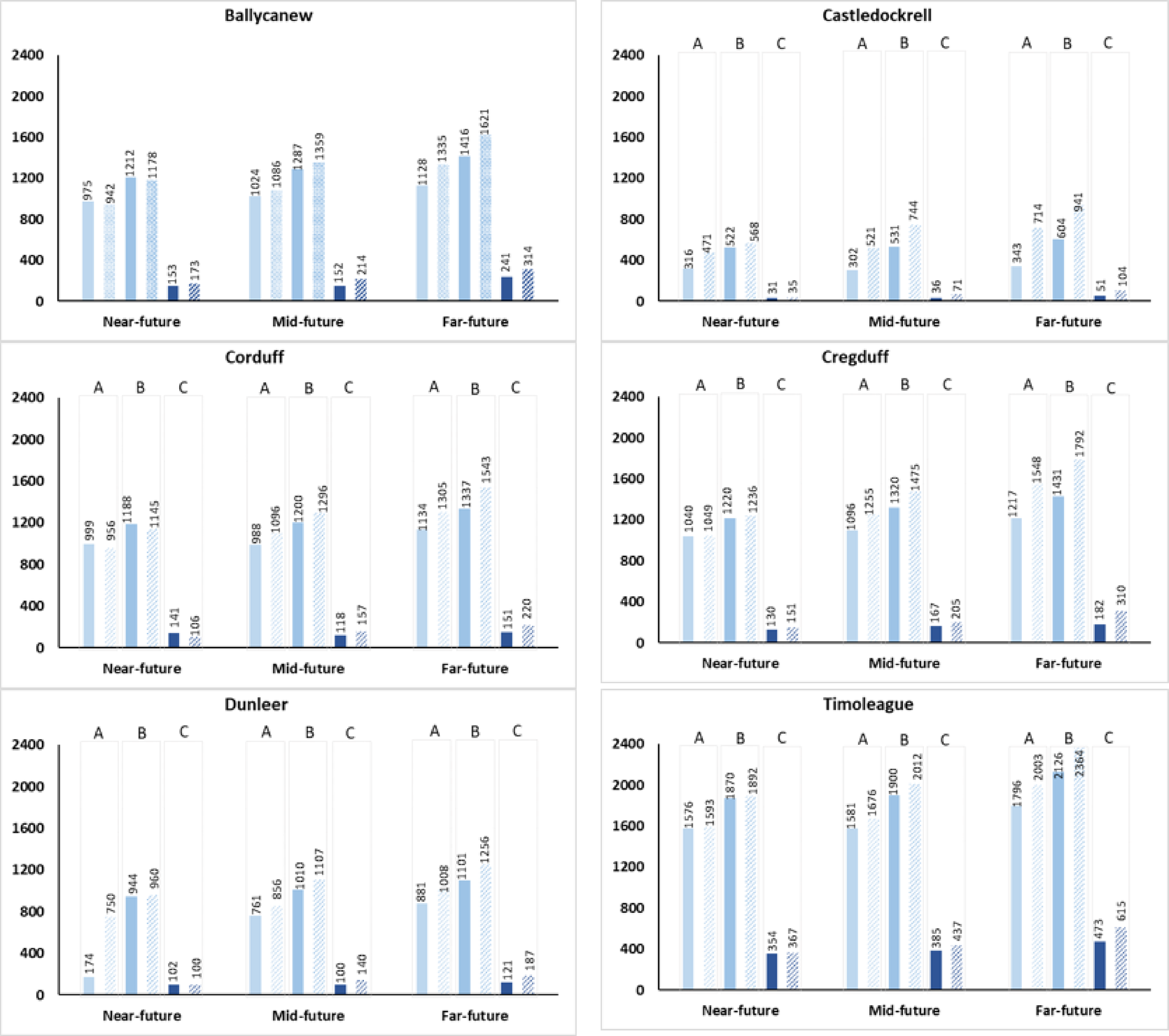
Fig. 3

Number of projected P loss events based on Criteria A, B, and C during the three climate projection periods representing the near-future (2010–2039), mid-future (2040–2069) and far-future (2070–2100). The solid colours show RCP4.5 and the crosshatch bars represent RCP8.5.