Abstract
This study investigated the microstructures, martensitic transformation behaviors, and internal friction characteristics of Cu-14Al-4Fe-xMn and Cu-14Al-4Fe-xCo shape memory alloys (SMAs). The addition of Mn to Cu-14Al-4Fe SMAs decreased the martensitic transformation temperature of the alloys to below room temperature. The damping capacity of the internal friction peak gradually increased with the Mn addition to the Cu-14Al-4Fe-xMn SMAs because the Mn addition enhanced the atomic lattice mismatch of the crystal structure, lowering the energy barriers of the formation and movement of twin boundaries. In contrast, the addition of Co increased the martensite transformation temperature to a value higher than that of the unalloyed Cu-14Al-4Fe SMAs. However, the damping capacity of the Cu-14Al-4Fe-xCo SMAs decreased significantly with increasing Co content because of grain refinement and precipitate formation.
Introduction
We use the words “intelligent” and “smart” to describe functional materials with unique features, such as the ability to take on preferred shapes at different temperatures1. Shape memory alloys (SMAs) are a class of intelligent materials that return to their original shape after exposure to temperature or stress cycling2,3. SMAs manifest as two distinct phases: the martensitic phase, which occurs at relatively low temperatures, and austenitic phase, which occurs at higher temperatures. Two distinct properties, namely, the shape memory effect and superelasticity, result from these changes between the martensite and austenite phases that occur as a consequence of temperature or stress changes4. Four distinct phase transition temperatures have been identified: Ms, Mf, As, and Af. The Ms temperature is the point at which the austenite begins to convert into martensite, whereas the Mf temperature is the point at which the martensitic transformation process is complete. The temperature at which austenite first develops is designated as As, whereas the temperature at which all the martensite changes into austenite is designated as Af5.
SMAs exhibit various properties that make them suitable for various applications. These properties include good biocompatibility, a fast actuation response, a high wear resistance, superior fatigue properties, and corrosion resistance6,7,8,9,10. The phase transition system in SMAs is characterized by shape memory transformation. This transition, which can be triggered by temperature or stress, is driven by the difference in the Gibbs free energy between the phases11. The shape memory behavior of materials is influenced by factors such as the temperature and stress12. The capacity for strain recovery based on temperature stimuli and other elasticity variations in SMAs has rendered them more versatile than most synthetic materials for a multitude of applications. SMAs based on Cu, Ni-Ti, and Fe have been employed in a multitude of applications, including biomedical, industrial, construction, aerospace, and automotive fields, as well as in thermal actuators and household appliances13,14,15,16,17,18.
The need for high-temperature shape memory alloys (HTSMAs) capable of functioning at temperatures greater than 200 °C has recently increased as a result of the requirements of engineering applications in several fields, including automotive, robotics, power generation, and aerospace18,19,20,21. SMAs can be referred to as HTSMAs if their austenitic starting temperature remains above 390 K under stress-free conditions after any thermomechanical treatment22. Numerous studies have been conducted on increasing the transformation temperature and improving the specific thermal and mechanical properties of SMAs23. Several alloy systems have been investigated and developed for use in HTSMAs. These include, but are not limited to, Ni-Ti-Pd, Ni-Ti-Zr/Hf, Ni-Ti-Pt, Ni-Al, and Ni-Mn SMAs. However, several practical issues remain unresolved for these alloy systems. For example, Ni-Al alloys are regarded as unstable24, Ni-Ti-Zr, Ni-Ti-Hf, and Ni-Mn alloys are deemed too brittle for practical production25,26, and the high cost of Pd impedes the potential applications of Ni-Ti-Pd alloys despite their demonstrated shape memory effect and high martensitic transformation temperature27. Consequently, there is increasing interest in the development of new and cost-effective HTSMAs19. Cu-based SMAs have recently garnered significant attention owing to their favorable characteristics, which include good ductility, ease of production and processing, low cost, and a shape memory effect comparable to that of NiTi-based SMAs28. Cu-based SMAs, including Cu-Zn, Cu-Al, and Cu-Sn alloys, demonstrate a favorable strain recovery, straightforward manufacturing processes, excellent thermal conductivity, and noteworthy electrical properties19.
From a practical standpoint, Cu-Al-based SMAs are more cost effective and have a more straightforward production process than other HTSMAs. Consequently, Cu-Al-based alloys as HTSMAs have garnered significant attention. Nevertheless, the polycrystalline brittleness and thermal stability resulting from the large grain size and segregation of \(\:\gamma\:1\:\)(Cu9Al4) represent the primary challenges to advancing Cu-Al-based HTSMAs29. The addition of a third or fourth additive at different rates can improve the shape-memory characteristics and mechanical properties of binary Cu-Al alloys. Several attempts have been made to add elements to these alloys. These results have demonstrated the potential of Cu-Al-Fe as an HTSMA. Ternary Cu-Al-Fe alloys are suitable for applications above 200 ℃, exhibiting relatively good shape memory effects19. The findings indicate that the precipitation of the \(\:\gamma\:1\:\)(Cu9Al4) phase can be effectively mitigated in Cu-Al-Fe alloys by precisely regulating the Fe and Al contents. Additionally, the shape-recovery properties can be enhanced29.
In response to the increasing need to reduce vibration and noise in many industrial sectors, materials exhibiting robust damping characteristics have recently gained popularity across engineering applications. SMAs are renowned for their exceptional damping capacities, along with a host of other attributes. The predominant rationale for this capacity is postulated to be energy dissipation by the motion of the parent/martensite habit planes and martensite-variant interfaces30. Its damping capability describes the ability of a material to absorb vibrational energy. The irreversible conversion of mechanical energy into thermal energy is the underlying cause of mechanical damping31,32. This phenomenon can be attributed to the increased internal friction that occurs during martensitic transitions caused by the mobility of the interfaces. The high density of movable plates during the martensitic transition enables efficient energy dissipation in SMAs, which is an essential advantage of these materials. Mobile interfaces encompass the interconnection between the martensite and austenite phases, the interface between twin boundaries within martensite, and the interface between martensite variants33.
The production of stress-induced martensite results in an increase in the damping capabilities of an SMA, which reaches a maximum because of the high density of martensite variants observed in the martensite phase. A change in the magnitude of the internal friction (IF) or tan δ is employed to quantify the damping capabilities of a material. The IF spectra of SMAs are typically divided into three parts: IF = IFTr + IFPT + IFI. The transient IF, denoted by IFTr, represents the kinetic term in the IF spectrum that manifests exclusively at low frequencies and becomes null at a constant temperature. The term IFPT denotes the inherent IF associated with phase transformation during isothermal measurements. The intrinsic IF (IFI) of the austenitic or martensitic phase depends on the microstructural properties of that phase, including the presence of dislocations, vacancies, and twin boundaries. In the majority of SMAs, the IF peak observed during martensitic transformation is attributed primarily to IFTr. However, the damping capacities associated with the IFPT and IFI values are more significant than those associated with IFTr, given that high-damping materials are typically employed at a stable temperature rather than at a constant cooling rate34,35. Santosh et al.1 recently demonstrated that Cu-Al-Fe alloys may offer a viable alternative for damping applications at high temperatures.
In this investigation, Cu-Al-Fe specimens with various amounts of the addition of quaternary elements such as Mn and Co were selected for analyses. Phase and microstructural examinations were performed using optical microscopy (OM), scanning electron microscopy (SEM), and X-ray diffraction (XRD). The transformation temperatures and internal friction values of the alloys were determined using differential scanning calorimetry (DSC) and dynamic mechanical analysis (DMA), respectively.
Experimental
Polycrystalline samples of the Cu-14Al-4Fe SMA were prepared from high-purity Cu (purity, 99.9 wt%), Al (purity, 99.9 wt%), and Fe (purity, 99.9 wt%) using a conventional vacuum arc remelter. Mn (purity, 99.8 wt%) or Co (purity, 99.XX wt%) was added at 1–4 wt% as an alloying element to ternary Cu-14Al-4Fe to prepare Cu-14Al-4Fe-xMn (x = 0–4 wt%) and Cu-14Al-4Fe-xCo (x = 0–2 wt%) SMAs. The ingots were re-melted six times to obtain a homogenized series of Cu-14Al-4Fe-xMn and Cu-14Al-4Fe-xCo SMAs. The cast ingots were solution-treated at 950 °C under air atmosphere for 120 min, cooled to 850 °C at a cooling rate of 5 °C/min, heat-treated at 850 °C for 15 min, and quenched in ice-cold water. The solution-treated ingots were cut using a diamond saw to obtain 20.0 mm × 6.0 mm × 2.5 mm specimens for DMA, XRD analyses, and SEM observations.
The crystallographic characteristics of the Cu-14Al-4Fe-xMn and Cu-14Al-4Fe-xCo SMAs samples were analyzed based on the XRD (Rigaku Ultima IV) using Cu Kα radiation (λ = 0.154 nm) to identify the phases at room temperature (RT). The martensitic transformation temperatures and transformation enthalpy (ΔH) values of the samples were determined using differential scanning calorimetry (DSC, Q10, TA Instruments) under a constant heating and cooling rate of 10 °C/min. The microstructures of the samples, particularly the morphology of the martensite, were observed using SEM (Tescan 5136MM). The damping capacity (tan δ) of each prepared sample was investigated using a dynamic mechanical analyzer (Hitachi DMA7100) equipped with a single cantilever clamp and liquid nitrogen cooling apparatus. The tan δ values of the IF peaks of the Cu-14Al-4Fe-xMn and Cu-14Al-4Fe-xCo SMAs were determined at a cooling rate of 3 °C/min, frequency of 1 Hz, and strain amplitude of 1.0 × 10−4. To further characterize the (IFPT+IFI) properties of the Cu-13.5Al-4Ni-xCo and Cu-14.0Al-4Ni-xCo SMAs, each specimen was re-examined using DMA. This re-measurement was conducted at a controlled cooling rate of 1 °C/min, a frequency of 10 Hz, and a strain amplitude of 1.0 × 10−4. These specific parameters were chosen because the tan δ values of the resulting (IFPT+IFI) peak, obtained under these dynamic conditions, closely matched those determined from isothermal measurements36.
Results and discussion
Crystallographic characteristics of Cu-14Al-4Fe-xMn and Cu-14Al-4Fe-xCo SMAs
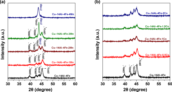
Figures 1(a) and 1(b) show the XRD patterns of the Cu-14Al-4Fe-xMn (x = 0–4 wt %) and Cu-14Al-4Fe-xCo (x = 0–2 wt%) SMAs, respectively. The positions of the possible Bragg reflections of each phase are also provided to study the crystal structures of each phase. As illustrated, the Cu-14Al-4Fe SMA exhibited diffraction peaks at approximately 2θ = 39.9°, 42.5°, 43.8, and 45.0°, which corresponded to the (200), (002), (210), and (201) diffraction planes of the \(\:{{\upgamma\:}}_{1}^{{\prime\:}}\) martensite phase with a 2 H hexagonal structure, respectively19,37. The diffraction patterns of the Cu-14Al-4Fe-1Mn SMA were similar to those of the Cu-14Al-4Fe SMA, indicating that the Cu-14Al-4Fe-1Mn SMA also possessed a single \(\:{{\upgamma\:}}_{1}^{{\prime\:}}\) martensitic structure at room temperature. In addition to the diffraction peaks of the \(\:{{\upgamma\:}}_{1}^{{\prime\:}}\) martensite phase, the Cu-14Al-4Fe-2Mn and Cu-14Al-4Fe-3Mn SMAs showed an additional diffraction peak at approximately 2θ = 43°, corresponding to the (110) diffraction plane of the β parent phase with a DO3 structure38. This indicated that \(\:{{\upgamma\:}}_{1}^{{\prime\:}}\) martensite and β parent phases coexisted in both the Cu-14Al-4Fe-2Mn and Cu-14Al-4Fe-3Mn SMAs at room temperature. Only the diffraction peak of the β parent phase was observed in the Cu-14Al-4Fe-4Mn SMA, suggesting that only the β parent phase presented in the Cu-14Al-4Fe-4Mn SMA at room temperature. Figure 1(b) shows that the diffraction patterns of the Cu-14Al-4Fe-xCo SMAs were very similar to those of the Cu-14Al-4Fe SMA, indicating that the Cu-14Al-4Fe-xCo SMAs all exhibited a single \(\:{{\upgamma\:}}_{1}^{{\prime\:}}\) martensitic structure at room temperature.
Martensitic transformation behaviors of Cu-14Al-4Fe-xMn and Cu-14Al-4Fe-xCo SMAs
Figures 2(a) and 2(b) show the DSC curves of the Cu-14Al-4Fe-xMn and Cu-14Al-4Fe-xCo SMAs, respectively, at a heating and cooling rate of 10 °C/min. Figure 2(a) shows that the Cu-14Al-4Fe-xMn SMAs all exhibited a single β → \(\:{{\upgamma\:}}_{1}^{{\prime\:}}\) martensitic transformation peak during cooling and a single \(\:{{\upgamma\:}}_{1}^{{\prime\:}}\)→β martensitic transformation peak during heating. However, the martensitic transformation peak temperatures of the Cu-14Al-4Fe-xMn SMAs shifted below room temperature with increasing Mn content in the alloys. In addition, the determined martensitic transformation enthalpies (ΔH) of the Cu-14Al-4Fe-xMn SMAs also decreased with an increase in the Mn content in the alloys, suggesting that a smaller quantity of martensite was produced in the alloys with a higher Mn addition during the martensitic transformation35,39. Figure 2(b) shows that the Cu-14Al-4Fe-xCo (x = 0–2 wt%) SMAs also exhibited a single β → \(\:{{\upgamma\:}}_{1}^{{\prime\:}}\)martensitic transformation peak during cooling and a single \(\:{{\upgamma\:}}_{1}^{{\prime\:}}\)→β martensitic transformation peak during heating. In contrast, the martensitic transformation peak temperatures of the Cu-14Al-4Fe-xCo SMAs gradually increased with the Co content. However, the ΔH values of the Cu-14Al-4Fe-xCo SMAs decreased with an increase in the Co content in the alloys. According to Fig. 2, adding Mn and Co to the Cu-14Al-4Fe SMA did not influence the one-step martensite transformation of the alloy, but caused opposite effects on the martensitic transformation temperature.
Microstructure of Cu-14Al-4Fe-xMn and Cu-14Al-4Fe-xCo SMAs
Figures 3(a)–3(e) show SEM images of the microstructures of the Cu-14Al-4Fe, Cu-14Al-4Fe-1Mn, Cu-14Al-4Fe-2Mn, Cu-14Al-4Fe-3Mn, and Cu-14Al-4Fe-4Mn SMAs, respectively. Figure 3(a) shows that lath martensite variants, grains, and grain boundaries appeared in the structure of Cu-14Al-4Fe SMA, indicating that the Cu-14Al-4Fe SMA exhibited the \(\:{{\upgamma\:}}_{1}^{{\prime\:}}\) martensite phase at room temperature. In addition, the grain size of the Cu-14Al-4Fe SMA was approximately 700 μm. Figures 3(b) and 3(c) show that the microstructures of the Cu-14Al-4Fe-1Mn and Cu-14Al-4Fe-2Mn SMAs were similar to that of the Cu-14Al-4Fe SMA, without even significant differences in the grain sizes of the alloys.
Notwithstanding the X-ray diffraction patterns and DSC results, which confirmed the occurrence of a small amount of austenite-to-martensite transformation, the SEM images of the microstructures did not confirm the presence of martensite in the Cu-14Al-4Fe-2Mn and Cu-14Al-4Fe-3Mn SMAs. This discrepancy can be explained by the role of surface energy in the austenite-to-martensite transformation. The microstructural SEM results were associated with the surface of the specimens, and the surface energy hindered the austenite-to-martensite transformation on the surface of the specimens; the martensite in the microstructures was not observed on the surface but was present in the interior of the specimen40. As seen in Fig. 3(e), the \(\:{{\upgamma\:}}_{1}^{{\prime\:}}\) martensite phase was no longer present in the microstructure of the Cu-14Al-4Fe-4Mn SMA, indicating that the alloy exhibited a single β parent phase at room temperature.
Figures 4(a)–4(d) show SEM images (100×) of the microstructures of the Cu-14Al-4Fe-0.5Co, Cu-14Al-4Fe-1Co, Cu-14Al-4Fe-1.5Co, and Cu-14Al-4Fe-2Co SMAs, respectively. Figure 4 reveals that the microstructures of the Cu-14Al-4Fe-xCo SMAs all exhibited a \(\:{{\upgamma\:}}_{1}^{{\prime\:}}\) martensite phase at room temperature. However, the grain size of the Cu-14Al-4Fe-xCo SMAs was reduced from approximately 700 μm to below 300 μm when the Co content was increased from 0 to 2 wt%. Figures 5(a)–5(d) show magnified SEM images (1000×) of the microstructures of the Cu-14Al-4Fe-0.5Co, Cu-14Al-4Fe-1Co, Cu-14Al-4Fe-1.5Co, and Cu-14Al-4Fe-2Co SMAs, respectively. The martensite structures of the Cu-14Al-4Fe-xCo SMAs are clearly observed in Fig. 5. However, as shown in Fig. 5(c), some Fe (Al, Cu)–Co precipitates appeared in the Cu-14Al-4Fe-1.5Co SMA, as indicated by the arrows41. The size and amount of the Fe (Al, Cu)–Co precipitates further increased when the Co content in the Cu-14Al-4Fe-xCo SMAs was increased to 2 wt%, as shown in Fig. 5(d). The formation of Fe (Al, Cu)–Co precipitates in the Cu-14Al-4Fe-xCo SMAs was also confirmed by the XRD results shown in Fig. 1(b).
Damping properties of Cu-14Al-4Fe-xMn and Cu-14Al-4Fe-xCo SMAs
Figures 6(a) and 6(b) show the DMA tan δ curves of the Cu-14Al-4Fe-xMn (x = 0–4 wt%) and Cu-14Al-4Fe-xCo (x = 0-–2 wt%) SMAs, respectively, measured at a cooling rate of 3 °C/min, frequency of 1 Hz, and strain amplitude of 1.0 × 10−4. As shown in Fig. 6, the Cu-14Al-4Fe-xMn and Cu-14Al-4Fe-xCo SMAs all exhibited a significant β → \(\:{{\upgamma\:}}_{1}^{{\prime\:}}\) IF peak corresponding to the martensitic transformation. As seen in Fig. 6(a), the addition of Mn to the Cu-14Al-4Fe alloy decreased the IF peak temperature of the alloy from approximately 120 °C to 0 °C as the Mn content increased from 0 to 3 wt%. However, the damping capacity of the IF peak gradually increased from approximately 0.035 to 0.065 with increasing Mn content. The IF peak of the Cu-14Al-4Fe-4Mn SMA is not presented in Fig. 6(a) because its peak temperature was below − 50 °C, and there are few practical engineering applications at this temperature. On the other hand, as shown in Fig. 6(b), the IF peak temperature of the Cu-14Al-4Fe-xCo SMAs increased from approximately 120 °C to almost 200 °C when the Co addition increased from 0 to 2 wt%. However, the tan δ value of the IF peak of the Cu-14Al-4Fe-xCo SMAs simultaneously decreased significantly from approximately 0.035 to below 0.02. The martensitic-transformation peak temperatures of the Cu-14Al-4Fe-xMn and Cu-14Al-4Fe-xCo SMAs, as determined by DMA, were slightly lower than those obtained from the DSC curves because of the essential differences in the specimen dimensions, testing modes, cell sizes, and cooling rates used in the DSC and DMA measurements42.
Figure 7 shows the inherent and intrinsic damping capacities (IFPT + IFI) of the Cu-14Al-4Fe-xMn (x = 0–4 wt%) and Cu-14Al-4Fe-xCo (x = 0–2 wt%) SMAs measured at a cooling rate of 1 °C/min, frequency of 10 Hz, and strain amplitude of 1.0 × 10−4 (isothermal conditions). As shown in Fig. 7, the damping capacities of the Cu-14Al-4Fe-xMn and Cu-14Al-4Fe-xCo SMAs measured under isothermal conditions were much lower than those of the IF peak measured at a cooling rate of 3 °C/min and frequency of 1 Hz (Fig. 6). This was because the IFTr component of the IF peak was present only under non-isothermal conditions. Nevertheless, the IFPT + IFI component was more important because practical high-damping applications of SMAs are typically conducted at a constant temperature rather than at a constant temperature rate34. As shown in Fig. 7, the tan δ values of the β → \(\:{{\upgamma\:}}_{1}^{{\prime\:}}\) IFPT + IFI peaks of the Cu-14Al-4Fe-1Mn, Cu-14Al-4Fe-2Mn, and Cu-14Al-4Fe-3Mn SMAs were determined to be 0.01246, 0.01592, and 0.02529, respectively. The IFPT + IFI peak of the Cu-14Al-4Fe SMA could not be shown in Fig. 7 because its tan δ value was below the detection limit of the DMA. Because all the IF peaks of the Cu-14Al-4Fe-xCo SMAs were lower than those of the Cu-14Al-4Fe SMA, the IFPT + IFI peaks of the Cu-14Al-4Fe-xCo SMAs could not be obtained, as shown in Fig. 7.
Figures 6 and 7 reveal that adding Mn and Co to the Cu-14Al-4Fe SMA has opposite effects on the damping properties of the alloys. Increasing the Mn content of the Cu-14Al-4Fe-xMn SMAs decreased the martensitic temperatures of the IF and IFPT + IFI peaks. This feature is commonly observed in Cu-based SMAs because Cu-based SMAs with higher Mn contents typically exhibit lower martensitic temperatures1. Although adding Mn to the Cu-14Al-4Fe SMA decreased the martensitic transformation of the alloy, the tan δ values of the IF and IFPT + IFI peaks simultaneously increased significantly. However, the cause of this phenomenon remains unclear. The increase in the damping capacity of the Cu-14Al-4Fe alloy with the addition of Mn could be attributed to other structural factors of the alloy, as the extent of austenite-to-martensite transformation decreased with increasing Mn content. We suggest that alloying with Mn atoms can provide nucleation sites for twin-boundary formation, leading to a higher density of twin boundaries in the martensite phase. In addition, adding Mn to the Cu-Al-Fe alloy caused changes in the atomic arrangement and interatomic interactions due to the difference in atomic radii of Mn (~ 1.40 Å) and Cu (~ 1.35 Å). The replacement of Cu atoms by Mn atoms in the Cu-14Al-4Fe-xMn SMAs modified the lattice dimensions of the crystal structure, which may have reduced the strain energy associated with twin-boundary formation and the energy barriers for the movement of twin boundaries, increasing the energy dissipation during damping. Similar results have also been reported in other Mn-Cu-based alloys43,44. However, further experimental studies are required to precisely quantify these effects.
In contrast, increasing the Co content of the Cu-14Al-4Fe-xCo SMAs caused the IF peak temperature to increase to approximately 200 °C. Similar results have been obtained for the martensitic transformation behavior of Cu-Al-Ni-xCo SMAs45. Nevertheless, the tan δ value of the IF decreased significantly from approximately 0.035 (Cu-14Al-4Fe SMA) to below 0.020 (Cu-14Al-4Fe-xCo (x = 1–2 wt %) SMAs). In addition, the IFPT + IFI peaks of the Cu-14Al-4Fe-xCo SMAs were not observed in the DMA results shown in Fig. 7. Because the high damping capacity of SMAs is typically attributed to the absorption of significant energy by the movement of the martensite variant interfaces and mobile twins in the martensite phase46,47,48, the addition of Co atoms to the Cu-14Al-4Fe SMA caused a decline in the damping capacity of the alloys for both the IFPT+IFI peak and IFI in the martensitic state, corresponding to a reduction in the martensitic phase. Moreover, alloying with Co resulted in the formation of precipitates and subsequent grain refinement, which further degraded the damping performance of the alloys34. Therefore, although the Cu-14Al-4Fe-xCo SMAs all exhibited IF peaks with tan δ values above 0.01 at temperatures above 100 °C, their IFPT + IFI peaks were extremely small and lack practical engineering applications.
However, it should be noticed that the effect of grain refinement isn’t straightforward—it includes both positive and negative influences. The process of refinement of grains leads to a reduction in the size of their internal structure, resulting in a more compact arrangement. This leads to thinner or more closely spaced martensite plates/layers. As interlayer spacing decreases, more layers (and consequently more interfaces) are packed into the same volume. The dissipation of energy through interfacial mechanisms such as slip or movement is enhanced by the presence of additional interfaces, thereby enabling the material to absorb greater vibrations and improving damping. Similar results have been reported in Cu-Al-Ni-Mn-Ti SMA that the damping of the alloy was improved after grain refinement because of the increased density of phase interfaces, including the interfaces between martensite lamellae and the interfaces between twins within martensite49. Conversely, as layers are compressed closer together, they exert compressive forces on each other. The strength and resistance of the grain boundaries are increased due to the tighter atomic bonding. The increased forces reduce the mobility of layers, thereby hindering the interfacial slippage that occurs in such systems. Slip is a pivotal mechanism for energy dissipation, thereby reducing damping. Similar results have been reported that the damping capacity of the Cu-Al-Mn-based alloys decreased with decreasing grain size50.
Compared to the other Cu-14Al-4Fe-xMn and Cu-14Al-4Fe-xCo SMAs, the Cu-14Al-4Fe-2Mn and Cu-14Al-4Fe-3Mn SMAs would be more suitable for high-damping applications because they exhibited tan δ values above 0.015 at approximately room temperature. Besides, the tan δ values of the IFPT + IFI peaks for Cu-14Al-4Fe-2Mn and Cu-14Al-4Fe-3Mn SMAs were comparable to that of the Cu-13.5Al-4Ni-xCo SMA (approximately 0.0191), but much higher than other Cu-12Al-5Mn-xAg (below 0.006), Cu-12Al-5Mn-xNb (below 0.011), and Cu-13.5Al-4Ni-xCo (below 0.005) reported before34,45.
Conclusions
The present study investigated the modification of the microstructure and damping performance when the Cu-14Al-4Fe SMA was alloyed with the quaternary alloying elements Mn and Co. The following conclusions were drawn.
-
1.
Both the Cu-14Al-4Fe-xMn and Cu-14Al-4Fe-xCo SMAs exhibited a single β → \(\:{{\upgamma\:}}_{1}^{{\prime\:}}\) martensitic transformation during cooling and single \(\:{{\upgamma\:}}_{1}^{{\prime\:}}\) → β martensitic transformation during heating.
-
2.
The addition of Mn and Co to the Cu-14Al-4Fe SMA had opposite effects on the martensitic transformation temperature. Increasing the Mn content of the Cu-14Al-4Fe-xMn SMAs decreased the martensitic transformation temperature. Conversely, an increase in the Co content resulted in an elevated martensite transformation temperature compared with that of the Cu-14Al-4Fe SMA.
-
3.
In the Co-modified Cu-14Al-4Fe SMA, a decrease in the quantity of transformed martensite, which was the predominant factor affecting the damping performance, reduced the damping capacity. Moreover, the addition of Co to the alloy resulted in the formation of precipitates and subsequent grain refinement, which further degraded the damping performance of the alloys.
-
4.
In the Mn-modified Cu-14Al-Fe SMA, despite the reduction in transformed martensite with increasing Mn content, the damping performance increased compared to that of the Cu-14Al-4Fe SMA. This may be attributed to the atomic size mismatch, which reduced the strain energy associated with twin-boundary formation and the energy barriers of the movement of the twin boundaries.
-
5.
Among the Cu-14Al-4Fe-xMn and Cu-14Al-4Fe-xCo SMAs in this study, the Cu-14Al-4Fe-xCo (x = 1–2 wt%) SMAs exhibited significant IF peaks, with tan δ values above 0.15 at temperatures above 150 °C, which would make them suitable for high-temperature damping applications. The Cu-14Al-4Fe-2Mn and Cu-14Al-4Fe-3Mn SMAs would be more suitable for practical high-damping applications because they exhibited significant IFPT+IFI peaks with tan δ values above 0.015 at approximately room temperature.
XRD diffraction patterns of (a) Cu-14Al-4Fe-xMn and (b) Cu-14Al-4Fe-xCo SMAs.
DSC curves of (a) Cu-14Al-4Fe-xMn and (b) Cu-14Al-4Fe-xCo SMAs.
SEM images of the microstructures of (a) Cu-14Al-4Fe, (b) Cu-14Al-4Fe-1Mn, (c) Cu-14Al-4Fe-2Mn, (d) Cu-14Al-4Fe-3Mn, and (e) Cu-14Al-4Fe-4Mn SMAs.
SEM images (100×) of the microstructures of (a) Cu-14Al-4Fe-0.5Co, (b) Cu-14Al-4Fe-1Co, (c) Cu-14Al-4Fe-1.5Co, and (d) Cu-14Al-4Fe-2Co SMAs.
Magnified SEM images (1000×) of the microstructures of (a) Cu-14Al-4Fe-0.5Co, (b) Cu-14Al-4Fe-1Co, (c) Cu-14Al-4Fe-1.5Co, and (d) Cu-14Al-4Fe-2Co SMAs.
Tan δ curves of (a) Cu-14Al-4Fe-xMn and (b) Cu-14Al-4Fe-xCo SMAs measured at a strain amplitude of 1.0 × 10−4, frequency of 1 Hz, and cooling rate of 3° C/min.
Tan δ curves of Cu-14Al-4Fe-xMn and Cu-14Al-4Fe-xCo SMAs measured at a strain amplitude of 1.0 × 10-4, frequency of 10 Hz, and cooling rate of 1° C/min.
Data availability
The datasets used and/or analyzed during the current study are available from the corresponding author on reasonable request.
References
Santosh, S., Kevin Thomas, J., Rajkumar, K. & Sabareesh, A. Effect of Ni and Mn additions on the damping characteristics of Cu-Al-Fe based high temperature shape memory alloys. J. Alloys Compd. 924, 166258. https://doi.org/10.1016/j.jallcom.2022.166258 (2022).
Santosh, S., Nithyanandh, G., Ashwath, J. & Lalith Kishore, K. Comparison of internal friction measurements on Ni-Ti reinforced smart composites prepared by additive manufacturing. J. Alloys Compd. 924, 166027. https://doi.org/10.1016/j.jallcom.2022.166027 (2022).
Sampath, V., Srinithi, R., Santosh, S., Sarangi, P. P. & Sherin Fathima, J. The effect of quenching methods on transformation characteristics and microstructure of an NiTiCu shape memory alloy. Trans. Indian Inst. Met. 73, 1481–1488. https://doi.org/10.1007/s12666-020-01909-9 (2020).
Piorunek, D. et al. Effect of off-stoichiometric compositions on microstructures and phase transformation behavior in Ni-Cu-Pd-Ti-Zr-Hf high entropy shape memory alloys. J. Alloys Compd. 857, 157467. https://doi.org/10.1016/j.jallcom.2020.157467 (2021).
Agrawal, A. & Dube, R. K. Methods of fabricating Cu-Al-Ni shape memory alloys. J. Alloys Compd. 750, 235–247. https://doi.org/10.1016/j.jallcom.2018.03.390 (2018).
Es-Souni, M., Es-Souni, M. & Fischer-Brandies, H. Assessing the biocompatibility of NiTi shape memory alloys used for medical applications. Anal. Bioanal Chem. 381, 557–567. https://doi.org/10.1007/s00216-004-2888-3 (2005).
Dmitrievskiy, A., Komarov, V., Karelin, R., Andreev, V. & Stolyarov, V. Friction and Wear Resistance of Nanostructured TiNi Shape Memory Alloy. Metals 14, 1248. (2024). https://doi.org/10.3390/met14111248
Eggeler, G., Hornbogen, E., Yawny, A., Heckmann, A. & Wagner, M. Structural and functional fatigue of NiTi shape memory alloys. Mater. Sci. Eng. A. 378, 24–33. https://doi.org/10.1016/j.msea.2003.10.327 (2004).
Rondelli, G. Corrosion resistance tests on NiTi shape memory alloy. Biomaterials 17, 2003–2008. https://doi.org/10.1016/0142-9612(95)00352-5 (1996).
Mohd Jani, J., Leary, M., Subic, A. & Gibson, M. A. A review of shape memory alloy research, applications and opportunities. Mater. Des. 56, 1078–1113. https://doi.org/10.1016/j.matdes.2013.11.084 (2014).
Song, G., Ma, N. & Li, H. N. Applications of shape memory alloys in civil structures. Eng. Struct. 28, 1266–1274. https://doi.org/10.1016/j.engstruct.2005.12.010 (2006).
Balasubramaniyan, C., Rajkumar, K. & Santosh, S. Enhancement of machining and surface quality of quaternary alloyed NiTiCuZr shape memory alloy through ultrasonic vibration coupled WEDM. Proc. Inst. Mech. Eng. Pt L-J Mater. -Design Appl. 236, 816–833. https://doi.org/10.1177/14644207211058297 (2021).
Santosh, S. & Sampath, V. Effect of ternary addition of Cobalt on shape memory characteristics of Ni-Ti alloys. Trans. Indian Inst. Met. 72, 1481–1484. https://doi.org/10.1007/s12666-019-01604-4 (2019).
Abolhasani, D., Moon, B., Kang, N., VanTyne, C. J. & Moon, Y. H. High-performance Cu-Al shape memory alloy in ternary combination with graphene fabricated by powder bed fusion process. J. Alloys Compd. 960, 170707. https://doi.org/10.1016/j.jallcom.2023.170707 (2023).
Kim, D., Ferretto, I., Leinenbach, C. & Lee, W. 3D and 4D printing of complex structuresof Fe-Mn-Si-based shape memory alloy usinglaser powder bed fusion. Adv. Mater. Interfaces. 9, 2200171. https://doi.org/10.1002/admi.202200171 (2022).
Balci, E. & Akpınar, S. Quaternary element incorporation effects on thermal properties and crystal-micro structure of Cu-Al-Fe high temperature shape memory alloys. Int. J. Thermodyn. 24, 119–126. https://doi.org/10.5541/ijot.805275 (2021).
Kadletz, P. M. et al. Martensite stabilization in shape memory alloys - Experimental evidence for short-range ordering. Mater. Lett. 159, 16–19. https://doi.org/10.1016/j.matlet.2015.06.048 (2015).
Yildiz, K., Balci, E. & Akpinar, S. Quenching media effects on martensitic transformation, thermodynamic and structural properties of Cu-Al-Fe-Ti high-temperature shape memory alloy. J. Therm. Anal. Calorim. 129, 937–945. https://doi.org/10.1007/s10973-017-6219-2 (2017).
Yang, S., Su, Y., Wang, C. & Liu, X. Microstructure and properties of Cu-Al-Fe high-temperature shape memory alloys. Mater. Sci. Eng. B. 185, 67–73. https://doi.org/10.1016/j.mseb.2014.02.001 (2014).
Broucek, J. et al. Design of high-temperature NiTiCuHf shape memory alloys with minimum thermal hysteresis using bayesian optimization. Acta Mater. 286, 120651. https://doi.org/10.1016/j.actamat.2024.120651 (2025).
Ma, J., Karaman, I. & Noebe, R. D. High temperature shape memory alloys. Int. Mater. Rev. 55, 257–315. https://doi.org/10.1179/095066010X12646898728363 (2010).
Raju, T. N. & Sampath, V. Effect of ternary addition of iron on shape memory characteristics of Cu-Al alloys. J. Mater. Eng. Perform. 20, 767–770. https://doi.org/10.1007/s11665-011-9916-1 (2011).
Kök, M., Ata, Ş., Yakıncı, Z. D. & Aydoğdu, Y. Examination of phase changes in the CuAl high-temperature shape memory alloy with the addition of a third element. J. Therm. Anal. Calorim. 133, 845–850. https://doi.org/10.1007/s10973-018-7176-0 (2018).
Yang, J. & Wayman, C. On the formation mechanism of Ni5Al3 in NiAl-base alloys: Part I. Microstructures. Intermetallics 2, 111–119. (1993). https://doi.org/10.1016/0966-9795(94)90005-1
Van Humbeeck, J. High temperature shape memory alloys. J. Eng. Mater. Technol. 121, 98–101. https://doi.org/10.1115/1.2816006 (1999).
Ma, S., Zhang, X., Zheng, G., Qian, M. & Geng, L. Toughening of Ni-Mn-based polycrystalline ferromagnetic shape memory alloys. Materials 16, 5725. https://doi.org/10.3390/ma16165725 (2022).
Golberg, D. et al. High-temperature shape memory effect in Ti50Pd50 – xNix (x = 10, 15, 20) alloys. Mater. Lett. 22, 241–248. https://doi.org/10.1016/0167-577X(94)00256-8 (1995).
Deniz Cırak, Z. & Kök, M. Investigation of the thermal and microstructural changes of CuAlNiNb quaternary shape memory alloys by different Niobium amount. Eur. Phys. J. Plus. 133, 288. https://doi.org/10.1140/epjp/i2018-12150-7 (2018).
Yang, S., Wang, C., Su, Y. & Liu, X. J. Evolutions of microstructure and phase transformation in Cu-Al-Fe-Nb/Ta high-temperature shape memory alloys. Mater. Sci. Forum. 833, 67–70. https://doi.org/10.4028/www.scientific.net/msf.833.67 (2015).
Kim, H. W. A study of the two-way shape memory effect in Cu-Zn-Al alloys by the thermomechanical cycling method. J. Mater. Process. Technol. 146, 326–329. https://doi.org/10.1016/j.jmatprotec.2003.11.018 (2004).
Prasad, D. S., Shoba, C. & Varma, K. R. Damping behavior of commonly used reinforcement powders - An experimental approach. Eng. Sci. Technol. Int. J. 18, 674–679. https://doi.org/10.1016/j.jestch.2015.05.001 (2015).
Gómez-Cortés, J. F. et al. Superelastic damping at nanoscale in ternary and quaternary Cu-based shape memory alloys. J. Alloys Compd. 883, 160865. https://doi.org/10.1016/j.jallcom.2021.160865 (2021).
Van Humbeeck, J. & Kustov, S. Active and passive damping of noise and vibrations through shape memory alloys: applications and mechanisms. Smart Mater. Struct. 14, S171–S185. https://doi.org/10.1088/0964-1726/14/5/001 (2005).
Gholami-Kermanshahi, M., Wu, Y. Y., Lange, G. & Chang, S. H. Effect of alloying elements (Nb, Ag) on the damping performance of Cu-Al-Mn shape memory alloys. J. Alloys Compd. 930, 167438. https://doi.org/10.1016/j.jallcom.2022.167438 (2023).
Chang, S. H. Influence of chemical composition on the damping characteristics of Cu-Al-Ni shape memory alloys. Mater. Chem. Phys. 125, 358–363. https://doi.org/10.1016/j.matchemphys.2010.09.077 (2011).
Nespoli, A., Villa, E. & Passaretti, F. Quantitative evaluation of internal friction components of NiTiCu-Y shape memory alloys. Thermochim Acta. 641, 85–89. https://doi.org/10.1016/j.tca.2016.08.017 (2016).
Sarı, U. & Aksoy, I. Electron microscopy study of 2H and 18R martensites in Cu-11.92 wt%Al-3.78 wt% Ni shape memory alloy. J. Alloys Compd. 417, 138–142. https://doi.org/10.1016/j.jallcom.2005.09.049 (2006).
Mazzer, E. M., da Silva, M. R. & Gargarella, P. Revisiting Cu-based shape memory alloys: recent developments and new perspectives. J. Mater. Res. 37, 162–182. https://doi.org/10.1557/s43578-021-00444-7 (2022).
Gholami–Kermanshahi, M., Hsiao, Y. C., Lange, G. & Chang, S. H. Effects of carbon nanotube addition on the microstructures, martensitic transformation, and internal friction of Cu-Al-Ni shape–memory alloys. Sci. Rep. 13, 21181. https://doi.org/10.1038/s41598-023-48516-4 (2023).
Zhang, A., Zhang, S. & Li, C. Synergistic size-surface effects on martensitic transformation of shape memory alloy nanorods for micro/nanoelectro-mechanical systems. ACS Appl. Nano Mater. 5, 1221–1130. https://doi.org/10.1021/acsanm.1c03753 (2022).
Yildiz, K., Kök, M. & Dağdelen, F. Cobalt addition effects on martensitic transformation and microstructureal properties of high-temperature Cu-Al-Fe shape memory alloys. J. Therm. Anal. Calorim. 120, 1227–1232. https://doi.org/10.1007/s10973-015-4395-5 (2015).
Chang, S. H. & Wu, S. K. Effect of cooling rate on transformation temperature measurements of Ti50Ni50 alloy by differential scanning calorimetry and dynamic mechanical analyzer. Mater. Charact. 59, 987–990. https://doi.org/10.1016/j.matchar.2007.08.014 (2008).
Yin, F., Nagai, K., Watanabe, K. & Kawahara, K. The damping behavior of Ni added Mn-Cu damping alloys. Mater. Trans. 44, 1671–1674. https://doi.org/10.2320/matertrans.44.1671 (2003).
Zhang, S., You, W. & Xu, Y. Microstructure and damping capacity of a Mn35Cu60Al3Fe2 alloy by semisolid heat treatment. Mater. Trans. 61, 326–329. https://doi.org/10.2320/matertrans.MT-M2019248 (2020).
Chang, S. H., Liao, B. S. & Gholami-Kermanshahi, M. Effect of Co additions on the damping properties of Cu-Al-Ni shape memory alloys. J. Alloys Compd. 847, 156560. https://doi.org/10.1016/j.jallcom.2020.156560 (2020).
Chang, S. H. & Wu, S. K. Inherent internal friction of B2→R and R→B19’ martensitic transformations in equiatomic TiNi shape memory alloy. Scr. Mater. 55, 311–314. https://doi.org/10.1016/j.scriptamat.2006.04.044 (2006).
Chang, S. H. & Hsiao, S. H. Inherent internal friction of Ti50Ni50 – xCux shape memory alloys measured under isothermal conditions. J. Alloys Compd. 586, 69–73. https://doi.org/10.1016/j.jallcom.2013.10.026 (2014).
Sobrero, C., La Roca, P., Roatta, A., Bolmaro, R. & Malarría, J. Shape memory properties of highly textured Cu-Al-Ni-(Ti) alloys. Mater. Sci. Eng. A. 536, 207–215. https://doi.org/10.1016/j.msea.2011.12.104 (2012).
Yao, C. et al. Effects of grain refinement on the microstructures and damping behaviors of a Cu–Al–Ni–Mn–Ti shape memory alloy. Intermetallics 138, 107315. https://doi.org/10.1016/j.intermet.2021.107315 (2021).
Sutou, Y., Omori, T., Koeda, N., Kainuma, R. & Ishida, K. Effects of grain size and texture on damping properties of Cu–Al–Mn-based shape memory alloys. Mater. Sci. Eng. A. 438–440, 743–746. https://doi.org/10.1016/j.msea.2006.02.085 (2006).
Acknowledgements
The authors gratefully acknowledge the financial support for this research provided by the National Science and Technology Council (NSTC), Taiwan, under Grant NSTC 112-2221-E-197-014-MY2.
Funding
This work was supported by the National Science and Technology Council (NSTC), Taiwan, under Grant NSTC 112-2221-E-197-014-MY2.
Author information
Authors and Affiliations
Contributions
S.H.C. conceived the study. W.H.H. and G.C.L. prepared the samples and conducted the experiments. S.H.C. and M.G. analyzed data and wrote the manuscript. S.H.C., M.G., W.H.H., G.C.L., and G.L. discussed the results and commented on the manuscript.
Corresponding author
Ethics declarations
Competing interests
The authors declare no competing interests.
Additional information
Publisher’s note
Springer Nature remains neutral with regard to jurisdictional claims in published maps and institutional affiliations.
Rights and permissions
Open Access This article is licensed under a Creative Commons Attribution-NonCommercial-NoDerivatives 4.0 International License, which permits any non-commercial use, sharing, distribution and reproduction in any medium or format, as long as you give appropriate credit to the original author(s) and the source, provide a link to the Creative Commons licence, and indicate if you modified the licensed material. You do not have permission under this licence to share adapted material derived from this article or parts of it. The images or other third party material in this article are included in the article’s Creative Commons licence, unless indicated otherwise in a credit line to the material. If material is not included in the article’s Creative Commons licence and your intended use is not permitted by statutory regulation or exceeds the permitted use, you will need to obtain permission directly from the copyright holder. To view a copy of this licence, visit http://creativecommons.org/licenses/by-nc-nd/4.0/.
About this article
Cite this article
Gholami-Kermanshahi, M., Huang, WH., Liu, GC. et al. Effects of the alloying Mn and Co on the martensitic transformation behaviors and damping properties of Cu-Al-Fe high-temperature shape memory alloys. Sci Rep 15, 37702 (2025). https://doi.org/10.1038/s41598-025-21608-z
Received:
Accepted:
Published:
Version of record:
DOI: https://doi.org/10.1038/s41598-025-21608-z






