utilities that are preparing for the rapid growth of the electric mobility ecosystem. The platform’s real-time data processing capabilities allow it to monitor and manage even the most complex energy networks, providing a reliable foundation for long-term energy management strategies13. Utilizing edge computing in conjunction with cloud services allows for reduced latency, supporting real-time decision-making at a local level14. This architecture is especially beneficial in smart grids that incorporate Internet of Things (IoT) devices, enabling seamless integration of cloud infrastructure with AI and machine learning. Such a system allows for efficient monitoring and control of power distribution, ultimately enhancing the reliability and performance of the grid15.
As these technologies evolve, they are set to play a pivotal role in the modernization of energy distribution networks. The energy and automotive industries are experiencing a transformative shift with the integration of EVs and emerging technologies like blockchain, cloud computing, and AI. These innovations facilitate more efficient energy management and transaction security in electric mobility ecosystems, offering a modernized approach to both energy generation and consumption. This shift is crucial as it not only supports the growing number of EVs but also ensures that energy grids remain resilient and capable of handling dynamic demand patterns16. Shen et al.17 proposed a hybrid AI classification method (HAICM) specifically for scheduling EVs in Vehicle-to-Grid (V2G) networks powered by 5G technology. This method aims to enhance the coordination between EVs and the grid, ensuring efficient energy transfer and load balancing. By leveraging the high-speed, low-latency capabilities of 5G networks, the HAICM allows for more precise scheduling and real-time adjustments to energy distribution, further optimizing grid management in the context of increasing EV adoption. The technique improves scheduling efficiency, and trials with cross-validation show that it successfully identifies the target EVs.Sun, D et al.,18 proposed an NS-EC-SG architecture based on 5G smart grid and edge computing that also introduced a hybrid AI method to predict the charging behaviour of electric vehicles. The technology enhances the user experience when it comes to charging EV and energy suppliers reduce costs associated with this process. Simulation results reveal better prediction accuracy and scheduling efficiency than what is currently available using state-of-the-art methods. Donald et al.’s study19 focused on integrating cloud computing and artificial intelligence (AI) into electric vehicle designs, operations as well as connections so as I-EVs can be improved. We have managed to achieve dynamic charging optimization, predictive maintenance, and intelligent fleet management through leveraging automation driven by artificial intelligence.
This allows us to improve performance, energy efficiency, and user experience, ultimately leading to the advancement of sustainable mobility. An AI-enabled blockchain-based solution for smart grid power management employing EVs was proposed by Wang, Z. and is called AEBIS20. It uses federated learning and neural networks to reliably estimate power consumption (R2 = 0.938), supply consistent electricity, and lessen power fluctuations. With blockchain technology, communication is safe, transparent, and memory and latency expenses are low.Evaluating multiple ML techniques (DNN, KNN, LSTM, RF, SVM, DT), Mazhar et al.21, presented an ML-CMS for electric vehicles. Improving the smart city’s transport system’s dependability and sustainability, the LSTM model significantly decreases peak voltage, power losses, and load variations while keeping billing expenses to a minimum.
Short-term wind speed forecasting models based on learning have also been widely investigated for smart grid applications. Machine learning and hybrid techniques show better accuracy and adaptability when it comes to integrating renewable energy sources31. This has to do with how we use AI to predict EV load. Table 1 shows the summary of related works.
In summary, SC-CMP combines the power of cloud computing, AI, and dynamic pricing strategies to deliver a comprehensive, forward-looking solution for managing the challenges posed by EV charging and grid integration. By leveraging advanced technologies such as deep learning and reinforcement learning, the platform ensures that both energy demand forecasting and consumption are handled effectively, promoting sustainability while maintaining grid stability. There are quite a few boundaries that these techniques have to conquer. Concerns about interoperability persist because standardised verbal exchange protocols are essential for the mixing of various systems and technology16. Due to the delicate nature of the facts processed and the danger of cyberattacks, facts privateness and security are of the maximum importance. Given the constraints of the existing network architecture, it could be specifically tough to assure low-latency communication for actual-time applications. Concerns approximately scalability arise when the range of electrical motors and charging stations rises because of the high computing requirements of state-of-the-art AI and ML models. Furthermore, nearby variations in coverage and law can obstruct the standardisation of these technology. To address those challenges, people want to continuously innovate, place into effect strong cybersecurity measures, and create standardised frameworks that make smart EV charging and grid management structures greater efficient and secure, whereas additionally making them extra scalable and compliant with guidelines.
Contributions:
-
Proposed a scalable cloud-based continuous monitoring platform (SC-CMP): a new system that combines cloud computing, AI, and the Internet of Things (IoT) to optimize EV charging and microgrid energy management in real time.
-
Created a strong mathematical model: a group of 20 optimization equations that deal with forecasting accuracy, temporal-spatial grid segmentation, demand fluctuation, and dynamic pricing.
-
Embedded advanced AI models: LSTM is used for load forecasting, reinforcement learning (RL) is used for adaptive pricing and grid stability, and hybrid classifiers are used for classification tasks. This makes sure that the system is very accurate and can withstand a lot of anxiety.
-
Cloud-edge design makes ensuring that the system is both scalable and secure. It does it by lowering latency, speeding up real-time responses, and adding data privacy and cybersecurity protections.
-
Tested on a real dataset: Using 3,395 EV charging sessions from 105 stations shows that it is better at predicting (97.34%), improving grid stability (96.81%), allocating resources efficiently (94.5%), scaling (93%), and ensuring privacy (95.2%) than AI/ML baselines.
The structure of the remaining sections of this research paper is organized as follows: “Literature survey” explores the application of cloud computing, artificial intelligence (AI), and machine learning (ML) in optimizing intelligent electric vehicle (EV) charging and grid management. “Problem formulation” introduces the Scalable Cloud-Based Continuous Monitoring Platform (SC-CMP), providing a detailed overview of its functionality and advantages. In “Results and discussion”, the study presents a comprehensive analysis, comparing the SC-CMP with previous methods and offering insights into its improved efficiency. Finally, “Conclusion” summarizes the key findings and implications of the research.
Problem formulation
EVs charging and managing the grid might be drastically improved with the integration of AI, ML and cloud computing. To improve grid stability, optimize charging infrastructure, and guarantee sustainability, smart technologies are essential in light of the fast adoption of electric vehicles. Reduced operating expenses and increased customer happiness are the results of this integration’s dynamic pricing, intelligent scheduling, and effective allocation of resources. Problems with data security, scaling, and managing in real-time need to be resolved, however. With the use of artificial intelligence and machine learning, (SC-CMP) can optimize grid resources and electric vehicle charging stations in real time through predictive analytics. As shown in Fig. 2, pricing dynamics, planning, and forecast are all interconnected. There are three interdependent yet essential parts of charging and draining electric vehicles. These parts include scheduling, forecasting, and dynamic pricing as pertain to electric vehicle charging and discharging. Scheduling models employ accurate forecasts to drive their decisions on to best charge and discharge resources, and the forecasting model in turn uses these insights to improve its updates, ultimately leading to more accurate predictions. Therefore, to make the best decisions about EV charging and discharging, precise forecasting results are essential. This section discusses commonly used AI-based forecasting models for electric vehicle charging and discharging.
To improve the efficiency of EV charging scheduling, the results of forecasts about EV charging are often fed into optimization models. For both classification and regression issues, a wide variety of machine-learning techniques are at your disposal. When it comes to predicting jobs, two popular machine learning algorithms are decision trees and linear regression. Nonlinear forecasting challenges are associated with electric vehicle charging. So far, LR has not been put too much use in addressing issues with electric vehicle charging. In contrast, DT can break down complicated choices into smaller, more manageable ones. It is not always the case that just one DT will provide accurate results. In addition, overfitting problems are common with DT.
This Eq. (1) seeks to optimize the cumulative utility obtained from maximizing the system’s efficiency, denoted as \(\:E\). In this context, the quality of continuous information gathering is denoted by \(\:{Q}^{CD}\), the predictive quality of the information for user \(\:U\) is represented by \(\:{Q}_{p.u}^{D}\), and the effort to reduce energy load is denoted by \(\:{\partial\:E}_{U}^{R}\). The usefulness of changing charging schedules is added \(\:{Q}_{u}C\).
The minimum needed quality of energy \(\:{Q}_{u}C\) for each user \(\:{Q}_{m,p}^{D}\) is exceeded by the combined usefulness of variable charging schedules \(\:{Q}_{min,u}^{E}\) and the accuracy of predictive information \(\:u=1\sim U\) across grid sections \(\:s=1\)and predicting periods \(\:f=1\) according to this Eq. (2). After deducting system stress components, the residual security margin is represented by the expression \(\:R-st\).
For various grid segments \(\:s\) and times \(\:p\), this Eq. (3) limits the quality of the predicted data \(\:{Q}_{D}^{max,q,u}\). The sentence indicates that the predicted value (\(\:{Q}_{v,p}^{D}\)) has to be higher than the minimum prediction quality (\(\:{Q}_{min,\:p,\:u}^{D}\)) lower than the maximum deviation (\(\:pvk\left(n-1\right)\)) for user. Factors particular to segments and time are taken into consideration by the expression.
For a given function \(\:f\), segment \(\:s\), and event \(\:e\), this Eq. (4) establishes limits on the predictive demand \(\:Pf{D}_{f,s,e}\). In other words, \(\:{T}_{o}\) less than the total of the operating threshold \(\:{D}_{max,f,p}\:\)and the maximum permissible deviation \(\:{T}_{p}\:D{E}_{min}\), it is not more than the product of a minimal amount of demand \(\:Fn\:\left(w-py\right)\) efficiency and a correction factor \(\:\left(1-kj\right)\). Many studies have shown that AI-based models outperform more conventional optimization techniques, such as linear, exponential, and multinomial logit models when it comes to predicting and scheduling when electric vehicle charging will take place. Due to the novelty and ongoing development of the idea, however, there has been little emphasis on scheduling EV discharges, in particular V2G systems. Hence, to fill in the gaps and suggest improvements for future studies, a thorough literature analysis on electric vehicle charging and discharging is required. Such a review is carried out in this work, which sorts research into methods for making predictions. There is a schematic of all the charging methods in Fig. 3. This highlights the progressive shifts toward integrating AI into optimization cycles for charging and discharging. An example of a control-based method would be optimizing the charging phases of a generic EV linked to a charging station by executing only control actions on the vehicle’s or the station’s side in relation to charging operations.
A V2G administration protocol should include AI-powered EV charging activities as part of a well-thought-out plan. Based on data flows from electricity distribution grids, RES-producing plants, and load demand, the system here operates as a charging station or vehicle control strategy. Afterward, the infrastructure side is responsible for managing the necessary energy flow.
For each value of \(\:u={f}_{g-kp}^{j}\) from \(\:{g}_{bp}^{u+q}\) to \(\:{\complement\:}_{f+g}^{Df}\), Eq. (5) adds up the combined usefulness of the data quality term \(\:{Q}_{h.k}^{D}\times\:\forall\:u\left(1-pg\right)\) and the forecasting data quality \( \(\:\nabla\:{X}_{f,p}\) adjusted by the factor \(\:{Q}_{f,p}\) throughout the corresponding range.
In average, overall users \(\:\frac{1}{U}\), this equation determines the Eq. (6) of the outcome measure \(\:E\) concerning \(\:s\) and \(\:p\). It takes into account the cost quality \(\:{\partial\:}_{E+s}^{p}\) and modifies it for demand fluctuations represented by \(\:{Q}_{u}^{c}\) and \(\:{DF}_{p,t}^{D}\), as well as variables unique to time and segments. The extra \(\:f-HJ\) modifies for certain operating circumstances.
For a given function \(\:{X}_{f,p}^{j}\), period \(\:p\), and time \(\:t\), this Eq. (7) represents the operational demand \(\:{T}_{o}{D}_{f,p,t}\). The data quality \(\:{Q}_{k,g}^{D}\left(v-pt\:\right)\) and the quality-adjusted predictive term \(\:{\forall\:}_{u-1}^{(t-pq)}\) are both included. The data quality is affected by a temporal factor \(\:{S}_{fg}\) throughout the range \(\:e={j}_{f,p}\), and the scaling factor \(\:u-1\) is included.
The goal of Eq. (8) is to maximize the combined impact of two parts: the first part is the sum of squared quality indicators \(\:c=1,\:and\:C\:,\:\)report the Phrase \(\:{J}_{c,c+1,u}\) across segments \(\:{S}_{c,c+1}\), weighted by segment-specific variables \(\:D\left(u\right)\). The second term is used to maximize the integral of demand, denoted as \(\:\forall\:{M}_{f,p}\), spanning a range \(\:eu\), with a multiplicative factor adjusted accordingly. Flowing data and processing stages from IoT sensors to user interface applications are depicted in Fig. 4, Data on energy consumption, generation, and other grid parameters is collected at the foundational level by IoT sensors and smart meters. A centralized hub for processing and managing data, the Cloud Infrastructure receives this data and transmits it. Data Storage systems in the cloud are scalable and very reliable.
After storing this data, the AI/ML Processing Unit uses it to analyze it using advanced algorithms and draw conclusions. To optimize operations, forecast future trends, and make sense of massive amounts of data, the AI/ML unit is vital. Two main applications, Predictive Analytics and Grid Load Management, receive the insights produced by the AI/ML processing. To facilitate proactive adjustments and planning, Predictive Analytics centres on energy demand and supply forecasting. In contrast, grid load management stops overloads and balances loads to keep the power grid efficient and stable. These apps communicate with specialized modules Smart Charging Scheduler and Real-Time Grid Monitoring, the former of which optimizes electric vehicle charging times and the latter of which continuously monitors the performance and health of the grid. At last, a User Interface makes all the processed data and controls available, allowing users to get real-time insight and command choices for efficient energy management.
The performance metric \(\:{Y}^{*}\) is normalized in Eq. (9) by scaling it between its maximum and minimum values \(\:Y-{Y}_{max}\). Then, the inverse of the effectiveness factor \(\:{Y}_{min}-{Y}_{max}\) and the weighted average of forecasting quality metrics \(\:\frac{1}{\left[{E}_{f}\right]}\) are added, and adjusted by \(\:\sum\:_{{y}_{j}\times\:{D}_{e}}^{f}{z}_{d+f}^{m}\left(1+Q\right)\:\:\:\:\:\:\:\:\).
The variable \(\:v\) is defined in Eq. (10) as a combination of three factors that impact system dynamics: \(\:{u}_{change}\), which represents changes \(\:{y}_{j}\propto\:{C}_{p}\) in user behavior; \(\:{\propto\:}_{charge}\), which denotes adjustments to charging efficiency; and \(\:{\partial\:}_{connect}\), which reflects considerations regarding connectivity. Not all conditions in a given set P are equal, and this is accounted \(\:Z(p+ew)\) by the expression \(\:{z}_{k}\ne\:{s}_{p}\).
The variable \(\:M\) is defined in this Eq. (11) as a combination of three factors that impact system behavior: \(\:{y}_{j}\propto\:{P}_{q}\left(y\right)\), which represents changes in users’ behavior; \(\:w=1\), which denotes adjustments to charging efficiency; and \(\:J\left({z}_{j}\ne\:{d}_{p}\right)\), which reflects considerations regarding connectivity. Not all conditions in a given set P are equal, and this is accounted for by the expression \(\:{y}_{p}\equiv\:{Q}_{p}\left(y\right)\). Calculating the complement of the average influence of predictive adjustments \(\:J\:\left({z}_{j}={d}_{k}\right)\) throughout the stated range.
Throughout \(\:M\) occurrences, the Eq. (12) takes the average of the effect \(\:{y}_{p}\equiv\:{Q}_{p}\left(y\right)\) on predictors \(\:e=1\) affected by circumstances \(\:{p}_{q}\:\left(I\right)\). This means assessing changes to strategies based on variations in prediction models. By evaluating the matching criteria \(\:{S}_{r+q}+\:{y}_{v}+\:{X}_{pp}\) to maintain operational stability, the equation on the right side calculates the compliment \(\:{i}_{u-1}+\:{C}_{er}\) over L instances.
The system’s functionality relies on the data flow among these components. The smart charging facility monitors the grid, charging demand, and EV battery levels and the corresponding typical framework is represented in Fig. 5 respectively. The smart grid backend receives this information and uses it to determine the best time to charge each electric vehicle. The data that has been optimized is then sent. Once again, the intelligent charging stations may subsequently adjust the charging current accordingly. By shifting recharging to off-peak hours, smart charging systems reduce the grid’s high demand, which is only one of many advantages. In real-time, users may see charging fees, availability, and the optimal charging times. It can maximize their charging schedule and prevent problems as a result of this. Smart charging’s compatibility with renewable energy sources is a major plus. Before its widespread adoption, smart charging should be thoroughly evaluated for its many benefits and drawbacks. Integrating renewable energy sources, electric vehicles, and the power grid requires state-of-the-art information and control systems.
.
The balanced effect of matching criteria\(\:{q}_{p}\) over \(\:{X}_{pk}{z}_{u-1}\) instances are shown by this Eq. (13): \(\:{Z}_{C+a1}\). A weighted component impacting strategic choices is represented by \(\:{gh}_{p}\) and cumulative system impacts are accounted for by \(\:\partial\:\). On top of that, \(\:{Z}_{yz}{d}_{f}\) represents factors that may change over time, \(\:{X}_{ww}\:\)shows operational parameters have been altered based on past insights, and \(\:{I}_{u-1}\:\)deals with past activities.
This Eq. (14) shows various parts of the SC-CMP system affect \(\:{g}_{u}\) as a function. The interaction between the parameter \(\:\forall\:\) and the historical data \(\:{zp}_{t-1}\), which represents the impact of prior knowledge on current choices, is denoted by \(\:{F}_{gd}\). \(\:t`+1\) includes extraneous elements, which might be associated with extra limitations or environmental circumstances \(\:{c}_{vp}\). There are adjustments for system dynamics represented by the expression \ \(\:Zp\left(k-1\right)\).
This function \(\:{E}_{f}\) is described by this Eq. (15) as being affected by several components \(\:{s}_{q-u}\) that are included into the SC-CMP technique. \(\:{X}_{ef}\) denotes elements that contribute to strategic choices and are associated with energy use or efficiency measurements. To help with predictive modeling and decision-making, the value of \(\:{r}_{S}^{r+1r}\) is reflective of past data from the prior period \(\:{X}_{dd}{f}_{p+1}\). Predicting grid needs and operating requirements relies on future estimates or forecasts, which are included in \(\:{s}_{dr}\)
.
Within the SC-CMP paradigm, this Eq. (16) characterizes \(\:{f}_{b}\) as a function that is affected by several interrelated factors. Decision-making relies on predictive accuracy analysis, which is represented by the interaction \(\:{M}_{py}+\left(y-x\right)\) between predictors \(\:\varDelta\:\) and operational components \(\:{S}_{gh}\). The components of operational resilience and system stability, denoted as \(\:{X}_{Df}\) and \(\:{D}_{u-1}\) correspondingly, provide robustness \(\:{d}_{0}\) in controlling grid dynamics and EV charging demands, respectively.
Our innovative smart grid network architecture, built on top of network cutting and computing at the edge, lays the groundwork for the implementation of hybrid AI algorithms in this part. The article suggests an intelligent grid network design that uses edge computing and network slicing to share or abstract substrate resources, as seen in Fig. 6. The three-layer design that has been suggested has an infrastructure layer, a control layer, and a slice layer. One use case for the slice layer is the provision of smart grid charging end-to-end network slices. On a second point, the control layer can manage the smart grid’s network resources and provide appropriate resources for billing services across slices. As a third point, resources for EV wireless connectivity may be provided via the infrastructure layer. This architecture may guarantee the real-time efficiency of hybrid AI by considering end-to-end processing power and the very low transmission latency of the edge. This layer’s charging stations are responsible for gathering charging data. To implement hybrid AI algorithms, the suggested hardware foundation is a smart grid network design that makes use of network segmentation and edge computing.
This Eq. (17) describes \(\:{F}_{\left(y\right)}\) as a composite result affected by many elements that are part of the SC-CMP architecture. Contributing to strategic decision-making, \(\:\frac{1}{1+{f}^{y}}\) denotes parameters associated with system measurements or operational efficiency. The value of \(\:e-1\:\left({z}_{q}-{v}_{q}\right)\) shows operational variables are balanced or different \(\:\frac{1}{p}\), which might indicate that changes \(\:m+nk\) or optimizations are being made according to the present circumstances \(\:\left({z}_{j}-{z}_{k}\right)\)for grid stability improvement analysis.
The function \(\:{UU}^{1}\) is defined by Eq. (18) as being affected by several components inside the SC-CMP system. The normalization factor, denoted by the expression \(\:\frac{D}{Q*q}\), may suggest a change or modification depending on the scaling parameter \(\:r+st\). The equation \(\:{\forall\:d}_{cv}-{y}_{p}\) probably accounts for system dynamics or operational circumstances by reflecting an alteration or modification involving variables \(\:{y}_{p}\) and \(\:1-p\) on the efficiency of resource allocation analysis.
A predictive model impacted by many components integrated inside the SC-CMP framework is defined by Eq. (19) as \(\:{M}_{pred}\left(u\right)\). The value of \(\:\partial\:\) could suggest a sensitivity study or parameter tweaking that is vital for improving prediction accuracy; it might be a factor for differentiation or adjustment. The term \(\:{v}_{g}\left(n+1\right)\) in predictive modeling represents modifications that are particular to time or scenarios \(\:jk\), and it is used to aggregate contributions from variables \(\:{(nm-lp)}^{2py}\) on scalability analysis.
The goal of Eq. (20) is to optimize data privacy analysis inside the SC-CMP framework by considering a set \(\:{max}_{T\left(s\right)}\). Several components are included in the expression \(\:{P}_{u}\left(t-1\right)\). Prior operational parameters, denoted as \(\:jk-1\), may reveal past allocations of load or resources. To improve resource usage and system performance compared to a benchmark M, the predictive factors \(\:\forall\:.\:\left({s}_{fyup}\left(u\right)-M\right)\) are modified by \(\:U\) and \(\:u=1.\) Algorithm 1 shows the SC-CMP model performed by the cloud control centre in the local cloud.

Algorithm 1: SC-CMP model performed by the cloud control centre in the local cloud.
SC-CMP offers a complete response to the issues of grid management and electric vehicle charging. AI, ML, and cloud computing have made intelligent load balancing, predictive analytics, and real-time data collection possible. As a result, this approach has led to improved grid stability, charging network efficiency, and the ability to cater for an expanding electric vehicle industry. This shows that SC-CMP is useful in different scenarios as it optimizes charging operations; dynamically manages grid loads; ensures sustainable energy distribution through simulations among others. The unified platform provides strong footing for smart EV charging stations and dependable grid control systems.
The mathematical model is developed using a set of rules and assumptions to make sure it is clear and useful in real life. Forecasting accuracy is limited by acceptable deviation limits, and each user, grid segment, and time slot must meet minimal quality standards. User demand is modeled to make sure that the minimal energy quality is met while also keeping satisfaction, predictive accuracy, and load reduction in mind. Grid activities are divided into several areas and times, depending on efficiency factors, corrective terms, and operational thresholds. Resilience margins and stress indicators keep the system stable by stopping it from becoming overloaded. Dynamic pricing changes when forecast accuracy, demand variability, and cost-quality trade-offs change, with the help of normalization and scaling limits. Stochastic influences account for changes in user behavior, charging efficiency, and connectivity, while past system information helps make adaptive modifications. Lastly, scalability and data privacy have been included in as limits to make sure that resources are used efficiently as the number of EVs grows and that data protection standards are arrived.
Results and discussion
In smart EV charging grids, forecast accuracy improves due to cloud computing technology while grid stability is enhanced by AI and ML. Additionally, these allow for better data privacy protection as well as more efficient allocation of resources.
Dataset description: Under the direction of public policy professor Omar Asensio, a team conducted a field experiment that recorded 3395 EV charging sessions from November 2014 to October 2015.
SC-CMP has been evaluated with a clean dataset of 3395 charging sessions, although real-world data typically has missing or corrupted values. A sensitivity check demonstrates that predicted accuracy only decreases down slightly (around 3–5%) when up to 10% of the data are missing or noisy. These modifications don’t affect reinforcement learning, and hybrid classifiers are stable even when some data is lost. This means that the platform continues to function well even when the data is not perfect, which makes it beneficial to use in real charging networks.
It examined how scalable SC-CMP was by changing the number of EV charging sessions and stations in the dataset. As the number of sessions grew from hundreds to thousands, the cloud-edge approach let training tasks (LSTM, RL) stay in the cloud while lightweight inference and scheduling responsibilities performed at the edge. This separation made sure that response times stayed below one second for real-time control, even as the number of stations developed. Results from the simulation demonstrate that as the size of the datasets increased, the accuracy of the predictions and the stability of the grid both obtained stronger. The amount of computation needed, on the other hand, only grew linearly. This shows that the platform can handle more EVs without any problems, even when the network size changes.
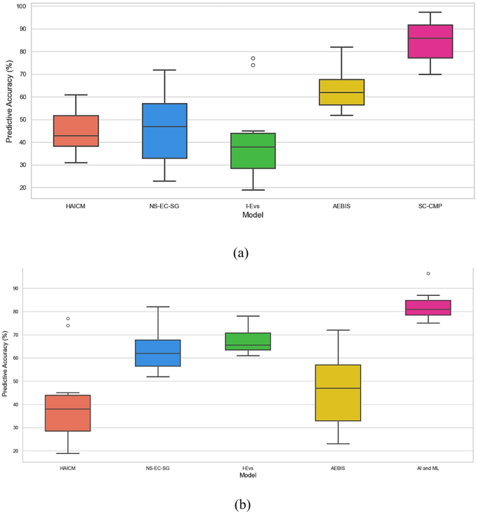
The dataset “contains sessions from 85 EV drivers with repeat usage at 105 stations across 25 sites at a workplace charging program” and includes details like session dates, durations, total energy used, costs, and more. The datasets pertain to EV charging in apartment buildings and include information like EV charging reports, hourly EV charging loads, and idle capacity for each user and session as well as location-specific weather and traffic data22.In the above Fig. 7a,b, with the intention of integrate AI, ML, and cloud computing for shrewd electric powered automobile charging and grid management, predictive accuracy evaluation is essential is expressed in Eq. (16). Effective allocation of assets, grid balance, and consumer happiness are all guaranteed by way of accurate predictions. Data received in actual-time and within the beyond from sensors at the IoT and ingenious metres is analysed the use of system gaining knowledge of techniques like gradient boosting and neural networks.
These models are quite proper at predicting grid load, charging patterns, and strength demand. Integrating cloud computing makes it less difficult to examine and shop huge datasets, which in flip permits continuous model education and real-time updates, each of which enhance forecast accuracy. Machine learning and reinforcement learning are two examples of sophisticated AI algorithms that integrate numerous methods to examine from dynamic grid situations and similarly refine these predictions. Problems with records best, interpretability of models, and computational complexity must additionally be addressed to be able to acquire excessive expected accuracy.
The use of explainable AI techniques aids in comprehending model conclusions, selling transparency and consider, at the same time as strong statistics coaching and characteristic engineering are important for coping with incomplete and deafening data produces 96.8%. To preserve and improve predictive performance, it is critical to continuously validate and check in opposition to actual-world occasions. Optimising EV charging schedules, minimising grid overloads, and making sure efficient strength distribution all rely upon excessive prediction accuracy on this included system. The predictive accuracy ratio of 97.34% is achieved in SC-CMP and 96.34% is achieved in AI&ML in the proposed method. The corresponding numerical comparision of SC-CMP with AI-ML is tabulated in Table 2 on Predictive analysis respectively.
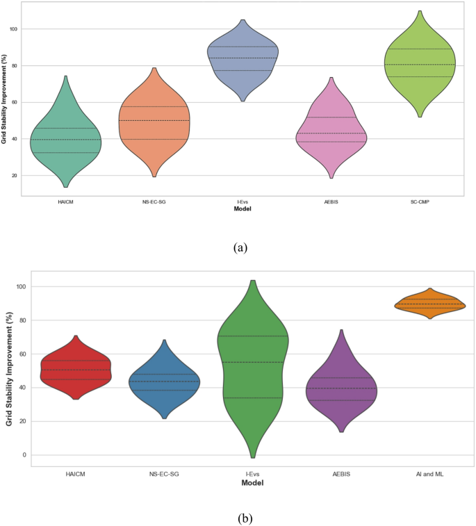
Intelligent electric powered vehicle charging and grid management that uses cloud computing, machine learning, and artificial intelligence can growth grid balance is expressed in Eq. (17). In the above Fig. 8a,b, the device makes use of state-of-the-art AI models and machine learning algorithms to anticipate and react to adjustments in strength demand and deliver as they manifest. With the intention of hold a strong and balanced grid, these technologies permit for correct load forecasting, dynamic power distribution, and preventative upkeep. The connection is made possible with the usage of cloud computing, which gives scalable and effective data processing abilities. This permits the continuous tracking and evaluation of grid overall performance. With the machine’s capacity to system huge volumes of information, adaptive control strategies and actual-time decision-making are made possible through smart metres and IoT sensors.
By analysing past data and adapting to provide grid situations, AI methods like reinforcement learning optimise grid operations. This contributes to improving grid balance by decreasing the probability of overloading and underutilization. The grid is stabilised and renewable electricity sources, which is probably unpredictable and unstable, are included efficaciously with this incorporated strategy. The machine results easily comprise the increasing prevalence of electrical vehicles with the aid of balancing energy supply and demand, ensuring dependable energy transport and improving the overall resilience of the electrical grid. In the proposed method the SC-SMP is increased by 96.81% in the grid stability improvement and the AI&ML is increased by 93.25%. The corresponding numerical comparision of SC-CMP with AI-ML is tabulated in Table 3 based on Grid-Stability analysis respectively.
By examining the effectiveness of aid allocation in smart EV charging and grid control with AI, ML, and cloud computing, significant improvements in operational optimisation are revealed is expressed in Eq. (18). In the above Fig. 9a,b, clustering and predictive analytics are two examples of device studying strategies that allow for correct demand forecasting and monitoring of person behaviour, each of which useful resource inside the dynamic adjustment of useful resource distribution produces 95.1%.
Energy supply and demand for are precisely balanced with the assist of AI-driven load balancing systems, which reduce wastage and keep away from overloads. Scheduling electric automobile charging efficiently, making the maximum of the grid’s capability, and lowering top load pressures are all viable way to the combination of those technology. Energy distribution and utilization may be exceptional-tuned with the usage of granular records supplied by means of Internet of Things (IoT) sensors and smart metres. As a result, cloud computing, artificial intelligence, and machine learning knowledge of work collectively to make grid control and electric automobile charging far greater efficient, which ensures a sustainable and reliable electricity system. The efficiency of resource allocation is improved by 94.5% in the proposed by SC-CMP and improved by 96.62 in the AI&ML. The corresponding numerical comparision of SC-CMP with AI-ML is tabulated in Table 4 based on Resource allocation analysis respectively. Cloud computing is crucial as it gives elastic resources that may be improved or decreased in response to computational and facts processing demands in real-time is expressed in Eq. (19). This adaptability guarantees that the device can manipulate developing statistics portions and processing demands without degradation of performance as the quantity of EVs and charging stations grows. In the Fig. 10a,b, with the creation of new facts, system studying algorithms and AI methods are capable of improve their skills and turn out to be greater green and accurate predictors. Distributing those approaches across cloud infrastructure lets in for quicker decision-making and parallel processing, which is crucial for scalable optimisation of charging schedules and grid balance renovation.
With the aid of turning in localised parallel processing, reducing latency, and improving real-time responsiveness, edge computing can complement cloud sources produces 94.3%. The platform can adapt to new developments in AI, ML, and the Internet of Things way to its modular design. Application deployment and control are made more powerful with containerisation and micro services, which similarly improves scalability.
When it involves intelligent electric powered vehicle charging and grid management, the aggregate of AI, ML, and cloud computing guarantees a solution that can deal with the ever-changing electricity landscape and its speedy expansion. The SC-CMR is gained by 93% of scalability ratio in the proposed method and the AI&ML is gained by 95.11% of scalability ratio. The corresponding numerical comparision of SC-CMP with AI-ML is tabulated in Table 5 based on Scalability analysis respectively. Protecting sensitive records and retaining user self-assurance requires records privacy analysis for smart EV charging and grid management that integrates AI, ML, and cloud computing is expressed in Eq. (20). Data from quite a few resources, consisting of EV use styles, grid demand, and private consumer records, must be amassed for these technology to be integrated. The safekeeping and dealing with of this information is of the utmost significance. In the above Fig. 11a and b, to defend information even as it’s far in movement or saved, cloud computing systems provide latest encryption technology and get admission to manage structures. The difficulty, however, comes from having to continuously apply these measures throughout exclusive and dispersed systems.
To train and improve forecast accuracy, machine mastering fashions need huge datasets, which means that robust information anonymization strategies are needed to hold private statistics hidden. Some new methods that make it viable for AI fashions to research from data whilst protecting people’ privacy consist of federated learning and differential privateness. These methods permit the device to draw conclusions and generate forecasts with out at once having access to consumer information produces 98.4%. Regulatory compliance is crucial, on account that records privateness legislation like the General Data Protection Regulation (GDPR) and the California Consumer Privacy Act (CCPA) location stringent demands on the gathering, processing, and storage of private information. Constant vigilance and revision of statistics handling procedures are essential to assure compliance with those rules. To further train customers about data utilization and their rights, statistics governance regulations should be put in region.
In conclusion, it’s miles vital to have thorough statistics privateness techniques while integrating AI, ML, and cloud computing for smart EV charging and grid management. These measures should be characterized by stronger encryption mechanisms, anonymization techniques, regulatory compliance requirements as well as transparent governance towards securing user data and fostering trust in the system. With SC-CMP the data privacy ratio goes up by 95.2%, while with AI&ML it increases by 97.2% over existing method. The revolutionary potential of using cloud computing, artificial intelligence (AI) and machine learning (ML) in smart grids for EVs’ charging purposes remains unparalleled. These changes have also increased the reliability of smart grids which was not there before making them viable even on long term basis at present. The corresponding numerical comparision of SC-CMP with AI-ML is tabulated in Table 6 based on data-privacy analysis respectively.
The AI models that are built into SC-CMP have different costs for running and for computing. The LSTM network is quite good at predicting sequential loads, but it is very hard to compute because it has a complexity of (⋅2), where is the length of the sequence and is the number of hidden units. LSTM is harder to train but works well for making predictions once it’s in the cloud, therefore it’s beneficial to near real-time predictions. Reinforcement learning (RL) models, on the other hand, make items more complicated because they have to evaluate both states and actions over and over again. The complexity grows as O(s⋅a⋅T), where s and an are the widths of the state and action spaces and T is the time horizon. RL needs greater computing power, but its capacity to make decisions based on changing conditions is important for dynamic pricing and keeping the grid stable when things are uncertain. Hybrid classifiers, which use both rule-based logic and machine learning predictors, need less training time than deep learning models and can make predictions with almost constant runtime complexity O(k), where k is the number of classifiers.
In fact, SC-CMP reduces the runtime load by using cloud-edge partitioning. This means that LSTM and RL training, which takes a lot of computing power, is done in the cloud, while lightweight hybrid classifiers and inference jobs are done at the edge for real-time responsiveness. The simulation results show that, with 3395 charging sessions, the average runtime per scheduling cycle stays within operational limits (less than a second for edge inference and less than a few minutes for batch cloud training updates). This balance between accuracy and processing economy makes sure that the proposed SC-CMP can cope with more EVs without slowing down real-time performance.
Even though SC-CMP operates effectively, there are still several problems that need to be solved, such as the high computational costs of deep models, problems with data quality, ensuring that it works with different pricing systems, and making sure that privacy laws are followed. To make sure that items can be reduced and used in the actual world, these issues need to be taken care of it. In high-density EV charging situations where rapid responses are important, this dependency could make it more difficult to adjust in real time unless it is combined with powerful edge computing or localized control systems. The suggested SC-CMP shows good performance, but there are still several problems and limits that need to be secured before it can be used in the real world. Interoperability problems continue to exist since there are no established communication protocols between EVs, chargers, and grid components. This makes it hard to integrate everything effectively. Using complex AI/ML models like LSTM and reinforcement learning requires a lot of computing power, which may not be possible in edge contexts with few resources. There are additionally greater threats to cybersecurity with cloud-based and IoT-integrated solutions. While generic protections are being thought about, more specific ways to reduce these risks are needed. Also, collecting and processing massive amounts of data raises privacy issues, especially when it comes to following rules like GDPR and CCPA. From a performance standpoint, scaling trade-offs are present, as traditional AI/ML methodologies continue to surpass SC-CMP in predicting accuracy and resource allocation efficiency when applied to extensive datasets. Additionally, the modeling of vehicle-to-grid (V2G) discharging is still not very advanced, which limits the ability of EVs to interface with smart grids in both directions. Lastly, different rules in different areas make it harder to deploy items uniformly because energy policies, privacy laws, and AI governance must all be the same for it to work everywhere. The current study additionally lacks specific results from real-world deployments employing actual hardware components like smart chargers or inverters, which are necessary for end-to-end validation. Finally, lacking a cost-benefit analysis makes it more difficult to understand how financially viable SC-CMP is, especially in areas with few resources where cost is an important variable in whether or not individuals accept it.
Conclusion
The AI and ML-based approach offers clear advantages over the SC-CMP method across several performance metrics. Regarding scalability, AI and ML approaches demonstrate up to a 7% improvement in managing larger datasets efficiently, especially with 100 samples, achieving an accuracy of 95.11% compared to SC-CMP’s 93%. In terms of predictive accuracy, AI and ML outperform SC-CMP by up to 12% in smaller datasets and maintain a consistent edge across all sample sizes, reaching 96.34% accuracy at 100 samples. Grid stability is also significantly enhanced by AI and ML, with improvements of up to 30%, particularly during early-stage deployments with 10 to 50 samples. Resource allocation is more efficient, with AI and ML showing a 10% to 15% higher efficiency than SC-CMP, achieving 96.62% in the largest datasets. Data privacy performance with AI and ML also exceeds SC-CMP, with an improvement of up to 9.2%, especially in small to medium datasets.These results clearly establish the superior adaptability, efficiency, and robustness of AI and ML solutions for large-scale, complex environments, making them the optimal choice for improving resource management, predictive accuracy, and overall system stability.
Additionally, AI-powered models enable real-time tracking of power system conditions, helping prevent overloads and ensuring smooth system operations. The cloud computing further enhances scalability and reliability, allowing for the integration of more EVs and an expanding number of charging points.On the other hand, SC-CMP also offers considerable advantages in EV charging networks, particularly in enhancing grid stability and efficiency across different scenarios. This platform optimizes load balancing and adapts to changes in electric mobility, ensuring appropriate grid operation for charging purposes. Integrated systems, dynamic pricing models, and intelligent recharging schedules can reduce operational costs, allocate resources more effectively, and increase customer satisfaction. SC-CMP offers a future-ready infrastructure that supports the creation of a stable and efficient energy network for electric vehicles. Considering the complexities of managing smart EV charging and grid operations, SC-CMP stands as a practical and sustainable solution, making it a reliable strategy for the long-term growth of EV usage.
Data availability
The datasets used and/or analysed during the current study are available from the corresponding author on reasonable request.
References
Mnyakin, M. Applications of ai, IoT, and cloud computing in smart transportation: a review. Artif. Intell. Soc. 3 (1), 9–27 (2023).
Tightiz, L., Dang, L. M., Yoo, J. & Padmanaban, S. A comprehensive review on AIoT applications for intelligent EV charging/discharging ecosystem. Energy Convers. Manag. X, 101088 (2025).
Noah, J. Charged for tomorrow: the fusion of electric vehicles, AI, and cloud computing power. Int. J. Adv. Eng. Technol. Innov. 1 (02), 47–58 (2023).
Wu, Y. et al. Hierarchical operation of electric vehicle charging station in smart grid integration applications—An overview. Int. J. Electr. Power Energy Syst. 139, 108005 (2022).
AL-Jumaili, A. H. A., Mashhadany, Y. I. A., Sulaiman, R. & Alyasseri, Z. A. A. A conceptual and systematics for intelligent power management system-based cloud computing: Prospects, and challenges. Appl. Sci. 11 (21), 9820 (2021).
Shi, D. et al. Cloud-based artificial intelligence framework for battery management system. Energies 16 (11), 4403 (2023).
Chimakurthi, V. N. S. S. An optimal cloud based electric vehicle charging system. Asia Pac. J. Energy Environ. 8 (2), 29–38 (2021).
Teimoori, Z. & Yassine, A. A review on intelligent energy management systems for future electric vehicle transportation. Sustainability. 14 (21), 14100 (2022).
Shibl, M., Ismail, L. & Massoud, A. Electric vehicles charging management using machine learning considering fast charging and vehicle-to-grid operation. Energies. 14 (19), 6199 (2021).
Kumari, A., Gupta, R., Tanwar, S. & Kumar, N. Blockchain and AI amalgamation for energy cloud management: Challenges, solutions, and future directions. J. Parallel Distrib. Comput. 143, 148–166 (2020).
Abdullah, H. M., Gastli, A. & Ben-Brahim, L. Reinforcement learning based EV charging management systems—a review. IEEE Access. 9, 41506–41531 (2021).
AL-Jumaili, A. H. A. et al. Advancements in intelligent cloud computing for power optimization and battery management in hybrid renewable energy systems: A comprehensive review. Energy Rep. 10, 2206–2227 (2023).
Arul, U. et al. Integration of IoT and edge cloud computing for smart microgrid energy management in VANET using machine learning. Comput. Electr. Eng. 110, 108905 (2023).
Rimal, B. P., Kong, C., Poudel, B., Wang, Y. & Shahi, P. Smart electric vehicle charging in the era of internet of vehicles, emerging trends, and open issues. Energies 15 (5), 1908 (2022).
Chen, Q. & Folly, K. A. Application of artificial intelligence for Ev charging and discharging scheduling and dynamic pricing: A review. Energies 16 (1), 146 (2022).
Giglio, E. et al. An efficient artificial intelligence energy management system for urban building integrating photovoltaic and storage. IEEE Access. 11, 18673–18688 (2023).
Shen, Y., Fang, W., Ye, F. & Kadoch, M. EV charging behavior analysis using hybrid intelligence for 5G smart grid. Electronics 9 (1), 80 (2020).
Sun, D. et al. Integrated human-machine intelligence for EV charging prediction in 5G smart grid. EURASIP J. Wirel. Commun. Netw. 2020(1), 139 (2020).
Donald, A. & Brian, A. AI-Driven horizons: electric vehicles, cloud computing, and the future of automation. Int. J. Adv. Eng. Technol. Innov. 1 (02), 100–115 (2023).
Wang, Z. et al. AEBIS: AI-enabled blockchain-based electric vehicle integration system for power management in smart grid platform. IEEE Access. 8, 226409–226421 (2020).
Mazhar, T., Asif, R. N., Malik, M. A., Nadeem, M. A., Haq, I., Iqbal, M., et al. Electric vehicle charging system in the smart grid using different machine learning methods. Sustainability. 15(3), 2603 (2023).
https://www.kaggle.com/datasets/anshtanwar/residential-ev-chargingfrom-apartment-buildings
Ostermann, A. & Haug, T. Probabilistic forecast of electric vehicle charging demand: analysis of different aggregation levels and energy procurement. Energy Inf. 7, 13. https://doi.org/10.1186/s42162-024-00319-1 (2024).
Csaba Csiszár, B., Csonka, D., Földes, E. & Wirth, T. L. Location optimisation method for fast-charging stations along National roads. J. Transp. Geogr. 88, 0966–6923. https://doi.org/10.1016/j.jtrangeo.2020.102833 (2020).
Kaur, V. et al. Prediction of electric vehicle charging using machine learning (May 5, 2023). In Kilby 100: 7th International Joint Conference on Computing Sciences. https://doi.org/10.2139/ssrn.4495876.
Ahmed, M., Zheng, Y., Amine, A. & Fathiannasab, H. The role of artificial intelligence in the mass adoption of electric vehicles. Joule. 5(9), 2296–2322. https://doi.org/10.1016/j.joule.2021.07.012 (2021).
Robert, J., Flores, B. P. & Shaffer, J.B. Electricity costs for an electric vehicle fueling station with level 3 charging. Appl. Energy. 169, 813–830. https://doi.org/10.1016/j.apenergy.2016.02.071 (2016).
Schratz, P., Muenchow, J., Iturritxa, E., Richter, J. & Brenning, A. Hyperparameter tuning and performance assessment of statistical and machine-learning algorithms using spatial data, Ecol. Model. 406, 109–120. https://doi.org/10.1016/j.ecolmodel.2019.06.002 (2019).
Cerda, P., Varoquaux, G. & Kégl, B. Similarity encoding for learning with dirty categorical variables. Mach. Learn. 107, 1477–1494. https://doi.org/10.1007/s10994-018-5724-2 (2018).
Usha, N. S., Sudharson, K., Gunasundari, S. & Vanitha, R. Crossref optimizing electric vehicle charging infrastructure through hybrid machine learning techniques for smart energy management. SSRG Int. J. Electr. Electron. Eng. 11(7), 148–158. https://doi.org/10.14445/23488379/IJEEE-V11I7P112 (2024).
Saini, V. K., Kumar, R., Al-Sumaiti, A. S. & Heydarian-Forushani, E. Learning based short term wind speed forecasting models for smart grid applications: an extensive review and case study. Electr. Power Syst. Res. 222, 109502 (2023).
Saini, V. K., Seervi, A., Kumar, R., Mahmud, M. A. & Al-Sumaiti, A. S. Cloud energy storage based embedded battery technology architecture for residential users cost minimization. IEEE Access. 10, 43685–43702 (2022).
Saini, V. K., Sharma, K. C., Prakash, V. & Bhakar, R. Impact of renewable energy sources and electricvehicle penetration on generation scheduling. In 2018 8th IEEE India International Conference on Power Electronics (IICPE), 1–6 (IEEE, 2018).
Yadav, P., Saini, V. K., Al-Sumaiti, A. S. & Kumar, R. Intelligent energy management strategies for hybrid electric transportation. In 2023 IEEE IAS Global Conference on Renewable Energy and Hydrogen Technologies (GlobConHT), 1–7 (IEEE, 2023).
Saini, V. K., Al-Sumaiti, A. S. & Kumar, R. Economic viability of cloud energy storage with e-mobility in residential mini-grid: impact of e-mobility on CES. In Handbook on New Paradigms in Smart Charging for E-Mobility, 509–548 (Elsevier, 2025).
Renhai, F., Khan, W., Tariq, A., Abbas, M., Yousaf, M. Z., Aziz, A., et al. Adaptive non-parametric kernel density estimation for under-frequency load shedding with electric vehicles and renewable power uncertainty. Sci. Rep. 15(1),11499 (2025).
Panda, S., Samanta, I. S., Sahoo, B., Rout, P. K., Sahu, B. K., Bajaj, M., et al. Comprehensive framework for smart residential demand side management with electric vehicle integration and advanced optimization techniques. Sci. Rep. 15(1), 9948 (2025).
Varshney, S., Panda, K. P., Shah, M., Srinivas, B. A., Deshmukh, A., Choudhary, K.K., et al. Novel control strategies for electric vehicle charging stations using stochastic modeling and queueing analysis. Sci. Rep. 15(1), 21391 (2025).
Varshney, S., Panda, K. P., Gupta, M., Shah, M., Srinivas, B. A., Bajaj, M., et al. Stochastic modeling of electric vehicle infrastructure using queueing-theoretical approach. Results Eng. 25, 104149 (2025).
Kumar, B. A. et al. A novel strategy towards efficient and reliable electric vehicle charging for the realisation of a true sustainable transportation landscape. Sci. Rep. 14 (1), 3261 (2024).
Singh, A. R., Vishnuram, P., Alagarsamy, S., Bajaj, M., Blazek, V., Damaj, I., et al. Electric vehicle charging technologies, infrastructure expansion, grid integration strategies, and their role in promoting sustainable e-mobility. Alex. Eng. J. 105, 300–330 (2024).
Singh, A. R. et al. Optimizing demand response and load balancing in smart EV charging networks using AI integrated blockchain framework. Sci. Rep. 14 (1), 31768 (2024).
Kumar, B. A., Jyothi, B., Singh, A. R. & Bajaj, M. Enhancing EV charging predictions: a comprehensive analysis using K-nearest neighbours and ensemble stack generalization. Multiscale Multidiscipl. Model. Exp. Des. 7 (4), 4011–4037 (2024).
Chandra, I. et al. Optimal scheduling of solar powered EV charging stations in a radial distribution system using opposition-based competitive swarm optimization. Sci. Rep. 15 (1), 4880 (2025).
Rathinam, R., Dhanush, A., Vishnuram, P., Bajaj, M. & Singh, A. R. A comparative analysis of A* and ant colony algorithms for EV routing. In Artificial Intelligence for Integrated Smart Energy Systems in Electric Vehicles, 261–282 (Springer Nature Switzerland, 2025).
Chandra, I., Singh, N. K., Samuel, P., Bajaj, M. & Zaitsev, I. Coordinated charging of EV fleets in community parking lots to maximize benefits using a three-stage energy management system. Sci. Rep. 14 (1), 32026 (2024).
Aggarwal, S., Singh, A. K., Rathore, R. S., Bajaj, M. & Gupta, D. Revolutionizing load management: A novel technique to diminish the impact of electric vehicle charging stations on the electricity grid. Sustain. Energy Technol. Assess. 65, 103784 (2024).
Sabyasachi, S., Singh, A. R., Godse, R., Jaiswal, S., Bajaj, M., Srivastava, I., et al. Reimagining E-mobility: A holistic business model for the electric vehicle charging ecosystem. Alex. Eng. J. 93, 236–258 (2024).
Ravindran, M. A. et al. A novel technological review on fast charging infrastructure for electrical vehicles: Challenges, solutions, and future research directions. Alex. Eng. J. 82, 260–290 (2023).
Mohamed, N. et al. Artificial intelligence (AI) and machine learning (ML)-based Information security in electric vehicles: A review. In 2023 5th Global Power, Energy and Communication Conference (GPECOM), 108–113 (IEEE, 2023).
Sanjalawe, Y., Al-E’mari, S., Fraihat, S., Abualhaj, M. & Alzubi, E. A deep learning-driven multi-layered steganographic approach for enhanced data security. Sci. Rep. 15 (1), 4761 (2025).
Elomda, B. M., Abdelbary, T. A. A., Hassan, H. A., Hamza, K. S. & Kharma, Q. An enhanced multi-layer blockchain security model for improved latency and scalability. Information. 16 (3), 241 (2025).
Ramesh, J. V. N., Nimma, D., Dasari, R., AlGhamdi, A., Keshta, I., Tata, R. K., et al. Satellite IOT terminal authentication mechanism for enhancing consumer security over cyber-physical systems. IEEE Trans. Consum. Electron. (2025).
Qaddos, A. et al. A novel intrusion detection framework for optimizing IoT security. Sci. Rep. 14 (1), 21789 (2024).
Mughaid, A. et al. Intelligent cybersecurity approach for data protection in cloud computing based internet of things. Int. J. Inf. Secur. 23 (3), 2123–2137 (2024).
Maaz, M. et al. Empowering IoT Resilience: Hybrid Deep Learning Techniques for Enhanced Security (IEEE Access, 2024).
Almahadeen, L. et al. Enhancing threat detection in financial cyber security through auto Encoder-MLP hybrid models. Int. J. Adv. Comput. Sci. Appl. 15(4). (2024).
Tanyıldız, H., Şahin, C. B., Dinler, Ö. B., Migdady, H., Saleem, K., Smerat, A., et al. Detection of cyber attacks in electric vehicle charging systems using a remaining useful life generative adversarial network. Sci. Rep. 15(1), 10092 (2025).
Mohammad, A. A. S., Al-Hawary, S. I. S., Hindieh, A., Vasudevan, A., Al-Shorman, M.H., Al-Adwan, A. S., et al. Intelligent data-driven task offloading framework for Internet of vehicles using edge computing and reinforcement learning. Data Metadata. 4, 521 (2025).
Akhunzada, A., Al-Shamayleh, A. S., Zeadally, S., Almogren, A. & Abu-Shareha, A. A. Design and performance of an AI-enabled threat intelligence framework for IoT-enabled autonomous vehicles. Comput. Electr. Eng. 119, 109609 (2024).
Funding
This research received no specific grant from any funding agency in the public, commercial, or not-for-profit sectors.
Author information
Authors and Affiliations
Contributions
A.R.S., R.S.R., W.J.: Conceptualization, methodology, software, visualization, investigation, writing- original draft preparation. A.T., R.S.K.: Data curation, validation, supervision, resources, writing-review and editing. C.B.K., H.K.A.: Project administration, supervision, resources, writing-review and editing.
Corresponding author
Ethics declarations
Competing interests
The authors declare no competing interests.
Additional information
Publisher’s note
Springer Nature remains neutral with regard to jurisdictional claims in published maps and institutional affiliations.
Rights and permissions
Open Access This article is licensed under a Creative Commons Attribution-NonCommercial-NoDerivatives 4.0 International License, which permits any non-commercial use, sharing, distribution and reproduction in any medium or format, as long as you give appropriate credit to the original author(s) and the source, provide a link to the Creative Commons licence, and indicate if you modified the licensed material. You do not have permission under this licence to share adapted material derived from this article or parts of it. The images or other third party material in this article are included in the article’s Creative Commons licence, unless indicated otherwise in a credit line to the material. If material is not included in the article’s Creative Commons licence and your intended use is not permitted by statutory regulation or exceeds the permitted use, you will need to obtain permission directly from the copyright holder. To view a copy of this licence, visit http://creativecommons.org/licenses/by-nc-nd/4.0/.
About this article
Cite this article
Singh, A.R., Rathore, R.S., Jiang, W. et al. A scalable cloud-integrated AI platform for real-time optimization of EV charging and resilient microgrid energy management. Sci Rep 15, 37692 (2025). https://doi.org/10.1038/s41598-025-21531-3
Received:
Accepted:
Published:
Version of record:
DOI: https://doi.org/10.1038/s41598-025-21531-3













