Abstract
Climate change is likely to add further pressures to water quality degradation across the globe. The development of robust climate-smart mitigation measures necessitates understanding the impact of extreme hydrological events on catchment hydrology and nutrient losses. Here, empirical modelling (EM) was applied on 14 years of sub-hourly water quality and weather data from six hydrologically diverse agricultural catchments in Ireland to understand the climatic factors that trigger an increase in phosphorus (P) losses [manifested as increase of 0.01 mg L− 1 in total phosphorus (TP) and increase of 0.005 mg L− 1 in total reactive phosphorus (TRP) over one day]. Plausible future P-loss due to extreme weather events was then modelled using climate change scenarios (from 2010 to 2100) for medium and high emission pathways, i.e. Representative concentration pathways (RCP) 4.5 and RCP8.5, respectively. EM identified three climatic conditions that trigger TP and TRP losses across all study catchments, namely: (i) cumulative effective rainfall > 5 mm over five days followed by effective rainfall > 5 mm in one day; (ii) effective rainfall > 5 mm in one day, and; (iii) effective rainfall over ten mm in one day. Together, these criteria captured up to 80% of the events across all catchments despite their different characteristics. From the projected climate change scenarios, the frequency of triggering events and their associated discharge rates, increases significantly towards the end of the century in all catchments, especially under RCP8.5. The sensitivity of catchment response to the changing weather patterns and the monthly trend of precipitation throughout the century strongly depended on catchment characteristics. The hydrologically flashy catchments in the dataset tend to be most sensitive to climate driven changes, returning the highest percentage increase of annual P-loss events in both RCPs. Considering far-future scenario, there would be 10–66% increase in the number of P-loss events under RCP4.5, and 28–67% under RCP8.5, taking into account the potential underestimation of projected precipitation probability. Assuming no changes in P-inputs in the future scenarios, the projections also indicated average discharge of up to 8.5 mm per a single triggering event that would directly contribute to increases in P-concentrations and mass loads leaving the catchments. Changes in climate are likely to compound already significant challenges in improving/ maintaining good water quality. It is therefore critical to incorporate the influences of climate change on nutrient losses in developing mitigation/adaptation strategies that are tailored to catchment-specific characteristics.
Similar content being viewed by others
Introduction
The delivery of excessive phosphorus (P) from agricultural catchments into streams, estuaries, and coastal waters1 is already putting pressure on maintaining good ecological status in water bodies. Climate change, though increasing rainfall extremes, flooding and drought is already compounding deterioration of water quality2. Extreme hydrological events (i.e., heavy precipitation, flooding, and drought) are happening at a global scale more frequently3,4, with higher intensity and longer duration5,6. Climate risk assessments have often overlooked water quality deteriorations under climate change despite its crucial role on ecosystem health and water security7. However, more recent studies are highlighting the need for prioritizing research under extreme weather events to challenge current conceptual models on water quality dynamics7, and for more comprehensive analysis of the complex link between the drivers of water quality and the controls related to changing weather patterns8. In order to advance the knowledge and projection of water quality in future climate, rivers, groundwater, and land should be considered as interconnected systems as hydro-biogeochemical processes on land are regulated by the shifts in the weather events, being either persistent, progressive, episodic, or severe, but all distinct in magnitude, intensity and duration7. All components of the water cycle, i.e. precipitation, evapotranspiration, and water discharges, are influenced by extreme weather events, at regional and global scale9. Ongoing climate change is likely to result in further alterations in the amount and seasonality of precipitation10, changes in runoff (as the dominant regulator of nutrient losses)11, and the magnitude and timing of floods and droughts as well.
For example, runoff could peak earlier in the spring and river flows would decrease in summer12,13, with the consequence of decreased dilution of non-point as well as persistent point sources14 (i.e. increase in pollutant mobilization over pollutant dilution during floods15 and hence increased nutrient concentrations14. Such changes will synergistically influence nutrient source15, mobilisation and/or delivery (detachment/solubilisation and connectivity/retention), transport and transformation of all water quality constituents15 in catchments16,17. This multidecadal climate change consequences on water quality are caused by the complex interactions between hydrological alterations (impacting streambed remobilization, particle size selectivity, organic matter and lateral erosion18, rises in water and soil temperatures, land use and human-induced changes15. Forber et al.19 recommended studying the impacts of climate change on each of the four tiers of the P transfer continuum, represented by the source–mobilization–transport-impact model originally conceptualized by Haygarth et al.20. High-flow events can increase the movement of P-enriched sediment (increased P detachment from soils) whereas very low-flow periods can reduce the natural attenuation capacity (dilution) of water bodies. In addition, new critical source areas might be created due to differences in the sensitivity of individual catchments to climate change21 and sediment delivery interventions should be adapted to changing rainfall patterns22.
The EU Water Framework Directive (WFD) (2000/60/EC)23 requires Ireland to achieve good ecological status in all waters by 2027. Agriculture is the most common land use covering 70% of the country, and the most significant pressure impacting ~ 63% of waterbodies at risk24. In recent years, attention has been directed to understanding the linkage between climate extremes and water quality. It is now acknowledged that water quality requires increased integration into climate adaptation policy25, while improved insights into climate change impacts on water quality and possible responses are needed26. For Ireland, the recent climate change impact assessments for hydrology have simulated changes in seasonal and annual flows27, increases in floods and more severe summer droughts28. Studies have also suggested that the vulnerability of catchments to extreme weather events different by regions due to catchment characteristics29,30. Ezzati et al.21 identified increasing inter-seasonal trends of nutrient losses to surface water and concluded that nutrient concentrations were driven by temperature, soil moisture deficit, and rainfall totals, and controlled by soil chemistry and drainage. In addition, recent studies have shown that geographically close catchments, but with different hydrological controls, respond differently to similar large-scale weather extremes8,31.
As a result, more targeted approaches are required to deliver catchment-specific targeted measures, which in turn, requires better understanding of underlying nutrient transfer processes at the catchment scale in a changing climate19,31 The knowledge gained from such studies would help develop appropriate adaptation plans for water quality (both surface and ground water and help improve understanding of the risks and opportunities for natural capital in Ireland’s National Risk Assessment of Impacts of Climate Change32,33 presented by climate change. However, large uncertainties and challenges persist for modelling water quality (including nutrient trends, legacies, delivery, and mobilization processes) responses to changing weather patterns16. Lack of long-term water quality observations9, and appropriate data resolution34 have been a barrier to better understanding of the climate-water quality relationship17. Due to the different scales of studies, climate and water quality have been typically researched independently35 while it is difficult to disentangle the impacts of climate change versus anthropogenic activities36. Estimating future nutrient losses to water bodies is further challenged by the complexity of the processes involved, model uncertainties, and their calibration37. Despite these challenges, the availability of 14 years of continuous high temporal resolution [10-min basis] water quality [nutrient conc.] and weather data from six hydrologically diverse and agriculturally dominated catchments across Ireland [developed within Agricultural Catchments Programme (ACP)] enabled the present study to fill this knowledge gap and brought the two disciplines together to understand projected P losses due to climate change.
Considering the pervasive challenge of excessive P in freshwater systems38 from agriculture as a significant pressure in waterbodies at risk in Ireland39, the current paper seeks to leverage the high temporal resolution and diversity of the ACP datasets to identify precipitation characteristics that trigger P loss events (sudden increases in P-concentration in surface water leaving the catchment). An empirical modelling approach was hence used to avoid model uncertainties by using observations across catchments. Next, the frequency of occurrence of trigger events is assessed using downscaled future climate change projections extending to 2100 for each catchment. Understanding how changing precipitation results in flushing of P would enable policy makers to target and deliver better mitigation/adaptation strategies at the catchment scale. Such understanding of the impact of the changing climate on nutrient losses (i.e. water quality) would provide invaluable insight for better development of National Climate Change Risk Assessment as well as building up a solid ground for international extrapolation. Therefore, the objective of this study was to assess how a predictable and highly influential variable (effective rainfall (ER)) influence P loss in diverse catchments’ settings, based on the empirical relationships established by assessing a unique 14-year dataset of sub-hourly hydro-chemometrics in the catchment’s river outlets.
Results
Water quality data and criteria contributing to loss events
Over the 14-year high-temporal resolution monitoring-period, Dunleer, Ballycanew, and Timoleague had the highest TP concentrations (Table 1) whereas the discharge was highest in Corduff, Timoleague, and Castledockerell, and lowest in Cregduff. Cregduff, a karst spring contribution zone, had the lowest TRP and TP concentrations among all study catchments.
The P-loss events triggered by extreme hydrological events were identified using the following criteria: (i) Criteria A, sum of ER > 5 mm within a 5 day window followed by ER > 5 mm in one day; (ii) Criteria B, ER > 5 mm in one day, and; (iii) Criteria C, ER > 10 mm in one day (See “Method”, Empirical modelling to identifying triggering events). Criteria B had the highest number of events and Criteria C had the largest difference in number of events between the catchments (Table 2). The calculated criteria captured up to 80% of P-loss events in Corduff, and over 60% in Castledockerell. In comparison, 38% of P-loss events in Cregduff, which has intrinsic high P retention31,40 were captured and 35 to 43% of events in Dunleer, Ballycanew, and Timoleague, respectively. These criteria were manifested similarly for both TP and TRP events, although they were more representative of TP losses.
Considering the sum of all Criteria, the following catchments had the highest number of TRP events in a descending order: Timoleague > Ballycanew > Castledockerell > Dunleer > Corduff > Cregduff. The ranking of catchments based on the highest number of TP events was as follows: Timoleague > Castledockerell > Ballycanew > Dunleer > Corduff > Cregduff. In all catchments, except for Corduff and Cregduff, there were higher number of weather driven P-loss events for TP. However, Corduff and Cregduff were instead more “weather sensitive” to TRP loss. This observation is aligned with the current state of knowledge about these two catchments. Castledockerell had more TP loss events than TRP (a larger difference than in the other study catchments).
Scenarios of near and far-future precipitation and inter seasonal trends
The median precipitation over near and mid-future scenarios was relatively stable for Castledockerell and Corduff in RCP4.5 (Fig. 1). However, there was a stepwise increase in precipitation in the far-future climate projection under RCP8.5. This emission pathway would also contribute to the occurrence of outliers in Castledockrell, Corduff, Cregduff, and Timoleague. Timoleague would, however, experience the highest increase and widest range of precipitation among the catchments throughout the century under both RCPs.
There was a considerable difference between the spread of precipitation during different time periods in Ballycanew and Castledockrell (despite their close proximity). However, this is not unexpected as during the previous years, localised rainfall has occurred more often and Castledockrell experienced some exceptionally heavy rainfall events.
The spread of projected mean daily precipitation (mm) for three modelled 30-year periods using emission scenarios RCP4.5 and RCP8.5.
Using the non-parametric rank-based Mann-Kendall trend test showed that the monthly trend and seasonality of precipitation events across different catchments were varied (Fig. 2). Trend analysis showed changes in the probability distribution of our continuously collected high-temporal resolution data over, hence, it provided a valuable statistical test to evaluate extend of nutrient losses and discover any hidden inter-annual trends. The increases in monthly trend were, however, similar for both emission scenarios and over different time periods indicating increase in the precipitation amount, and hence more frequent extreme events during the last three decades of the century. The seasonal monthly trend analysis on the mean values of climate-model ensemble showed that the frequency and magnitude of precipitation events would be more distinct during summer (June, July, August) in which a significant or highly significant decreasing trend of total precipitation in every month is projected. A positive (increasing) trend is projected for winter (December, January, February) and spring (March, April, May). Dunleer is the only catchment with a consistent increasing monthly trend in autumn (November) but it showed a decreasing trend in September. While most of the catchments will experience an increase in precipitation in January during the near-future (2010–2040) under RCP 4.5, all catchments experience a significant increase in May during the last time period in the extreme emission pathway (RCP 8.5). All catchments would experience a decrease in precipitations in June and July with the decrease highly significant in the far-future. Ballycanew would experience a highly significant decrease in August of the last three decades of the century while this change would be moderately significant in the near-future scenario.
Monthly trend analysis for projected precipitation under emission scenario pathways RCP 4.5 and RCP8.5. The numberings of 1, 2, and 3 refer to the three future-time periods of 2010–2039, 2040–2069, and 2070–2100 respectively. The abbreviations to catchments are as follows: Ba = Ballycanew, Ca = Castledockrell, Co = Corduff, Cr = Cregduff, Du = Dunleer, Ti = Timoleague.
Number of weather-triggered phosphorus loss events and associated discharge rates under future climates
The study catchments displayed different responses, both in terms of nutrient losses, and in sensitivity to climate change. Assuming a lack of changes in farm management (i.e., no changes in P inputs), the number of P loss events in all catchments increases in the projected future climates with significant differences between the RCPs. Yet, the number of events in both RCP 4.5 and RCP8.5 are projected to change similarly for the mid-future (2040–2069). The values of projected average discharge per extreme events vary to be lowest of 0.7 mm in Castledockrell to highest of 8.5 mm in Ballycanew (Table 3).
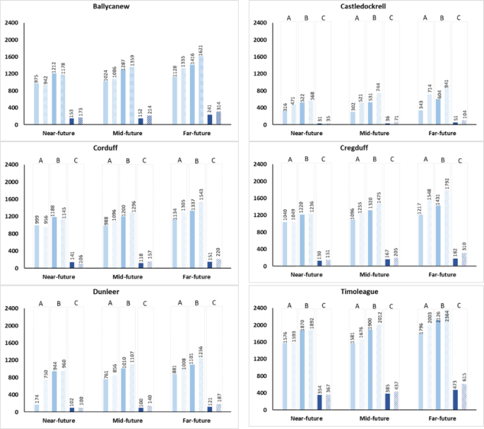
In both RCP 4.5 and RCP8.5, the increase in the number of precipitation triggered P loss events in Ballycanew was higher (almost double) than in Castledockerell. Castledockerell was predicted to have the lowest number of events among all the other catchments considering all criteria at all time periods under both emission pathways (Fig. 3). The only exception here is that the number of events in Dunleer is projected to be the lowest during the near-future under RCP4.5. Dunleer is also the only study catchment with a substantial difference between the RCPs during the near-future (2010–2039) (i.e. 174 events in RCP4.5 versus 750 events in RCP 8.5. Timoleague, Ballycanew, and Cregduff would experience more extreme rainfall events (Criteria C, effective rainfall exceeding 10 mm over a day), from the highest to the lowest order. Cregduff and Corduff would experience more extreme hydrological events (and hence P-concentration increasing events) during the last three decades of the century. In general, Timoleague would experience the highest number of increasing P loss events (Criteria A, B, and C) across the different RCPs and during the different future time-periods. Meanwhile, the average discharge per extreme events based on Criteria C revealed to be highest for Ballycanew followed by Corduff, during all time periods and for both emission pathways. Castledockerell and Cregduff had the lowest discharge rates per events consistently through all criteria during all time periods (Table 3).
Number of projected P loss events based on Criteria A, B, and C during the three climate projection periods representing the near-future (2010–2039), mid-future (2040–2069) and far-future (2070–2100). The solid colours show RCP4.5 and the crosshatch bars represent RCP8.5.
The first 14-years of climate model ensembles overlap with the beginning of ACP data-collection (observation records); therefore, direct validation of predicted rainfall against observed condition was not possible. Therefore, we compared the range of data across observations, ensembles, as well as individual climate models, considering the two emission pathways for 2010–2023 (Supplementary Fig. 1, SF1).
The 14-year range of observed data and ensembles in all catchments were similar and the distribution patterns have been captured by the ensembles. However, the ensembles did not capture extreme values (outliers) in observed data. This could imply that the number of triggering events may even be higher than what has been modelled here.
The annual number of P-loss events varied substantially between the study catchments and the modelled periods (Table 4). These amounted to 10– 42 (RCP4.5) and 12– 43 (RCP8.5) events in the near-future scenario, 15– 46 (RCP4.5) and 11– 49 (RCP8.5) events in the mid-future scenario and 11– 49 (RCP4.5) and 20– 55 (RCP8.5) events in the far-future scenario. The increase in the annual number of P-loss events, between near-future and far-future, also varied between the catchments and ranged between 10% and 66% under RCP4.5 and 20% to 67% under RCP8.5. While the highest increases were mostly in RCP8.5, the Dunleer catchment had its largest increase under RCP4.5. The arable and groundwater-fed Castledockerell catchment had the lowest increase of far-future P loss events (10%) under RCP4.5 and the highest (67%) under RCP8.5. Cregduff showed the highest percentage increase in the number of average annual P-loss events based on the sum of all criteria. Castledockerell and Corduff showed no increases in the mid-future RCP4.5 scenario, while Timoleague and Ballycanew exhibited the lowest increases (2.4% and 4%, respectively).
Timoleage and Corduff exhibited the lowest increases under RCP4.5 during the mid-future scenario. Timoleague, which exhibited the highest number of near-future P-loss events among all the catchments under both RCP4.5 and RCP8.5 was assumed to be the most hydrologic-sensitive, but was, nonetheless, one of the catchments with the lowest percentage increase of mid- and far-future annual events under both emissions scenarios. However, Corduff, which has the lowest base-flow index among all the study catchments (Table 5, see “Methods”) and just over half of near-future P-loss events compared to Timoleague, was predicted to have a greater percentage increase under RCP8.5 in both the mid- and far-future climates. This observation is critical as it underscored the high weather-sensitivity of this catchment, especially considering the recent increasing trend in nutrient losses in Corduff. Ballycanew, which had one of the highest annual number of events in 2010–2023 (Table 2) and a high flashiness index (Table 5), was predicted to experience a middle range percentage increase compared to the other study catchments.
Discussion
Phosphorus concentration dynamics, related to changes in the climate patterns (historical extreme hydrological events and projected precipitation), were identified for several of the catchments, indicating a significant increase in the number of P-loss events. However, there were considerable differences between the projected responses among the individual catchments. The three identified climatic criteria (see “Method”, Empirical modelling to identifying triggering events) that would contribute to a concentration-increase event across all catchments captured up to 80% of the events, despite the different characteristics of the study catchments. Our results showed that the number of events would increase significantly towards the end of the century (far-future) and a stepwise increase in precipitation is expected under RCP8.5. The use of EM is particularly useful in studying complex environments41 where the interaction between variables is nonlinear, dynamic, and state-dependant42 such as the ACP catchments with their diverse hydrological characteristics (see “Method”). In view of the availability of high temporal resolution data in the ongoing monitoring, the validation and recalibration processes in the EM provided accurate and relevant analysis based on real observations.
The results clearly reflected the differences between the physical/chemical settings and land uses of the study catchments and indicated the “sensitivity to the changing precipitation patterns”. The sensitivity of the response variables to P losses depended on the catchment-specific characteristics (see “Method”, Table 5), such as dominating soil and bedrock permeability and hydrological characteristics. The base-flow index and flashiness of catchments were critical factors in dictating the response of catchments to extreme events. With the exception of Cregduff, which is a karst-spring contribution zone with soil chemistry that retains P40 and the highest BFI among all, Corduff (with lowest BFi) was identified as a highly weather-sensitive catchment in which P-loss events were triggered by extreme hydrological events, despite it having the lowest number of P-events during 2010–2023 (Table 2). The spread of projected precipitation was highest in Timoleague across all three climate projections (near-, mid-, and far-future) and for both emission pathways. However, there were only five months in total where a trend would be expected. In contrast, the spread of the projected precipitation in Castledockerell was the lowest across all time periods compared to the other catchments (Fig. 1), and a significant monthly increasing trend was predicted for eight months using the two RCPs (Fig. 2).
The monthly trend analysis of projected precipitation revealed seasonality, with increasing trends during winter and spring, and decreasing trends throughout summer, for most of the study catchments, although with varying levels of significance. The trends were more significant for RCP8.5. All catchments would experience a trend in daily mean projected precipitation during certain months in RCP 8.5; i.e. May, June, and July. However, a significant decreasing trend is projected in all catchments during summer (June and July) regardless of the emission pathway. The highest number of P-loss events are expected in Timoleague across all criteria within all time periods; however, this is not the same as highest percentage increases which belonged to Dunleer in the mid- and far-future RCP4.5 scenarios and to Castledockerell in the far-future RCP8.5 scenario. The values of projected average discharge per extreme events was relatively close for Dunleer, Timoleague, Corduff, and Ballycanew. The lowest average discharge per event was 0.7 mm in Castledockrell and the highest was 8.5 mm in Ballycanew, both occurring in the far-future scenario. Considering the geographic proximity of these two catchments, this observation highlights the importance of catchment characteristics, including the geographical location, in defining the impact of extreme weather events on catchments’ behaviour. This can also indicate localized-level impact of an extreme event that may affect a large area with different intensity. The second highest discharge per event values occurred in Corduff while all catchments would experience more intense events during last three decades of the century.
Ezzati et al.21 conducted a thorough analysis of the impacts of the changing weather patterns (and climatic factors) on regulating nutrient losses in the ACP catchments. While the nutrient losses are controlled by nutrient source, soil chemistry, soil temperature, and drainage status, there are three weather drivers contributing to nutrient losses: temperature, precipitation, and PET. Management practices also have an interplaying role with the potential to drive or control nutrient losses. Mellander et al.31 looked at the impact of the same on P-transfer and concluded that while mobilisation processes are expected to be relatively stable, delivery processes are expected to increase; more so in hydrological flashy catchments (Ballycanew, Dunleer, Corduff), with the largest increase in groundwater-fed catchments under RCP8.5 (Timoleague, Cregduff, Castledockrell, ).
In view of the results from this paper, efficient mitigation strategies need to be tailored to the projected future responses. For example, the contrasting responses projected for Ballycanew and Castledockerell, both in terms of nutrient losses, and in sensitivity to climate change, underscores the need to be catchment-specific since they are geographically close. The larger difference between TP losses and TRP losses in Castledockerell can be explained by the fact that this catchment loses more particulate phosphorus (PP) due to large proportions of bare soils in winter. A key challenge is to understand to what extent mitigation strategies can buffer different catchments against the projected increased occurrence of P-loss events under future climates, and to what extent, adaptation and more structural change will need be required of farms to improve resilience. Whilst the work described in this paper illustrates a generic approach for application beyond the case study catchments, it is important to acknowledge that although climate models may not work well (and tend to underestimate precipitation) in small catchments due to poorer calibration and validation24,43 those areas are most likely to experience the most extreme impacts of climate change44.
Conclusions
Understanding the impact of the changing weather patterns (i.e. precipitation and temperature trends) on water quality is critical for informing robust decision-making as a lack of resilience in catchments to future climates will affect economic/social welfare as well as ecosystems and biodiversity. The current study used 14 years of sub-hourly water quality and weather data from six catchments and employed empirical modelling to identify three climatic criteria that contribute to P-concentration increasing events. The data analysis was indicative of the occurrence of up to 1067 and 1106 TRP and TP-losses events, respectively, from 2010 to 2023, based on sum of the criteria. The results indicated up to 8.5 mm of discharge per event which would have considerable impact on nutrient fluxes leaving the catchment. Further on, the possibility of occurrence of such events based on projected climate change scenarios for two emission pathways, RCP4.5 and RCP 8.5, in three different time periods during 2010–2100 was investigated.
The results suggest an increase in extreme hydrological events as we move towards the end of the century which would, in turn, contribute to serious (further) deterioration of water quality in the absence of any resilient mitigation/adaptation strategies. Considering far-future scenario (i.e. 2070–2099), there would be 10–66% increase in the number of P-loss events (in Castledockerell and Dunleer respectively) under RCP4.5, and 28–67% under RCP8.5 (in Timoleague and Castledockerell respectably). In Ballycanew (which would experience the most intense discharge per event), the projected average discharge for a single extreme event would be up to 1.6% of average annual discharge during the monitoring period (14 ears), indicating the massive scale of extreme hydrological event on a poorly drained grassland catchment. This is in view of the potential underestimation of projected precipitation between the modelled data and observed daily precipitation during 2010–2023. The Kendall-trend analysis revealed that the more frequently occurring extreme events with significant monthly increasing and decreasing trends are mostly during winter and summer, respectively. However, the impact on P-transfer indices (mobilisation or delivery31 would be highly site-specific depending on catchment characteristics (i.e. hydrogeology, climate, farming practices, etc.) since we have observed major differences between catchment sensitivity to climatic conditions21.
Generation of this new critical knowledge can provide much needed insights into future nutrient dynamics and enable provision of climate smart strategies that are catchment-specific, resilient to the changing weather patterns, and easily transferable across different geographical regions. Such analysis could also be extended to other areas where similar high quality monitoring data exist. In addition, knowledge gained on sensitivity of different catchment typologies to extreme hydrological events can be extrapolated to areas with less or no high temporal resolution monitoring data.
Methods
Catchment descriptions
Six catchments (ranging in size from 3 to 31 km2) from the Irish Agricultural Catchments Programme (ACP) were assessed16,45. These include five river catchments and one karst spring. All catchments are intensively managed as either grassland or arable land (Fig. 4). Catchment characteristics are summarised in Table 5 and are further detailed next.
Locations of the study catchments. The graphs represent annual average total flow, precipitation, and average air temperature during 2010–2023.
Ballycanew (12 km2, Co. Wexford) is the mostly poorly drained catchment located in the southeast. The dominant hydrological pathway in this catchment is surface/near surface and flashy44. 77% of the catchment is dominated by grassland, with dairy cows the dominant livestock. Grazing intensity is highest in May while December and January are assumed to be closed periods (i.e., no grazing, no spreading of fertilisers). Slurry tanks therefore fill up in this period, with spreading at the end of March. There has been a 30% increase in stocking rates during 2010–2018.
Castledockerell (11.2 km2, Co. Wexford), also located in southeast Ireland, is well-drained with 72% of the catchment arable (2/3 of the total area is under tillage) with the dominant hydrological pathways below-ground40. Corduff (3.3 km2, Co. Monaghan) is a poorly drained catchment located in northeast Ireland. This catchment has no tillage and is dominated by grassland for sheep and suckler cows with only one farm operating as intensive dairy. Chemical fertiliser applications rates are very low. The hydrology is mostly flashy with surface/near surface pathways dominating. Cregduff (31 km2, Co. Mayo) is a karst spring catchment in west Ireland. Similar to Corduff, the soil is well drained and relatively thin with sheep as the primary livestock. The principal hydrological pathways are below-ground40. Dunleer (9.5 km2, Co. Louth) is located in northeast Ireland with the area under tillage exceeding that in any other catchment within the ACP. The farming practice is very mixed with about 40% grassland, 20% dairy and 20% beef and sheep. This catchment is moderately drained with flashy hydrology dominated by surface/near surface pathways47. The available P from the soil has been notably increasing during the recent years. Timoleague (7.6 km2, Co. Cork) is in southwest Ireland. This catchment is well-drained, dominated by grassland, and has below-ground hydrological pathways46. There has been an increase in livestock intensity and the P-index (soil fertility) is also increasing more than expected. Timoleague also has the highest discharge among all the study catchments.
Observed data collection
All catchments have been continuously monitored since 2010. Rainfall, air temperature, soil temperature, relative air humidity, solar radiation, wind speed and wind direction are measured every 10 min by a weather station (BWS200, Campbell Scientific, www.acpmet.ie) in each catchment. The effective rainfall (ER) was calculated by subtracting potential evapotranspiration (PET) from measured rainfall (derived from the Penman-Monteith equation48). A stage-discharge curve on a Corbett flat-v non-standard weir has been developed at the catchment outlets, using the velocity-area method with an OTT Acoustic Doppler Current meter (in KISTERS WISKI-SKED software-Version 7). The water level is recorded every 10 min by an OTT Orpheus Mini vented pressure instrument installed in a stilling well adjacent to the weir and conversion of the water level gives river discharge. An ultrasonic sensor (Thermo-Fisher time-of-flight area velocity) placed in an engineered uniform cross-section is used in Cregduff to calculate the discharge. Bankside P analysers (Hach-Lange Sigmatax-Phosphax)47 are positioned at the catchments outlets for measuring total digested P (TP) and total reactive phosphorus (TRP) concentrations three times every hour on unfiltered samples. The measurement range and detection limit are 0.010 mg l− 1 to 5.000 mg l− 1, and 0.010 mg l− 1, respectively.
Climate projections
Nolan and Flanagan49 applied the regional climate model COSMO-CLIM Version 5 to downscale five CMIP5 Global Climate Models (HadGEM2, EC-Earth, CNRM-CM5, MIROC5, MPI-ESM-LR) to develop a high resolution (4 km horizontal resolution) ensemble of climate scenarios for Ireland. The ability of the models to simulate the magnitude and spatial variability of observed precipitation and temperature across Ireland has already been evaluated and confirmed49,50. Nolan and Flanagan49 used the Penman–Monteith FAO-56 method to compute daily potential evapotranspiration (PET in mm) for historical and future simulations (see51 for full methods and evaluation). Ensemble simulations for two Representative Concentration Pathways (RCPs) are employed to examine sensitivity of results to different future greenhouse gas emissions pathways. RCP4.5 is an intermediate pathway in which the global emissions peak around 2040 then decline, while RCP8.5 is a fossil fuel intensive future. Here, gridded simulations of daily precipitation, temperature and PET were extracted and averaged for each catchment. Following Morrisey et al.52 and Murphy et al.44 we do not further bias correct the ensemble before application as daily gridded (1 km × 1 km) catchment averaged for the reference period 1976–2005 were already used as a reference series for bias correcting raw climate model output. Ensemble climate change projections for time-slices representing the near-future (2010–2039), mid-future (2040–2069) and far-future (2070–2099) for both RCP4.5 and RCP8.5 emission pathways are evaluated.
Data analysis
Trend analysis to evaluate precipitation-dynamics
The monthly trend of the projected precipitation and the seasonality that may be hidden in inter-annual trends were calculated by studying the overall temporal trends of average daily values across an average of different models using the non-parametric rank-based Mann-Kendall test53. Mann-Kendall is a non-parametric test which accounts for non-normality in climatological data54 and is applicable to datasets under realistic stochastic processes such as seasonality, hence it is more robust than parametric alternatives55. Here, the mean values of variables in each particular month is provided to enable comparison of any increasing or decreasing trends until end of the century. The null hypothesis assumes there is no monotonic trend in the monthly time series, so the data consist of n independent and identically distributed random variables (x1, …, xn) which represent observations collected at times 1, 2,…, n. P < 0.05 was considered as a significant trend in conjunction with the slopes of the time series (Sen, 1968). The Mann-Kendall test is calculated as follows:
where sgn (xj-xk) is an indicator function that takes a value of 1 if xj-xk > 0, a value of 0 if xj-xk = 0, and a value of -1 if xj-xk <0 while the observation at time j, denoted by xj, is greater than the observation at time k.
It is important to note that the results of trend analysis should be approached with caution due to high autoregressive correlation in hydro-meteorological data, especially in short term data (< 30 measurements)56. Such issue can be resolved by applying adjusted seasonality (periodicity) after prewhitening the monthly time series to make the data both homogeneous and free of autoregressive correlation56. The current study though observed inter-seasonal variability in the long-term continuously collected data in the monitored catchments (2010–2023), and 30-year periods in climate projection modelling were used as reference period.
Empirical modelling to identifying triggering events
To benefit from the long-term and high temporal resolution monitoring data, empirical dynamic modelling approach was applied to better understand (quantify and monitor) the causal relationships among variables (nutrient concentrations and weather data), and to obtain precise and meaningful estimates of the probability of events under future climates. EM takes an observation-oriented (data-driven) approach which is continuously open for the modeller to be re-programmed (experience-based) according to the perceived dependency of variables53. Therefore, it is a practical framework for examining examine complex non-linear nonstationary systems from time series observations57,58. The R-Programming Language was used for this purpose.
In the initial step, climatic conditions (the characteristics of precipitation as the major climatic factor explaining the magnitude of P-loss (see18 were identified that have acted as triggering events causing flushes of P losses across all catchments (i.e. the amount of precipitation). Based on observed P concentration ranges monitored in the six study catchments, and the monitoring detection limits, an increase of 0.005 mg L− 1 in TRP and 0.01 mg L− 1 in TP over one day, was used as an indication of a concentration-increase event. Here, effective rainfall (Precipitation-potential evapotranspiration) was used as an index for a concentration-increase event as it elaborates the inflow getting into the stream water. The precipitation and effective rainfall were then inferred around the time of concentration-increase events to provide insightful information about triggering climatic criteria. The final criteria to be further projected in future scenarios were selected based on improving EM’ performance in optimizing model validation using historical data (monitoring data 2010–2023).
The derivation of the criteria was consistent with other climatology studies in Ireland. Dunn et al.59 provided gridded land-based precipitation extremes indices based on 1, 5, 10, and 20 mm day− 1 precipitation (wet days, very wet days, heavy precipitation, very heavy precipitation, respectively) and the 95th and 99th percentiles of daily precipitation and showed increased intensity of heavy precipitation events during the previous century. Similar indices for daily precipitation were used by Ryan et al.60 to understand the spatial and temporal trends in the frequency and intensity of precipitation in Ireland in an historical context (from 1910) which consequently results in an increased contribution to annual total precipitation. Effective rainfall was then derived from the data as it enhances better predictive performance (coefficient of determination) with regard to P losses than using total rainfall only8,61,62. In the second step, using the same criteria causing P triggering events, the possibility of having similar events in the three different time periods and under the different emission pathways (RCP 4.5 and RCP 8.5) (see ”Methods”, Climate projections) was calculated using EM.
Finally, the average discharge per each event was calculated based on different criteria across the three time periods and two emission pathways. The projected values were normalised to each catchment size.
Data availability
The datasets generated and/or analysed during the current study are not publicly available due confidentiality and sensitivity issues but are available from the corresponding author on reasonable request.
References
Maúre, E. R., Terauchi, G., Ishizaka, J., Clinton, N. & deWitt, M. Globally consistent assessment of coastal eutrophication. Nat. Commun. 12, 6142 (2021).
DHPLG. Water Quality and Water Services Infrastructure-Climate Change Sectoral Adaptation Plan for the Sectors. Department of Housing, Planning and Local Government. https://www.gov.ie/pdf/?file=https://assets.gov.ie/204931/3bd18d19-432a-4435-bdbd-abe6fee4c407.pdf#page=null (2021).
Caretta, M. A. et al. Water. In: Climate Change 2022: Impacts, adaptation, and vulnerability. In Contribution of Working Group II To the Sixth Assessment Report of the Intergovernmental Panel on Climate Change (eds Pörtner, O., et al.) (pp. 551–712) https://doi.org/10.1017/9781009325844.006 (Cambridge University Press, 2022).
Contribution of Working Group II to the Sixth Assessment Report of the Intergovernmental Panel on Climate Change. In Impacts, Adaptation, and Vulnerability 3056 (eds Pörtner, D. C., et al.) (Cambridge University Press, 2022).
USGCRP. Climate Science Special Report: Fourth National Climate Assessment. Vol. I. (eds Wuebbles D. J., et al.) 470. (2017).
IPCC. Technical summary. In Climate Change 2021 – The Physical Science Basis Working Group I Contribution To the Sixth Assessment Report of the Intergovernmental Panel on Climate Change. 35–144 (Cambridge University Press, 2023).
Li, L. et al. River water quality shaped by land–river connectivity in a changing climate. Nat. Clim. Change. 14, 225–237 (2024).
Mellander, P. E. & Jordan, P. Charting a perfect storm of water quality pressures. Sci. Total Environ. 787, 147576 (2021).
Gascuel-Odoux, C., Fovet, O., Faucheux, M., Salmon-Monviola, J. & Strohmenger, L. How to assess water quality change in temperate headwater catchments of Western Europe under climate change: examples and perspectives. Comptes Rendus Géoscience. 355, S1 (2023).
Coffey, R., Paul, M., Stamp, J., Hamilton, A. & Johnson, T. A review of water quality responses to air temperature and precipitation changes 2: Nutrients, algal blooms, sediment, pathogens. J. Am. Water Resource Association. 55, 4 (2018).
Haghnazari, F., Karandish, F., Darzi-Naftchali, A. & Simunek, J. Dynamic assessment of the impacts of global warming of nitrate losses from a subsurface-drained rainfed-canola field. Agric. Water Manage. 242, 106420 (2020).
USEPA (U.S. Environmental Protection Agency). Climate change indicators: Great lakes water levels and temperatures. U.S. environmental protection agency. https://www.epa.gov/climate-indicators/great-lakes (2016).
Paul, M. P., Stamp, J., Hamilton, A., Coffey, R. & Johnson, T. A review of potential climate change effects on U.S. Water Quality - Part I: sea level Rise, Flow, and temperature. J. Am. Water Resour. Assoc. 55, 4 (2019).
Seyedhashemi, H. et al. Regional, multi-decadal analysis on the Loire river basin reveals that stream temperature increases faster than air temperature. Hydrology and. Earth Syst. Sci. 26, 9, (2022).
van Vliet, M. T. H. et al. 2023. Global river water quality under climate change and hydroclimatic extremes. Nat. Rev. Earth Environ., 4, 687–702 .
Mellander, P. E., Galloway, J., Hawtree, D. & Jordan, P. Phosphorus mobilization and delivery estimated from long-term high frequency water quality and discharge data. Front. Water. 4, 917813 (2022).
Ockenden, M. C. et al. Major agricultural changes required to mitigate phosphorus losses under climate change. Nat. Communication. 8, 161 (2017).
Ramos, M. C., Lizaga, I., Gaspar, L. & Navas, A. The impacts of exceptional rainfall on phosphorus mobilisation in a mountain agroforestry catchments (NE, Spain) CATENA 216, B, 106407 (2022).
Forber, K. J., Withers, P. J. A., Ockenden, M. C. & Haygarth, P. M. The phosphorus transfer continuum: A framework for exploring effects of climate change. Agricultural Environ. Lett. 3 (1), 180036 (2018).
Haygarth, P. M., Condron, L. M., Heathwaite, A. L., Turner, B. L. & Harris, G. P. The phosphorus transfer continuum: linking source to impact with an interdisciplinary and multi-scaled approach. Sci. Total Environ. 344 (1–3), 5–14 (2005).
Ezzati, G. et al. Impacts of changing weather patterns on the dynamics of water pollutants in agricultural catchments: insights from 11-year high Temporal resolution data analysis. J. Hydrol. 644, 132122 (2024).
Upadhayay, H. R., Joynes, A. & Collins, A. L. C Dicarboxylic acid signatures indicate Temporal shifts in catchment sediment sources in response to extreme winter rainfall. Environ. Chem. Letter. 22, 499–504 (2024).
Department of Housing, Local Government and Heritage & Water Action, D. Plan. A river basin management plan for Ireland. Government of Ireland. https://www.gov.ie/pdf/?file=https://assets.gov.ie/303156/b0c6512b-2579-4296-9abe-ffdb1ddd6157.pdf#page=null (2024).
EPA. Ireland’s National Water Quality Monitoring. Programme 2022–2027. Environmental Protection Agency, Johnstown Castle, Wexford, Ireland. https://www.epa.ie/publications/monitoring-assessment/freshwater-marine/EPA_WFD_MonitoringProgramme_2022_2027.pdf (2023).
The Water Forum. Climate change impacts on Ireland’s water resources. The Water Forum (An Foram Uisce). https://thewaterforum.ie/app/uploads/2023/09/Policy-Brief-Climate-Change-Impacts-Summary.pdf (2023).
EPA. Ireland’s State of the Environment Report. Environmental Protection Agency, Johnstown Castle, Wexford, Ireland. https://www.epa.ie/publications/monitoring--assessment/assessment/state-of-the-environment/EPA-SOE-Report-2024-BOOK-LOWRES-FINALfor-WEB.pdf (2024).
Meresa, H., Donegan, S., Golian, S. & Murphy, C. Simulated changes in seasonal and low flows with climate change for Irish catchments. Water 14, 10 (2022).
Meresa, H., Murphy, C. & Donegan, S. E. Propagation and characteristics of hydrometeorological drought under changing climate in Irish catchments. J. Geophys. Research: Atmos. 128, e2022JD038025 (2023).
Daly, D. Framework of best practice measures and guidelines for the protection and restoration of high status river water bodies. Waters of LIFE. https://www.watersoflife.ie/app/uploads/2023/08/Measures_Framework.pdf (2023).
Ezzati, G., Kyllmar, K. & Barron, J. Long-term water quality monitoring in agricultural catchments in sweden: impact of Climatic drivers on diffuse nutrient loads. Sci. Total Environ. 8864, 160978 (2023).
Mellander, P. E. et al. Managing ‘critical mobilisation areas’ will counter diffuse phosphorus transfers in far-future climate scenarios. Discover Geosci. 2, 60 (2024).
EPA. National risk assessment of impacts of climate change: Bridging the gap to adaption action (2016-CCRP-MS.39). Environmental Protection Agency, Johnstown Castle, Wexford, Ireland. https://www.epa.ie/publications/research/climate-change/Research_Report_346.pdf (2020).
EPA. National Climate change risk assessment. Environmental Protection Agency, Johnstown Castle, Wexford, Ireland. https://www.climateireland.ie/media/epa-2020/monitoring-amp-assessment/climate-change/climate-ireland/EPA_NCCRA_Published_June_2024.pdf (2024).
Lintern, A. et al. The influence of climate on water chemistry States and dynamics in rivers across Australia. Hydrol. Process. 35, 12, e14423 (2021).
Michalak, A. M. Study role of climate change in extreme threats to water quality. Nature 535, 349–350 (2016).
Lungarska, A. & Chakir, R. Climate-induced land use change in france: impacts of agricultural adaptation and climate change mitigation. Ecol. Econ. 147, 134–154 (2018).
El-Khoury, A. et al. Combined impacts of future climate and land use changes on discharge, nitrogen and phosphorus loads for a Canadian river basin. J. Environ. Manage. 151, 76–86 (2015).
EEA. ‘Ecological status of surface waters in Europe’. https://www.eea.europa.eu/ims/ecological-status-of-surface-waters (2021).
EPA & HydroPredict Ensemble River Flow Scenarios for Climate Change Adaptation (2018-CCRP-Ms.51). Environmental Protection Agency. https://www.epa.ie/publications/research/climate-change/Research_Report-453.pdf (2024).
Mellander, P. E. et al. Quantification of phosphorus transport from a karstic agricultural watershed to emerging spring. Environ. Sci. Technol. 47, 6111–6119 (2013).
Clarke, K. A. & Primo, D. M. Empirical Models’, A Model Discipline: Political Science and the Logic of Representations (Oxford University Press, 2012).
Park, J., Pao, G. M., Sugihara, G., Stabenaum, E. & Lorimer, T. Empirical mode modelling: A data-driven approach to recover and forecast nonlinear dynamics from noisy data. Nonlinear Dyn. 108, 2147–2160 (2022).
Hundecha, Y. et al. Effect of model calibration strategy on climate projections of hydrological indicators at a continental scale. Clim. Change. 163, 1287–1306 (2020).
Murphy, C. et al. P.E.Climate change impacts on Irish river flows: high resolution scenarios and comparison with CORDEX and CMIP6 ensembles. Water Resour. Manage. 37, 1841–1858 (2023).
Mellander, P-E., Galloway, J., Hawtree, D. & Jordan, P. Phosphorus mobilization and delivery estimated from long-term high frequency water quality and discharge data. Front. Water 4, 917813 (2022).
Mellander, P. E., Jordan, P., Shore, M., Melland, A. R. & Shortle, G. Flow paths and phosphorus transfer pathways in two agricultural streams with contrasting flow controls. Hydrol. Process. 29, 3504–3518 (2015).
Mellander, P. E. et al. Quantifying nutrient transfer pathways in agricultural catchments using high Temporal resolution data. Environ. Sci. &Policy. 24, 44–57 (2012).
Monteith, J. L. Evaporation and environment: the state and movement of water in living organisms. In 19th Symposium of the Society of Experimental Biology. The Company of Biologists (eds Fogg, G.E.) pp. 205–234 (1965).
Nolan, P. & Flanagan, J. High-resolution climate projections for Ireland–A multi-model ensemble approach. EPA Research Report 329. https://www.epa.ie/publications/research/climate-change/Research_Report_339_Part1.pdf (2020).
Nolan, P., O’Sullivan, J. & McGrath, R. Impacts of climate change on Mid-Twenty-First-Century rainfall in ireland: A High-Resolution regional climate model ensemble approach: impacts of climate change on Mid-21st-Century rainfall in Ireland. Int. J. Climatol. 37, 4347–4363 (2017).
Werner, C., Nolan, P., Naughton, O. & High- resolution Gridded Datasets of Hydro-climate Indices for Ireland, EPA Research Report 267. https://www.epa.ie/publications/research/water/research-267-high-resolution-gridded-datasets-of-hydro-climate-indices-for-ireland.php (2019).
Morrissey, P. et al. Impacts of climate change on groundwater flooding and ecohydrology in lowland karst. Hydrol. Earth Syst. Sci. 25, 1923–1941 (2021).
Kendall, M. G. Rank correlation methods. Griffin (1948).
Partal, T. & Kahya, E. Trend analysis in Turish precipitation data. Hydrol. Process. 20, 2011–2026 (2006).
Hirsch, R. M., Slack, J. R. & Smith, R. A. Techniques of trend analysis for monthly water quality data. Water Resour. Res. 18 (1), 107–121 (1982).
Güçlü, Y. S., Acar, R. & Saplıoğlu, K. Seasonally adjusted periodic time series for Mann-Kendall trend test. Phys. Chem. Earth Parts A/B/C. 138, 103848 (2025).
Yih-Chang, C. Empirical modelling for participative business process reengineering: The University of Warwick. https://warwick.ac.uk/fac/sci/dcs/research/em/publications/phd/ychen/files/chap-4.pdf (2001).
Sugihara, G., Deyle, E. & Empirical Dynamics A new paradigm for understanding and managing species and ecosystems in a non-stationary nonlinear world. https://sepub-prod-0001-124733793621-us-gov-west-1.s3.us-gov-west-1.amazonaws.com/s3fs-public/2024-02/RC-2509%20Final%20Report.pdf?VersionId=t0EtKUAzPR5rv8B7kYC9VdXpAlFylFeG (University of California, 2022).
Dunn, R. J. H. et al. Development of an updated global land in situ-based data set of temperature and precipitation extremes: HadEX3. J. Geophys. Res. Atmosph. 125 (2020).
Ryan, C., Curley, M., Walsh, S. & Murphy, C. Long-term trends in extreme precipitation indices in Ireland. Int. J. Climatol., 42 (2021).
Valle, A., Bertrand, C. & Mudry, J. Effective rainfall: a significant parameter to improve Understanding of deep-seated rainfall triggering landslide- a simple computation temperature based method applied to sechiliencce unstable slope, hydrol. Earth Syst. Sci. Discussion. 10, 8945–8991 (2013).
Muratoglu, A., Bilgen, G. K., Angin, I. & Kodal, S. Performance analyses of effective rainfall Estimation methods for accurate quantification of agricultural water footprint. Water Res. 238, 120011 (2023).
Acknowledgements
This study was made within Water Futures Project (2020-W-CD-3) funded by Environmental Protection Agency (EPA) Ireland. The data from the Irish agricultural catchments have been collected by Agricultural Catchments Programme (ACP) funded by the Department of Agriculture Food and the Marine (DAFM). Discharge in Cregduff was collected by the EPA. The contribution to this manuscript by ALC was also funded by the UKRI-BBSRC (UK Research and Innovation-Biotechnology and Biological Sciences Research Council institute strategic programme Resilient Farming Futures via grant award BB/X010961/1 – specifically work package 2- BBS/E/RH/230004B; Detecting agroecosystem ‘resilience’ using novel data science methods.
Author information
Authors and Affiliations
Contributions
G.E. contributed to conceptualisation, data curation, data analysis and modelling, investigation, methodology, interpretation of results, original draft, and writing (review and editing). .C.M. contributed to data interpretation, investigation, and writing (review and editing) .A.C. has contributed to project administration, data interpretation, writing (review and editing).P.M. contributed to conceptualisation, methodology, data interpretation, project administration, supervision, funding acquisition, writing (review and editing).
Corresponding author
Ethics declarations
Competing interests
The authors declare no competing interests.
Additional information
Publisher’s note
Springer Nature remains neutral with regard to jurisdictional claims in published maps and institutional affiliations.
Supplementary Information
Below is the link to the electronic supplementary material.
Rights and permissions
Open Access This article is licensed under a Creative Commons Attribution-NonCommercial-NoDerivatives 4.0 International License, which permits any non-commercial use, sharing, distribution and reproduction in any medium or format, as long as you give appropriate credit to the original author(s) and the source, provide a link to the Creative Commons licence, and indicate if you modified the licensed material. You do not have permission under this licence to share adapted material derived from this article or parts of it. The images or other third party material in this article are included in the article’s Creative Commons licence, unless indicated otherwise in a credit line to the material. If material is not included in the article’s Creative Commons licence and your intended use is not permitted by statutory regulation or exceeds the permitted use, you will need to obtain permission directly from the copyright holder. To view a copy of this licence, visit http://creativecommons.org/licenses/by-nc-nd/4.0/.
About this article
Cite this article
Ezzati, G., Murphy, C., Collins, A.L. et al. The number of phosphorus loss events will increase with variability and seasonality in far future climate scenarios. Sci Rep 15, 37609 (2025). https://doi.org/10.1038/s41598-025-21577-3
Received:
Accepted:
Published:
Version of record:
DOI: https://doi.org/10.1038/s41598-025-21577-3






