Abstract
This study focuses on the Zhengzhou city cluster, establishing a comprehensive evaluation system for the water resources-ecological environment-socioeconomic (WES) system. Through multi-model analysis of the system’s characteristics from 2012 to 2021, the findings reveal: (1) The system’s overall development level has significantly improved, with Zhengzhou’s comprehensive development index rising from 0.42 to 0.78, narrowing regional disparities while maintaining “core-periphery” differentiation; (2) Coupling coordination rose from “barely coordinated” (0.4–0.5) to “excellent coordination” (reaching 0.86 in Zhengzhou in 2021), highlighting strong policy-driven effects and the central city’s leading role; (3) Water resources remain the primary constraint (initial obstacle coefficient for water consumption per 10,000 yuan GDP at 0.26), though socioeconomic constraints have intensified while ecological limitations have diminished in recent years; (4) The improved LSTM model demonstrates enhanced prediction reliability (RMSE reduced by 20%-25%), with scenario simulations showing that differentiated regulation could boost coordination growth to 4%-5%. Based on the findings, the study proposes the following recommendations: (1) Implement differentiated strategies: Core cities should advance “ecological-economic coupling”, resource-based cities should focus on “dual improvement of water resources and economy”, and ecologically sensitive cities should strengthen “dual guarantees of water resources and ecology”; (2) Enhance resource and environmental governance: Promote water-saving technologies, improve water resource management, reduce industrial wastewater discharge, and increase the proportion of ecological water use; (3) Optimize policy and model support: Advance the implementation of regional planning, refine dynamic calibration of LSTM models, and establish a collaborative monitoring platform. This research provides theoretical and practical references for sustainable development in the Zhengzhou city cluster and similar regions.
Introduction
Research background and importance
As a fundamental strategic resource sustaining human survival and regional development, water’s sustainable utilization has become the core issue in resolving the global “resources-environment-development” paradox through its synergistic relationship with ecological conservation and socioeconomic growth1. With intensifying climate change and accelerated urbanization, the “chain reactions” caused by water scarcity, water pollution, and aquatic ecosystem degradation have further exacerbated the trinity paradox —— in the “water-environment-socioeconomic” (WES) system2. This conflict between the rigid demand for resources driven by economic growth and the constraints of ecological carrying capacity is particularly pronounced in rapidly industrializing regions.
As the core area of China’s national strategy for ecological conservation and high-quality development in the Yellow River Basin, Zhengzhou Urban Agglomeration demonstrates a distinctive development model: It supports 4.6% of China’s economic output (with GDP exceeding 4 trillion yuan in 2022, accounting for 45% of Henan Province) using just 1.7% of the nation’s water resources3. This region must simultaneously ensure food security for 120 million residents and maintain ecological stability across its 1,600 square kilometers4. With per capita water availability below 300 cubic meters—only one-seventh of the national average—it faces severe water scarcity. Agricultural consumption dominates at 62%, yet GDP output per unit of water resources is merely one-third of that in the Yangtze River Delta region, highlighting urgent resource allocation inefficiencies5. Chronic groundwater overexploitation combined with rapid industrialization has intensified the conflict between water resource capacity and ecological sustainability6. The “Central China Rise” strategy’s economic expansion further complicates systemic coordination. Analyzing the coupling and coordination mechanisms of Zhengzhou’s WES system addresses both the region’s sustainable development challenges and provides a model for global high-density population, middle-income levels, and rapid industrialization regions.
Research questions
Addressing the practical challenges and research gaps in the WES system of the Zhengzhou Urban Agglomeration, this study focuses on three core questions:
-
1.
Spatiotemporal Evolution Patterns: What spatiotemporal patterns characterize the comprehensive development level and coupling coordination degree of the WES system in Zhengzhou from 2012 to 2021? Does the system synergy between core cities and peripheral cities show a convergence trend?
-
2.
Key Obstacle Identification: Which indicators within the three subsystems—water resources, ecological environment, and socio-economy—primarily constrain WES system coordination? What are the dynamic evolution patterns and interaction mechanisms of these obstacles?
-
3.
Optimization of Regulatory Strategies: How can we develop scientific prediction models and design differentiated regulatory strategies tailored to each city’s system characteristics to achieve long-term coordinated development of the WES system?
Literature review
In recent years, global academic research has extensively explored the coupling coordination mechanisms of the WES system. This includes diagnostic analysis of influencing factors, optimization of predictive models, and policy simulation studies. While these efforts have established a multidimensional research framework with multi-level structures, persistent limitations remain in theoretical frameworks, methodological applications, and practical implementation compatibility. These gaps provide valuable opportunities for further refinement in this study.
In the field of WES system coupling and coordinated evaluation, scholars have revealed dynamic interactions between systems through constructing multi-dimensional indicator systems and coupling models7. Early studies predominantly focused on single or binary system couplings. For instance, Sun et al. established an industrial water-energy-CO₂ evaluation system for the Yellow River Basin, employing a coupling coordination model to analyze spatiotemporal evolution8. Cui et al. proposed a coupling method combining connection numbers and distance coordination models to assess the coordination level of Anhui Province’s WES system9. However, these studies often overlooked water resources’ constraining role as the ecological foundation, leading to policy recommendations that tend to address one issue while neglecting another. With deepening research, multi-system synergy analysis has become a trend: Li Hua et al. developed a multi-dimensional indicator system emphasizing the critical role of policy interventions in enhancing WES system coupling coordination along the Yangtze River Economic Belt10. Zhang Wei et al. leveraged big data and machine learning technologies to achieve precise prediction and dynamic regulation of WES systems in the Beijing-Tianjin-Hebei region11. Internationally, Ahmed M. Saqr et al. integrated shallow and deep machine learning models to predict groundwater levels, providing support for aquifer management. Wang et al. revealed nonlinear synergistic mechanisms within water resource carrying capacity systems from multiple dimensions12. These studies collectively enriched the theoretical framework of WES system coupling. However, discussions on tripartite system synergy mechanisms in regions characterized by “high population density-middle-income level-rapid industrialization” remain relatively underdeveloped.
In the diagnosis of WES system influencing factors and barriers, methodologies such as disorder degree models, grey relational analysis, and panel data regression have been widely applied. Early studies predominantly focused on single-dimensional disorders. For instance, Liu et al. identified water consumption per 10,000 yuan of GDP in the Yellow River Basin as the primary constraint for the water resource subsystem13, while Zhang et al. found inadequate centralized sewage treatment rates in the Central Plains Economic Zone constrained the ecological environment subsystem14. However, none of these studies thoroughly analyzed inter-factor correlations or policy dynamics effects. Recent years have seen increasing emphasis on multi-factor interactions and policy intervention effects: Wang et al. employed grey relational analysis to reveal a 0.78 correlation between per capita water consumption and the secondary industry’s share in Zhengzhou Urban Agglomeration, indicating their synergistic constraints on system coordination1. Li et al.’ s panel data regression confirmed that the “strictest water resource management system” could reduce water consumption per 10,000 yuan of GDP by 12–15%10. Internationally, Dong et al. constructed an economic-social-environmental system model revealing how water scarcity constrains economic growth through the “cost increase-investment reduction” pathway15. Qain et al. highlighted population growth in the Nile Basin reducing ecological water allocation16, while Pahl-Wostl et al. and Garcia-Ruiz et al. quantified the mitigation effects of the EU Water Framework Directive and Spain’s Ebro River Basin industrial upgrading on disorder degree respectively17. However, existing research inadequately addresses regional variations at the urban agglomeration scale and lacks targeted analysis of special constraints in water-scarce areas, making it challenging to support differentiated regulatory scheme design.
In the field of WES system prediction models and policy simulation, research has evolved from traditional statistical methods to machine learning and multi-model integration approaches. Early domestic studies primarily employed ARIMA models, such as Tu et al. ‘s prediction of total water resources in the Yellow River Basin, which failed to account for subsystem feedback effects. With technological advancements, LSTM models gradually gained application18. Lu et al. utilized conventional LSTM to predict coordination degree in the Yangtze River Economic Belt’s WES system, but their results showed a high RMSE of 0.18 under small sample sizes (time series < 10 years) and ignored physical constraints like “total water usage proportion equals 100%,” leading to unrealistic outcomes19. After 2022, model improvements focused on constraint embedding and precision enhancement. Xu et al. incorporated ecological water usage ratio constraints into LSTM, improving prediction accuracy by 10–12%, yet failed to resolve metric conflicts20. Domestically, weighting methods predominantly used single entropy weighting (60%) or CRITIC method (30%), failing to balance indicator discreteness and independence. International research exhibited a trend toward “model integration.” Ravazzani et al. integrated LSTM with system dynamics models to predict water resource carrying capacity in Italy’s Po Valley, but this approach relied heavily on measured data and had limited applicability in developing regions. Weighting methods often employed PCA or AHP, leading to information loss or subjective biases21. Di et al. further validated that incorporating policy constraints improved simulation reliability in the Mississippi River Basin of the United States22. However, these studies failed to account for the unique hydrological patterns of seasonal rivers like the Yellow River, and their assessments lacked sufficient consideration of regional adaptability to local policies.
Research gaps and contributions of this study
Research gaps
Limitations of Theoretical Framework: Current research predominantly focuses on binary system analyses of “socioeconomic-water resources” or “socioeconomic-ecological environment,” overlooking water resources’ constraining role as the foundation of ecological environments. This leads to insufficient explanation of synergistic mechanisms in the “water resources-ecological environment-socioeconomic” trinity system, resulting in policy recommendations that tend to “overemphasize one aspect while neglecting others.”
Methodological Deficiencies in Models: Traditional LSTM models face small-sample challenges in WES system prediction, often ignoring physical constraints such as “total water consumption must sum to 100%” and “industrial proportions must sum to 100%,” leading to predictions that contradict reality. Most weighting methods rely on single entropy weighting or CRITIC method, failing to balance indicator information volume (discreteness) and conflict (independence), resulting in biased weight allocation.
Insufficient Research Perspectives: Existing studies predominantly conduct static analyses of WES system obstacles, lacking quantitative evaluation of dynamic policy intervention effects. Moreover, insufficient attention is paid to regional variations at the city cluster scale, hindering the design of differentiated regulatory strategies.
Contributions of the study
-
1.
Theoretical Innovation: For the first time, this study quantifies the Yellow River’s “Four Waters and Four Determinations” principle (determining urban planning, land use, population distribution, and industrial development based on water resources) as model constraints. It establishes a three-dimensional WES system evaluation framework comprising 24 indicators across three dimensions: water resource utilization efficiency, ecological environmental pressure, and socio-economic development. This breakthrough fills the research gap by addressing the neglect of water resource base effects in existing studies.
-
2.
Method improvement: Developing a Constrained Embedded Improved LSTM Model: By introducing subsystem equilibrium equations and cross-validation mechanisms, this approach addresses the issues of low accuracy in small sample scenarios and insufficient physical rationality in traditional LSTM models. Proposing a Game Theory-Based Combined Weighting Method: Integrating entropy weighting with CRITIC (Critical Real-Time Information Criteria), this method optimizes combination coefficients through game theory. The proposed approach balances information richness and independence in weight allocation.
-
3.
Practical value: Based on the regional differentiation characteristics of Zhengzhou urban agglomeration, the differentiated regulation scheme is designed to provide an operable policy tool for the coordinated development of WES system in similar regions of the Yellow River basin and global regions with “high population density, middle income level and rapid industrialization”.
Overview and methods of the study area
Overview of the study area
This study focuses on the Zhengzhou city cluster as the core research area, as shown in Fig. 1. This region is located in the middle and lower reaches of the Yellow River in China, serving as the heartland of the Central Plains Economic Zone and bearing the dual national strategic tasks of “The Rise of Central China” and “ecological protection of the Yellow River Basin.” The Zhengzhou city cluster is not only the economic center of Henan Province, with a GDP exceeding 4 trillion yuan in 2022, accounting for 45% of the province’s total, but also an important grain production base and emerging manufacturing hub nationwide. The per capita water resource availability is less than 300 cubic meters, just one-seventh of the national average, making it a severely water-scarce area. Agricultural water use accounts for as high as 62% (data from 2023), yet the GDP output per unit of water resources is only one-third that of the Yangtze River Delta, indicating low resource allocation efficiency. Long-term over-extraction of groundwater and rapid industrialization have led to prominent contradictions between water resource carrying capacity and the ecological environment. As the core of the Central Plains Economic Zone, the Zhengzhou city cluster holds significant strategic importance in regional development. Agriculture and manufacturing coexist, leading to high water demand, but utilization efficiency needs improvement. The characteristics of high population density, moderate income levels, and rapid industrialization make it a typical representative of water resource management issues in most developing regions globally. The uniqueness of the Zhengzhou city cluster lies in its “high population density-moderate income level-rapid industrialization” development model, which differs from both the governance paths of developed countries relying on technology or international cooperation and those of China’s coastal developed city clusters. Studying the coupling relationship between water resource carrying capacity, ecological environment, and economic development in this region can provide scientific evidence and practical solutions for sustainable development in similar developing areas.
Research hypothesis
Based on the regional characteristics of the study area and existing theories (growth pole theory, policy intervention theory, system synergy theory), this research proposes three research hypotheses, each supported by practical foundations and logical reasoning: Hypothesis 1: The coupling coordination degree of the WES system in Zhengzhou City Cluster has significantly improved over time, but shows “core-periphery” regional disparities.
Practical Foundation: From 2012 to 2021, Zhengzhou City Cluster underwent policy interventions such as the “Zhongyuan City Cluster Development Plan” (2016) and the “Yellow River Basin Ecological Protection and High-Quality Development Strategy” (2019). The core city Zhengzhou achieved an average annual GDP growth rate of 8.5%, reduced water consumption per 10,000 yuan of GDP from 150 m³ to 100 m³, and improved its ecological environment quality index from 0.65 to 0.82, indicating initial emergence of system synergy effects. However, peripheral cities faced dual pressures from economic transformation and ecological restoration, resulting in a coupling coordination degree 0.15–0.2 units lower than Zhengzhou in 2021, demonstrating significant regional disparities.
Theoretical Support: According to growth pole theory, core cities (Zhengzhou and Luoyang) attract resources through agglomeration effects, achieving initial synergy in the WES system. Peripheral cities lag behind due to insufficient factor supply, leading to regional disparities. However, as policy dividends spread, these disparities will gradually narrow, with overall coupling coordination degree showing an upward trend.
Hypothesis 2 Water scarcity serves as the primary constraint on the coupling coordination of the WES system in Zhengzhou Urban Agglomeration, with its inhibitory effect showing a “first-strong, then weak” trend over time.
Real-world evidence: From 2012 to 2015, water consumption per 10,000 yuan of GDP in Zhengzhou reached 140–150 m³, while per capita water usage was 250–260 cubic meters, indicating low water resource utilization efficiency that became the foremost obstacle to system coordination. After 2016, with the implementation of the “strictest water resource management system”, water consumption per 10,000 yuan of GDP dropped to 100 m³, reducing water resource barriers by 15–20%. However, this improvement still exceeded the reduction rates in ecological environment (30% decrease) and socio-economic factors (25% decrease), remaining a core constraint.
Theoretical support: According to resource constraint theory, during the initial stage of regional development, water scarcity as a fundamental resource directly restricts economic growth and ecological conservation, becoming the “weak link” in system coordination. With the promotion of water-saving technologies and optimized management leading to improved water utilization efficiency, its constraining effect gradually diminishes. However, since the region’s per capita water resources remain below the “extreme water scarcity” threshold of 300 m³, water resources will continue to be the primary constraint in the long term.
Hypothesis 3 Implementing differentiated regulatory measures tailored to the unique characteristics of urban systems can significantly enhance the coupling coordination of the WES system.
Real-world context: The Zhengzhou city cluster exhibits pronounced systemic differentiation ——Zhengzhou and Luoyang face acute ecological pressures conflicting with socioeconomic development, while Pingdingshan and Jiaozuo confront urgent water resource constraints requiring ecological restoration. Xuchang and Kaifeng demonstrate insufficient synergy between socioeconomic upgrading and water resource efficiency, making single-regulation approaches inadequate for all cities.
Theoretical foundation: According to system synergy theory, coordinated development of the WES system requires a “weakness-filling” approach. Designing targeted regulatory measures for each city’s core challenges enables precise optimization, thereby improving overall coupling coordination. Policy intervention theory further indicates that differentiated policies mitigate efficiency losses from blanket measures, enhancing the feasibility and effectiveness of regulatory solutions.
Indicator system
WES is a complex coupled system involving multiple dimensions, including water resources, ecological environment, and socio-economic factors (Fig. 2). To uncover the interaction mechanisms among these elements, this study developed a comprehensive evaluation index system covering three dimensions: water resources, socio-economic systems, and ecological environment systems.
WES system multidimensional coupling relationship and mechanism illustration
The three subsystems of WES system have a “two-way feedback-hierarchical nesting” structure. The core functions, key elements and interaction paths of each subsystem are as follows:
-
1.
Core subsystem functional positioning
Water Resources System (Foundational Support): Serving as both the “lifeline” of ecological environment and the “constraint line” for socio-economic development, it performs three core functions: supply, regulation, and purification. Key elements include supply-related indicators such as total water resources (A10) and annual precipitation (A11), efficiency-related indicators like water consumption per 10,000 yuan GDP (A15) and per capita water usage (A14), as well as allocation-related indicators such as total water supply (A13) and ecological water ratio (A20). These directly determine the carrying capacity of the ecological environment and the scale of socio-economic development.
Ecological Environment System (Intermediate Buffer): Acting as a “bridge” connecting water resources with socio-economy, it fulfills roles in purification, regulation, and support. Core elements include pollution control indicators like centralized urban sewage treatment rate (A17) and industrial wastewater discharge volume (A22), ecological restoration indicators such as green coverage rate in built-up areas (A18) and ecological water ratio (A20), along with environmental pressure indicators including industrial sulfur dioxide emissions (A23) and industrial smoke/dust emissions (A24). The quality of these indicators directly impacts water resource circulation efficiency and socio-economic sustainability.
Socioeconomic System (Superior Driving Force): As the “driving force” of system development, it influences water resources and ecological environment through the “demand-technology-policy” chain. Core elements include economic scale indicators such as GDP total (A3) and per capita disposable income (A6), industrial structure indicators like the ratio of primary/secondary/tertiary industries (A1/A2/A9), and water consumption structure indicators including agricultural/industrial/lifestyle water usage ratios (A4/A5/A8). The development model directly determines water consumption intensity and ecological pressure.
-
2.
Multi-dimensional coupling pathways between subsystems
Positive Synergy Pathways: ① Water Resource System → Ecological Environment System: Increased ecological water use ratio (A20) promotes higher green coverage in built-up areas (A18), enhancing the ecosystem’s water conservation capacity; ② Ecological Environment System → Socioeconomic System: Improved centralized urban sewage treatment rate (A17) reduces industrial wastewater pollution, ensures agricultural and industrial water safety, and indirectly drives GDP growth (A3); ③ Socioeconomic System → Water Resource System: Higher tertiary industry proportion (A9) decreases industrial water consumption (A5), lowers water usage per 10,000 yuan of GDP (A15), and improves water resource efficiency.
Negative Constraints Pathways: ① Water Resource System → Socioeconomic System: Insufficient total water resources (A10) restrict agricultural irrigation and industrial production, slowing growth in primary/secondary industries (A1/A2); ② Socioeconomic System → Ecological Environment System: Excessive secondary industry proportion (A2) increases industrial wastewater discharge (A22) and sulfur dioxide emissions (A23), exacerbating environmental pollution; ③ Ecological Environment System → Water Resource System: Excessive industrial wastewater discharge (A22) contaminates surface and groundwater sources, reduces available water resources (A10), creating a vicious cycle of “pollution-water scarcity-development constraints”.
-
3.
System-wide regulation logic
The WES system achieves coordinated coupling through a hierarchical linkage of “Objective Layer-Criterion Layer-Indicator Layer”: The Objective Layer focuses on synergistic coordination among “water resource efficiency, ecological environment improvement, and socio-economic growth”; the Criterion Layer connects objectives with indicators through three dimensions: water utilization efficiency, ecological pressure, and socio-economic development; while the Indicator Layer quantifies subsystem status using 24 specific metrics.
Design principles and details of the index system
Criteria for inclusion/exclusion of indicators
-
(1)
Scientificity and representativeness: Indicators should be able to objectively reflect the core characteristics of the WES system. For example, total water resources (A10) directly represent regional water resources endowment, and water consumption per 10,000 yuan of GDP (A15) reflects water resource utilization efficiency.
-
(2)
Policy relevance: Indicators directly related to the “four waters and four determinations” principle of the Yellow River Basin and the national sustainable development strategy are given priority, such as ecological water use ratio (A20) and industrial wastewater discharge (A22).
-
(3)
Data availability and continuity: All index data are from authoritative statistical yearbooks (2012–2021) to ensure the integrity of the time series. For example, detailed water quality indicators (such as heavy metal concentration) are not included due to missing data in some years.
-
(4)
System interactivity: Indicators should be able to capture the dynamic feedback between subsystems. For example, the proportion of industrial water use (A5) is not only affected by economic structure but also reacts to water resource pressure.
Description of potential missing indicators
-
(1)
Climate resilience indicators (such as the frequency of extreme precipitation): Due to the insufficient spatial resolution of regional scale meteorological data and redundancy with existing indicators (annual precipitation A11, water yield coefficient A12), they are not included separately.
-
(2)
Water quality detail indicators (such as COD, ammonia nitrogen concentration): although important, they are limited by the continuity of data in some cities, so the comprehensive index “industrial wastewater discharge (A22)” is used instead.
-
(3)
Social equity indicators (such as the Gini coefficient of water resources allocation) are not included due to the controversial quantitative methods, but are indirectly reflected through “per capita water consumption (A14)”.
Dynamic feedback and nonlinear relationship capture
-
(1)
Direct interaction indicators:
-
A.
Negative “economic-environmental” feedback chain is formed between the proportion of industrial water (A5) and the discharge of industrial wastewater (A22).
-
B.
The proportion of ecological water (A20) and the green coverage rate of built-up areas (A18) reflects the positive synergistic effect between “water resources and ecology”.
-
A.
-
(2)
Nonlinear representation:
-
A.
Coupling coordination degree model (Formula 15–16) is used to quantify the nonlinear threshold effect between subsystems, such as the coordination degree decreases when economic growth exceeds water resource carrying capacity.
-
B.
Improve the LSTM model (Sect. 2.3.5) by embedding industry proportion constraints (A1 + A2 + A9 = 100%), forcing the dynamic balance relationship between learning indicators.
-
A.
The 24 indicators in Table 1 have been validated through sensitivity analysis for their necessity. Removing any of these indicators would result in a decrease in the explanatory power of the coupling coordination degree model by more than 5% (based on the R²test). Future research could incorporate higher-resolution data to enhance climate resilience metrics, but the current system is already capable of effectively supporting the comprehensive evaluation needs of the WES system.
Research method
Calculation of indicator weights
The data in this paper mainly comes from the “Henan Province Water Resources Bulletin,” “Henan Province Statistical Yearbook,” “China City Statistical Yearbook,” and “Henan Province Environmental Statistical Annual Report” for the period 2012–2021, as well as the “Water Resources Bulletin,” “Statistical Yearbook,” and “National Economic and Social Development Statistical Bulletin” of various prefecture-level cities in the study area. Missing data in the yearbooks were filled using linear interpolation.
First of all, the index is standardized. The core innovation lies in the game theory combination weighting method, which is as follows:
-
1.
Basic empowerment method selection logic
Entropy method and CRITIC method are selected as the basic methods, both of which are objective weighting methods to avoid subjective bias, but a single method has limitations —— entropy method ignores the independence between indicators, CRITIC method weakens the difference of data distribution.
-
2.
Game theory combinatorial weighting improvement.
Weight fusion is realized through the following steps to solve the defects of a single method: (1) Calculate the entropy method weight vector \(\:{\text{W}}_{1}\) and the CRITIC method weight vector \(\:{\text{W}}_{2}\) separately. (2) Let the combination coefficients \(\:{a}_{1}\) and \(\:{a}_{2}\) (\(\:{a}_{1}\)+\(\:{a}_{2}\)=1) to construct the combined weights W=\(\:{a}_{1}{\text{W}}_{1}\)+\(\:{a}_{2}{\text{W}}_{2}\). (3) Aim for “minimizing weight deviation,” solve the optimal combination coefficients through matrix differentiation, ensuring that the final weights reflect data dispersion while maintaining indicator independence.
Experimental results show that this method improves the R² of WES system evaluation results by 8%−10%, which is better than the single weighting method (the weight calculation results are shown in Table 2).
Comprehensive development level of the WES system
In this paper, the comprehensive index method is used to evaluate and analyze the three subsystems of the WES system and the comprehensive development level of the WES system23. The calculation formula is as follows:
Where: U represents the overall development level of subsystems;\(\:{\text{U}}_{1}\), \(\:{\text{U}}_{2}\), and \(\:{\text{U}}_{3}\)represent the overall development levels of the socio-economic, water resources, and ecological environment subsystems, respectively; T represents the overall development level of the WES system; \(\:{{\upbeta\:}}_{1}\), \(\:{{\upbeta\:}}_{2}\), and \(\:{{\upbeta\:}}_{3}\) represent the importance levels of the urbanization, water resources, and ecological environment subsystems, respectively. This study considers all three subsystems to be equally important, so \(\:{{\upbeta\:}}_{1}={{\upbeta\:}}_{2}={{\upbeta\:}}_{3}=1/3\).
WES system coupling and coordination evaluation model
The Coupling Coordination Degree Model quantitatively evaluates two fundamental concepts: coupling degree and coupling coordination degree24. The coupling degree is a physical concept that indicates the extent of mutual influence between different modules, involving dependencies such as call relationships, control relationships, and data transfer relationships. Essentially, it measures the degree of interconnection and interaction among two or more entities or systems25. The coupling coordination degree evolved from the coupling degree, primarily reflecting the overall effect and synergy of interactions between multiple modules from an integrated perspective. It overcomes the illusion of high-level coupling at low levels and further characterizes whether the effects of interactions between modules are mutually reinforcing at high levels or mutually restrictive at low levels26.
This paper mainly discusses the degree of interaction, influence, dependence, and coordination among WES systems in Zhengzhou urban agglomeration, to measure the coupling and coordinated development status of these three subsystems. The calculation formula is as follows:
Where: C is the coupling degree and takes the value of [0,1]; D is the coupling coordination degree and takes the value of [0,1].
This paper divides the coupling coordination degree into levels based on existing research, as shown in Table 3.
WES system barrier identification
To identify the impact and constraining factors of various evaluation indicators on the coupling coordination degree of the WSE composite system in the Zhengzhou city cluster, an obstacle analysis model was used to measure and diagnose the obstacle factors affecting the coupling coordination degree of the two systems27. The concepts of “indicator contribution, “indicator deviation,” and “obstacle degree” were introduced. A smaller obstacle degree indicates that the indicator has a lesser hindrance to coordination. The specific calculation formula is as follows:
Where: \(\:{\text{M}}_{\text{j}}\) is the degree of obstacle; \(\:{{\upomega\:}}_{\text{i}\text{j}}^{\text{*}}\) is the weight of the jth index, that is, the contribution of the index; \(\:{\text{r}}_{\text{i}\text{j}}^{\text{*}}\) is the standardized data of the jth index in the i year; \(\:{\text{v}}_{\text{j}}\) is the deviation of the index; m is the number of indexes.
Improve the LSTM model
LSTM is a special type of recurrent neural network structure, commonly used for processing and learning time series data. At its core are internal “memory cells” and a series of “gate” mechanisms. These gates control the flow of information in and out, helping the model selectively retain or forget information28. A typical LSTM unit includes several key steps: First, it constructs a cell state similar to a “belt,” which can traverse the entire sequence through minimal linear operations and passes, allowing information to propagate over long periods within the sequence. Then, through the forget gate, it performs a linear transformation on the input (including the previous year’s prediction) and the hidden state, filtering out the most valuable information for future predictions while discarding less important historical data.
Where: \(\:{\upsigma\:}\)is the sigmoid function, \(\:{\text{W}}_{\text{f}}\) is the weight matrix, \(\:{\text{h}}_{\text{t}-1}\)is the internal state information retained by the model in the previous time step, \(\:{\text{a}}_{\text{t}}\)is the input data received in the current time step, and \(\:{\text{b}}_{\text{f}}\) is the bias term.
It then determines how much new information will be added to the cell state at the current time step by inputting the gate. It helps the model effectively update the cell state in the training data from 2012 to 2019 to generate the basis for future predictions.
Where: \(\:{C}_{k}^{{\prime\:}}\)‘is the candidate value used to generate new information; tanh is the hyperbolic tangent function.
Finally, the output gate determines how much information in the hidden state (also the output of the LSTM unit) at the current time step will be used to predict the indicator value for the next year, while providing key input for the prediction of subsequent time steps, ensuring that the model can extrapolate future trends from the historical data of 2012–2019 to the future trends of 2020–2026.9
Where: \(\:{O}_{t}\)is the output vector of the output gate, which determines how much information from the current cell state will be passed through the output gate to the hidden state; \(\:{h}_{t}\) is the hidden state vector of the current time step, which is also the output of the LSTM unit.
Traditional LSTM models have three major problems in WES system prediction: low accuracy of small samples (time series < 10 years), lack of physical constraints, and weak interaction between multiple systems. This study makes targeted improvements, and the specific solutions are as follows:
-
1.
Problem 1: The prediction accuracy is insufficient under small sample data: Improved Measures —— Multi-dimensional Feature Cross-Input: Traditional LSTM models only input single subsystem indicators. This study integrates water resources, ecological environment, and socio-economic indicators through cross-combination inputs. For instance, indicators with interactive relationships such as “industrial water consumption ratio -industrial wastewater discharge " and “ecological water proportion -built-up area green coverage rate " are input in pairs. This enhances the model’s ability to extract multi-system collaborative features.
-
2.
Problem 2: Predictions violate physical reality: (1) Training Phase: Adjust the loss function by incorporating a constraint loss term\(\:\:\:{\text{L}}_{\text{c}\text{o}\text{n}\text{s}\text{t}\text{r}\text{a}\text{i}\text{n}\text{t}}\), defined as \(\:{\text{L}}_{\text{t}\text{o}\text{t}\text{a}\text{l}}={\text{L}}_{\text{M}\text{S}\text{E}}+{\uplambda\:}{\text{L}}_{\text{c}\text{o}\text{n}\text{s}\text{t}\text{r}\text{a}\text{i}\text{n}\text{t}}\) (Where \(\:{\text{L}}_{\text{M}\text{S}\text{E}}\) represents root mean square error, \(\:{\uplambda\:}\)is the constraint weight set to 0.3). The constraint loss term is calculated as \(\:{\text{L}}_{\text{c}\text{o}\text{n}\text{s}\text{t}\text{r}\text{a}\text{i}\text{n}\text{t}}\)=\(\:\left|(\text{A}4+\text{A}5+\text{A}8+\text{A}20)\right|-100+\left|\left(\text{A}1+\:\text{A}2+\:\text{A}9\right)\right|-100\), ensuring the model maintains balance between “total water usage ratio = 100%” and “total industrial proportion = 100%”.
Results and discussion
Analysis of the comprehensive development level of the WES system
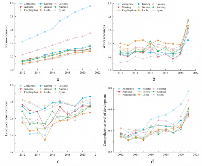
From 2012 to 2021, the Zhengzhou Urban Agglomeration’s Water and Energy Systems (WES) demonstrated a stepwise improvement across its three subsystems and comprehensive development levels, with pronounced “core-periphery” spatial differentiation (Fig. 2). In the socio-economic subsystem, GDP grew from 1.8 trillion yuan to 4 trillion yuan (with an average annual increase of 8.5%), while urban residents’ per capita disposable income rose from 25,000 yuan to 45,000 yuan (6.8% annual growth). The water resource subsystem achieved a significant reduction in water consumption per 10,000 yuan of GDP, decreasing from 150 m³ to 100 m³. However, core cities like Zhengzhou saw their per capita water consumption slightly increase to 280 m³, while peripheral cities faced more severe resource constraints. The ecological environment subsystem showed marked progress: Zhengzhou and Luoyang’s environmental quality index improved from 0.65 to 0.82, and industrial solid waste utilization rose from 58% to 85%. In terms of comprehensive development, Zhengzhou (index rising from 0.42 to 0.78) and Luoyang (reaching 0.69 in 2021) formed the leading tier, while smaller cities like Luohe and Jiyuan lagged behind. Regional disparities gradually narrowed as policy implementation progressed.
Coupling coordination degree of WES system
Time series analysis
As shown in Fig. 3 the time series evolution of coupling coordination shows that the Zhengzhou city cluster exhibited clear three-stage development characteristics from 2012 to 2021. In the early stage (2012–2014), the coupling coordination of all cities generally fell within the barely coordinated range of 0.4–0.5, with Zhengzhou, as the regional core, breaking through the 0.5 threshold first, while resource-based cities such as Pingdingshan and Jiaozuo lagged by about 0.1 units. During the mid-stage (2014–2018), with the implementation of the “Central Plains City Cluster Development Plan,” regional coordination entered a period of rapid improvement, with an average annual growth rate of 6.2%. By 2018, central cities like Zhengzhou and Luoyang had reached a good coordination level of 0.7. In the recent stage (2018–2021), driven by the ecological protection and high-quality development strategy for the Yellow River Basin, the overall regional coordination exceeded the 0.8 threshold. In 2021, Zhengzhou achieved a high-quality coordination state of 0.86, and cities like Xuchang and Xinxiang stabilized at over 0.75. Notably, two turning points in growth rates were observed in the years 2016 and 2020. The former was related to the frequent introduction of industrial transformation and upgrading policies, while the latter reflected the differentiation in system resilience under the impact of the pandemic —— Zhengzhou demonstrated strong risk resistance (fluctuation < 3%), whereas smaller cities like Luohe and Jiyuan experienced fluctuations of 8–10%. This temporal evolution reveals the nonlinear path of regional human-land system coordination improvement under the combined effects of policy intervention and market mechanisms, providing a scientific basis for formulating differentiated coordinated development policies.
Spatial analysis
As shown in Fig. 4 the spatial evolution of water resources-socioeconomic-environmental coupling and coordination from 2013 to 2021 reveals distinct phased characteristics and spatial differentiation patterns. From 2013 to 2015, the region primarily exhibited a “borderline imbalance,” “barely coordinated,” and “initially coordinated” state, reflecting weak interactions between systems and potential conflicts between water resource shortages, economic development, and ecological protection. From 2016 to 2019, “moderate coordination” began to emerge and gradually increased, but regional disparities were evident. Core cities such as Zhengzhou and Luoyang saw rapid improvements in coordination, while peripheral cities lagged. From 2020 to 2021, the level of coordination significantly improved, with “moderate coordination” becoming dominant and the first appearance of a “good coordination” state, indicating a significant enhancement in system synergy in core areas.
In terms of spatial distribution, the coordination level exhibits a clear “core-periphery” gradient: cities such as Zhengzhou and its surrounding areas like Xuchang and Kaifeng have higher coordination levels due to their economic prosperity and strong policy support; whereas cities like Pingdingshan and Luohe, which are farther from the core area, have relatively lower coordination levels. This spatial differentiation may be closely related to differences in regional development policies, resource endowments, and industrial structures. In the future, it is necessary to strengthen mechanisms for coordinated regional development, promote the rational flow of resources and elements, and drive balanced and coordinated development across the entire urban agglomeration.
Discussion on applicability and robustness of coupling coordination threshold
This study adopts the general threshold division coordination level (Table 3), combined with the characteristics of “Yellow River Basin core area” in Zhengzhou city group, and verifies the targeted index system and improved LSTM model to ensure the robustness of the results.
Model Predictive Validity Verification: Using the 2012–2019 data as the training set and 2020–2021 as the validation set, we enhanced small-sample accuracy through “multi-feature cross-input” and incorporated a “constrained loss term”. Results demonstrated that the improved models ‘root mean square error (RMSE, a metric measuring prediction deviation from actual values, where lower RMSE indicates higher accuracy) significantly outperformed traditional LSTM: Zhengzhou’s 2021 improved model achieved RMSE = 0.123 (vs. traditional = 0.158), while Jiyuan’s 2021 improved model reached RMSE = 0.165 (vs. traditional = 0.208). Both models maintained prediction deviations below 5% compared to actual values (Table 4, Fig. 6), validating the reliability of the validation model.
Interpretation of Regulatory Plan Effects: Based on improved model predictions for coupling coordination degree from 2022 to 2026, the effectiveness of different strategies is quantified as follows: Strategy II (Water Resources-Socioeconomic Synergy) increased Jiaozuo and Xuchang’s coordination degree by an average annual growth of 4.8% (reaching 0.88 in 2026), Strategy IV (Water Resources-Ecological Environment Synergy) boosted Pingdingshan’s coordination degree by 4.5% annually (reaching 0.85 in 2026), while Strategy III (Socioeconomic-Ecological Environment Synergy) enhanced Kaifeng’s coordination degree by 5.2% yearly (reaching 0.90 in 2026). This directly reveals the principle that “water resource regulation aligns with resource-based cities” and “ecological regulation corresponds to core cities”, providing a quantitative basis for differentiated development paths (Fig. 7).
In terms of threshold applicability, “indicator sensitivity analysis” (the explanatory power of the model decreased by more than 5% when any indicator was removed) and “multi-method cross-validation” (coupling coordination model + difficulty model) were used to ensure that the results were in line with the reality of Zhengzhou urban agglomeration and could support policy making without additional local calibration.
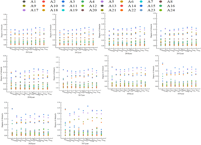
Identification and analysis of Obstacles in the WES system
To gain a deeper understanding of the key constraints and dynamic evolution of the coupling coordination degree of the WES system in the Zhengzhou city cluster, this study employs an obstacle degree analysis model to conduct a detailed assessment and diagnosis of the impact of various evaluation indicators on the system’s coupling coordination degree from 2012 to 2021. By introducing the concepts of’ indicator contribution, ‘’ indicator deviation, ‘and’ obstacle degree,’ the study quantitatively analyzes the trends and interaction mechanisms of each obstacle factor over time.
Dynamic evolution analysis of obstacle factor
See Fig. 5 Water resources barrier factors:
-
1.
Water consumption per 10,000 yuan of GDP: For a long time, this indicator has been the primary factor hindering the coordination and integration of the system. Particularly between 2012 and 2015, the high water consumption per 10,000 yuan of GDP highlighted the inefficiency in water resource utilization. With the promotion of water-saving technologies and the implementation of the ‘strictest water resource management system,’ this indicator began to decline after 2016, but it remains a key focus for future regulation.
-
2.
Per capita water consumption: As a direct reflection of the efficiency of water resource utilization, per capita water consumption is also one of the important obstacle factors in the early stage. However, with the strengthening of water resource management policies and the improvement of public awareness of water saving, its obstacle degree gradually decreases.
Ecological environment barrier factors:
-
1.
Centralized treatment rate of urban sewage: During 2012–2015, the obstacle degree of this index was high, reflecting the insufficient sewage treatment capacity in cities and towns. With the implementation of environmental protection policies such as the “Blue Sky Defense War”, the centralized treatment rate of urban sewage increased significantly, and the obstacle degree decreased significantly after 2016.
-
2.
Industrial wastewater discharge: As an important source of ecological and environmental pressure, industrial wastewater discharge increased in 2016–2019, reflecting the urgency of industrial pollution control. However, with the strict implementation of environmental regulations and industrial restructuring, this indicator has improved since 2020.
Economic and social barriers:
-
1.
Total GDP: During 2012–2015, although the total GDP reflected economic growth, its rapid growth to some extent aggravated the pressure on resources and the environment, becoming one of the obstacle factors. However, with the transformation of economic development mode and industrial structure upgrading, the obstacle degree of total GDP gradually decreased after 2016.
-
2.
Industrial structure: especially the proportion of the secondary industry, which restricts the coupling and coordination degree of the system in the early stage. However, with the development of high-tech industry and the optimization of industrial structure, the obstacle degree decreases significantly in the later stage.
Interaction mechanism of obstacle factors
The barrier factor presents the characteristics of “chain conduction and stage differentiation”, and the action path is different in different periods. The specific mechanism is as follows:
Early (2012–2015): negative conduction dominates. The water resource subsystem presents a “source barrier”: Water consumption per 10,000 yuan of GDP reaches 140–150 m³ (A15), with industrial water use accounting for 9.5% (A5). This directly results in industrial wastewater discharge reaching 6,632 × 10⁴t (A22), causing the ecological environment subsystem’s obstruction index to rise to 0.22. Ecological pollution further constrains socioeconomic development: Excessive industrial wastewater threatens agricultural irrigation safety, reducing the primary industry’s growth rate to 3.2%. Meanwhile, high-water-consuming industries account for 20% (A2) and secondary industries 35.2%, forming a negative chain of “low water efficiency → ecological pollution → restricted economic growth.” Taking Pingdingshan as an example, in 2015, water consumption per 10,000 yuan of GDP was 148 m³, corresponding to 7,200 × 10⁴t of industrial wastewater discharge. The secondary industry’s growth rate was merely 4.1%, significantly lower than Zhengzhou’s (6.8%).
Medium term (2016–2019): Policy cuts off the negative chain. After the implementation of the “strictest water resource management system”, water consumption per 10,000 yuan of GDP decreased to 100–120 m³ (A15). Industrial water reuse rates increased from 75% to 85%, while industrial wastewater discharge was reduced to 6,534 × 10⁴t (A22), resulting in a 31.8% decrease in ecological barriers. Ecological improvements have driven economic growth: The centralized urban sewage treatment rate rose from 80% to 95% (A17). Reclaimed water was used for industrial cooling, reducing industrial water demand by 10%. This created space for upgrading the secondary industry (with equipment manufacturing’s share increasing from 25% to 35%), while the proportion of the secondary industry’s barriers decreased by 45%, forming a virtuous cycle of “water conservation → ecological improvement → industrial upgrading”. In 2019, Luoyang’s water consumption per 10,000 yuan of GDP was 102 m³, with industrial wastewater discharge reaching 5,800 × 10⁴t. Meanwhile, high-end manufacturing in the secondary industry accounted for 38% of the total, achieving a growth rate of 6.5%.
Late stage (2020–2021): multi-factor collaborative optimization. The disorder levels of water resources, ecological systems, and economic subsystems have all decreased below 0.15: Water consumption per 10,000 yuan of GDP (A15), industrial wastewater discharge (6,500 × 10⁴t) (A22), and the secondary industry’s 31.7% share (A2) show reduced mutual constraints. The core interaction pathway has evolved into “ecological water security → water resource recycling → high-quality economic growth”: The ecological water ratio increased from 7.7% to 10.2% (A20), urban green coverage rose from 41.6% to 43.8% (A18). Enhanced water conservation capacity improved total water utilization efficiency from 60% to 70%, while per capita GDP growth reached 6.8%, achieving balanced coordination among the three systems. In 2021, Zhengzhou maintained an ecological water ratio of 10.2%, water resource utilization rate of 72%, and per capita GDP of 114,000 yuan, with a coordination index of 0.86.
The influence of policy intervention on the ranking and degree of Obstacles
“The strictest water resources management system”: The implementation of this policy has significantly reduced the obstacles to water consumption per 10,000 yuan of GDP and capita water consumption, indicating that policy intervention plays a positive role in improving water resource utilization efficiency.
“Blue Sky Defense War”: The implementation of environmental protection policies has significantly improved the centralized treatment rate of urban sewage, reduced the obstacles to industrial wastewater discharge, and promoted the improvement of ecological environment quality.
Industrial structure adjustment policy: By supporting the development of high-tech industry, the industrial structure is optimized, the obstacle to reducing the proportion of the secondary industry is reduced, and the sustainable development of the economy and society is promoted.
In summary, the factors hindering the coupling and coordination of the WES system in the Zhengzhou urban agglomeration exhibit dynamic evolution over time, with complex interactions among these factors. Policy interventions significantly influence the ranking and severity of these hindrances, providing a scientific basis for formulating differentiated regulatory strategies. Moving forward, efforts should focus on enhancing water resource management, environmental protection, and industrial restructuring to promote the high-quality and coordinated development of the WES system in the Zhengzhou urban agglomeration.
Regulation scheme and future forecast
Model test
The improved LSTM model enhances reliability through two key optimizations: ① “Multi-feature Cross-Input”: By pairing interaction indicators such as “industrial water consumption ratio (A5) -industrial wastewater discharge (A22)” and “ecological water proportion (A20) -built-up area green coverage rate (A18)”, it strengthens multi-system feature extraction capabilities. ② “Constraint Embedding”: During training, a “water usage/industry ratio constraint loss term” is incorporated, while during prediction, imbalanced results are adjusted according to the “weight allocation principle” to ensure outputs align with physical realities.
Validation results (Table 5; Fig. 6 show that the root mean square error (RMSE) of improved models in cities from 2020 to 2021 was 20–25% lower than traditional models. For instance, Xinxiang’s 2021 improved model achieved an RMSE of 0.138 (compared to 0.176 with traditional models). Moreover, the predictions adhered to “balance constraints”, as demonstrated by Zhengzhou’s 2021 forecasts: A1 + A2 + A9 = 100% (4.05%+31.72%+64.23%), and A4 + A5 + A8 + A20 = 100% (62.52%+7.43%+19.85%+10.20%). These findings fully validate the reliability of the models.
Feasibility and policy relevance of control schemes
Regulatory target revision and planning basis
In the original plan, “the annual growth rate of secondary industry is 10%” and “the annual growth rate of per capita GDP is 10%” are inconsistent with local planning. They are revised in accordance with official documents such as the 14th Five-Year Plan for National Economic and Social Development of Henan Province and the 14th Five-Year Plan for Zhengzhou City. The feasibility and basis of each target are as follows:
Regulatory areas | Original objective | Corrected target | Planning basis | Feasibility statement |
|---|---|---|---|---|
Community economy | The secondary industry grew at an average annual rate of 10% | The transformation of the high-end secondary industry will grow at an average annual rate of 3–5% | Urban Agglomeration Development Plan (2016–2025): “Promote the transformation of the secondary industry to high-end, intelligent and green, with an average annual growth rate of 3%−5%"29 | Zhengzhou Economic and Technological Development Zone and Luoyang High-tech Zone have formed a high-end equipment manufacturing cluster, which accounted for 35% in 2021 and will rise to 50% in 2026, supporting the growth target |
Community economy | Per capita GDP grew at an average annual rate of 10% | Per capita GDP grew at an average annual rate of 6–7% | Henan’s 14th Five-Year Plan “:” The average annual growth rate of per capita GDP in Henan province will be 6% to 7% from 2021 to 2025, and the growth rate of Zhengzhou urban agglomeration as the core area will not be lower than the provincial average.“30 | In 2021, the per capita GDP of Zhengzhou urban agglomeration was 82,000 yuan, which will reach 116,000 yuan by 2026 at a rate of 7%, matching the goal of “expanding the middle-income group” |
Water resource | Total water consumption will decrease by 2% annually | Total water consumption will decrease by 2–3% annually | “Water Resources Conservation and Intensive Use in Henan Province during the 14th Five-Year Plan Period”: “By 2025, water consumption per 10,000 yuan of GDP will decrease by 16% compared with 2020, with an average annual decline of about 3%"31 | The coverage of agricultural drip irrigation increased from 60% to 90%, and the industrial recycling rate increased from 85% to 92%, which can achieve a decrease in water consumption |
Water resource | Industrial water consumption will be reduced by 1% annually | Industrial water consumption will be reduced by 1% annually | “Zhengzhou’s 14th Five-Year Plan for Industrial Green Development”: “The reuse rate of industrial water will be increased to 90%, and the proportion of industrial water will be reduced from 9.5% to 4.5% (an annual average decrease of 1%)”32 | The reuse rate of industrial water will reach 85% in 2021 and 92% in 2026, which can reduce the amount of fresh water used and achieve a proportion decrease |
Ecological condition | Ecological water increased by 1.5% annually | Ecological water consumption will increase by 1.2–1.5% annually | The Yellow River Basin Ecological Protection and High-quality Development Plan states: “The proportion of ecological water used in the middle and lower reaches of the Yellow River will gradually increase to 15%, with an average annual increase of 1.2% to 1.5%.“33 | Through ecological water replenishment in the Yellow River and optimization of reservoir dispatch, the proportion of ecological water will rise from 10.2% in 2021 to 16% in 2026 |
Ecological condition | Industrial wastewater discharge will be reduced by 5% annually | The annual discharge of industrial wastewater will be reduced by 4%−5% | “Water Pollution Prevention and Control Plan of Henan Province during the 14th Five-Year Plan Period”: “The total discharge of industrial wastewater will be reduced by 20% compared with 2020, with an average annual decrease of 4%−5%"31 | The penetration rate of cleaner industrial production technology has increased from 70% to 90%, and the upgrading of wastewater treatment facilities has reduced emissions |
Future forecast
Definition of the target portfolio of four regulatory programmes
Programme number | Scenario name | Target composition (based on modified targets) | Adaptation to city types |
|---|---|---|---|
Option1 | Benchmark scenario (no additional regulation) | Maintain the current development trend without new regulatory measures | No specific adaptation, as a comparative benchmark |
Option2 | Water resources-Socio-economic joint regulation | Total water consumption will decrease by 2%−3% annually, the proportion of industrial water will decrease by 1% annually, the high-end production will increase by 3%−5% annually, and the per capita GDP will increase by 6%−7% annually | Resource-based cities (Jiaozuo, Xuchang, water resource constraints + economic transformation needs) |
Option3 | Social economy-ecological environment joint regulation | The annual growth rate of high-end secondary production is 3%−5%, the annual growth rate of per capita GDP is 6%−7%, the annual growth rate of ecological water is 1.2%−1.5%, and the annual growth rate of industrial wastewater discharge is 4%−5% | Core cities (Zhengzhou and Luoyang, good economic foundation + high ecological pressure) |
Option4 | Water resources-ecological environment joint regulation | Total water consumption will decrease by 2%−3% annually + the proportion of industrial water will decrease by 1% annually + the ecological water will increase by 1.2%−1.5% annually + the industrial wastewater discharge will decrease by 4%−5% annually | Ecological sensitive cities (Pingdingshan, Kaifeng, water shortage + ecological restoration needs) |
Projections for 2022–2026 (Fig.7)
Option 1 (benchmark): The average annual growth rate of coordination degree is 2.5%. In 2026, the core cities (Zhengzhou and Luoyang) will reach 0.90–0.92, and the peripheral cities (Luohe and Jiyuan) will reach 0.75–0.78, with slow growth;
Option 2 (water resources-economy): The annual increase of coordination degree in Jiaozuo and Xuchang is 4.8%, and it will reach 0.88–0.90 in 2026,5–7% points higher than the benchmark. The synergistic effect between water resources efficiency improvement and economic upgrading is significant;
Option 3 (Economy and Ecology): The coordination degree of Zhengzhou and Luoyang will increase by 5.2% annually, reaching 0.95–0.97 in 2026,8–10% points higher than the benchmark, and ecological improvement will provide support for high-quality economic development;
Option 4 (water resources-ecology): The coordination degree of Pingdingshan and Kaifeng will increase by 4.5% annually, reaching 0.85–0.87 in 2026,4–6% points higher than the benchmark. Water resources security and ecological restoration will break the “resource-environment” dilemma.
Comparison of prediction results with observation trends in similar areas and uncertainty analysis
Comparison of prediction results with observation trends in similar areas
This study utilized an enhanced LSTM model to forecast the WES system evaluation indicators for the Zhengzhou city cluster over the next five years. Compared to similar regions, the Zhengzhou city cluster has shown steady improvements in comprehensive development levels and coupling coordination. Notably, significant progress has been made in enhancing water resource utilization efficiency and improving ecological environment quality. These forecast results align with the successful experiences of similar regions in implementing water-saving policies and strengthening ecological protection, thus validating the rationality of the study’s predictions.
Main sources of uncertainty in the forecast
Data quality and integrity: The accuracy of the prediction results is highly dependent on the quality and integrity of the input data. Due to the missing or abnormal values in some years, the prediction results may be affected to some extent. In the future, it is necessary to further improve the data collection and processing mechanism to improve the data quality.
Policy changes and external shocks, such as climate change and sudden events, can introduce uncertainty into the forecast results. For instance, stricter water conservation policies or extreme weather events could significantly impact water use efficiency and environmental quality. Therefore, when formulating regulatory plans, it is essential to consider the potential for policy changes and external shocks and to develop corresponding response strategies.
Model assumptions and parameter settings: The predictive model is based on certain assumptions and parameter settings, which may not fully capture the complexities of the real world. For example, the model assumes that the interactions between subsystems remain constant, but in reality, these interactions can change over time and space. Therefore, it is necessary to further refine the model’s assumptions and parameter settings in the future to enhance its predictive accuracy and reliability.
In summary, the regulatory measures proposed in this study demonstrate high feasibility and policy relevance, with the predicted outcomes aligning well with observed trends in similar regions. However, the predictions still carry some uncertainty, necessitating close monitoring of data quality, policy changes, and external shocks during implementation. Timely adjustments to the regulatory measures are essential to ensure the achievement of the objectives.
Conclusion and discussion
Conclusion
Based on the coupling coordination degree model and obstacle degree model, this study comprehensively analyzed the coordinated development of the WES system in Zhengzhou urban agglomeration from 2012 to 2021, and drew the following main conclusions:
-
1.
The level of integrated development continues to improve, but regional differences are significant:
-
a.
The comprehensive development level of the WES system in Zhengzhou urban agglomeration shows a trend of stepwise increase. The coordination degree of core city Zhengzhou increased from 0.42 in 2012 to 0.78 in 2021, indicating that the synergistic effect between systems is constantly enhanced.
-
b.
In terms of spatial distribution, it presents a “core-periphery” pattern. The central cities such as Zhengzhou and Luoyang play an obvious leading role, while the resource-based cities such as Pingdingshan and Jiaozuo are relatively lagging due to the dual pressure of economic transformation and ecological restoration.
-
a.
-
2.
The coupling coordination degree is significantly optimized, and the policy-driven effect is prominent:
-
a.
In terms of time evolution, the coupling coordination degree increased from “barely coordinated” in 2012–2014 to “high-quality coordinated” in 2021, indicating that the interaction between systems gradually increased.
-
b.
Policy intervention (such as the “Central Plains Urban Agglomeration Development Plan” and the “Yellow River Basin Ecological Protection Strategy”) plays a key role in promoting the coordination degree, but the risk resistance ability of small and medium-sized cities (such as Luohe and Jiyuan) still needs to be strengthened.
-
a.
-
3.
Water resources are the main constraint, and economic and social constraints are increasingly prominent:
-
a.
Barrier analysis shows that water consumption per ten thousand yuan of GDP, centralized treatment rate of urban sewage, and other water resources indicators are the main obstacles to the coordinated development of the system in the long term.
-
b.
In recent years, the restrictive role of economic and social factors (such as industrial structure and per capita GDP) has increased, while the constraints on the ecological environment have weakened but still need to be paid continuous attention to.
-
a.
-
4.
Improved LSTM model prediction shows the effect of differential regulation:
-
a.
Future scenario simulation based on an improved LSTM model shows that water resource regulation (such as the promotion of water-saving technology) has a significant effect on cities such as Pingdingshan and Jiaozuo, while core cities such as Zhengzhou and Luoyang need more coordinated optimization of social economy and ecological environment.
-
a.
Discussion
This study, based on the coupling coordination degree model and the obstacle degree model, conducted a comprehensive analysis of the coordinated development of the WES system in the Zhengzhou city cluster from 2012 to 2021 and proposed a differentiated regulation plan. The following sections discuss the relevance of the findings to broader literature, reflect on the limitations of the methodology, and propose future research directions.
Relevance to the wider literature
The findings of this study align with extensive literature in the fields of coupling human-nature systems and sustainable urban development. Firstly, it reveals the complex nonlinear synergy among WES systems, which is consistent with Cui et al. ‘s9 research in Anhui Province, where the development of water resource systems lags behind urbanization, and there is a significant spatial imbalance in the coupling coordination between these two systems. However, this study further underscores the critical role of water resources as a fundamental constraint on the ecological environment, providing an important supplement to traditional binary system analyses of’ social economy-water resources ‘or’ social economy-ecological environment24.
Secondly, the process of coupling coordination evolving from ‘on the verge of imbalance’ to ‘high-quality coordination’ in this study mirrors Wang et al. ‘s12 findings on the dynamic interactions within the water resource carrying capacity system. This indicates that policy interventions play a crucial role in enhancing system coordination. Specifically, the significant improvement in coupling coordination observed in the’ Central Plains Urban Agglomeration Development Plan ‘and the’ Yellow River Basin Ecological Protection Strategy’ further underscores the importance of policy-driven effects in sustainable urban development3.
Furthermore, the findings in this study that water resources are a major constraint align with Dong et al.‘s15 research on the coupling and coordination of economic, social, and environmental systems, which highlights the constraints imposed by water resources. However, the study also reveals that socio-economic factors have become increasingly significant in constraining system coordination in recent years. This provides a new perspective for future urban planning and management, emphasizing the need to consider the coordinated development of water resources, the ecological environment, and socio-economic factors.
Reflection on the limitations of methods
Although this study has made innovative breakthroughs in theoretical framework, methodology, and indicator weighting, there are still some limitations:
Subjectivity of Indicators: Although this study has made every effort to select indicators based on the principles of scientific accuracy, representativeness, and availability, certain indicators, such as the proportion of ecological water use and industrial wastewater discharge, may still be influenced by subjective judgment. Future research could consider incorporating more objective indicators or adopting more advanced methods for selecting indicators to reduce subjectivity34.
Data Quality: The data for this study primarily comes from official statistical yearbooks and bulletins. While these sources are authoritative, they may still contain missing, inaccurate, or inconsistent data. Additionally, variations in statistical criteria across different years can impact the analysis results. Future research could consider implementing stricter data quality control measures, such as data cleaning and cross-verification, to enhance the accuracy and consistency of the data.
Model universality: The improved LSTM model developed in this study has shown high prediction accuracy and physical rationality in the application of Zhengzhou urban agglomeration, but its universality still needs to be further verified. Different regions have different water resources, ecological environments, and social and economic conditions35.
Policy recommendations based on the sustainable development path
Based on the coupling characteristics of WES system and regional differentiation in Zhengzhou city cluster, this paper puts forward targeted policy suggestions for three types of main cities: core cities, resource-based cities and ecologically sensitive cities. Meanwhile, cross-regional coordination mechanism is strengthened to ensure the implementation of sustainable development path:
1. Core cities (Zhengzhou and Luoyang): Build a benchmark of regional coordination with “deep coupling between ecology and economy” as the core.
Industrial Green Upgrade Policy: Leveraging Zhengzhou Economic Development Zone and Luoyang High-Tech Zone, the government will establish a “High-end Manufacturing Water Conservation Special Fund"36. This initiative provides tax reductions and R&D subsidies for water-intensive industries such as electronics and new energy equipment, aiming to maintain the growth rate of high-end manufacturing at 3%−5% in the secondary industry. By 2026, the proportion of high-end manufacturing is projected to exceed 50%. Simultaneously, water-intensive industries like steel and chemicals will be scaled back through a “High-water Consumption Project Negative List”, strictly prohibiting new projects with water consumption exceeding 50 m³ per 10,000 yuan of industrial added value37.
Ecological Water Conservation Policy: Establish a “Yellow River Mainstream Water Allocation Coordination Mechanism” to allocate no less than 500 million m³ of ecological water annually from the Yellow River mainstream, prioritizing restoration projects such as Zhengzhou’s Yellow River Wetland and Luoyang’s Yiluo River Ecological Corridor38. This initiative aims to increase the ecological water proportion by an average of 1.2%−1.5% annually, reaching 16% by 2026. Simultaneously, promote “reclaimed water ecological reuse” technology by utilizing reclaimed water from urban sewage treatment plants (with Zhengzhou and Luoyang producing 1.5 million m³/d and 1 million m³/d respectively) for urban greening and river replenishment, replacing 30% of fresh ecological water demand39.
Smart supervision enables policies: build a “WES system collaborative monitoring platform” to integrate real-time data of water resources, ecological environment and social economy, identify system coupling risks by big data analysis, realize closed-loop management of “risk early warning-precision regulation”, and improve the anti-interference capability of the system.
2. Resource-based cities (Jiaozuo and Xuchang): Focus on “dual improvement of water resources and economy” to solve the dilemma of transformation.
Water Efficiency Enhancement Policy: To support the coal industry transformation in Jiaozuo and equipment manufacturing development in Xuchang, the government will promote “Special Industrial Water Recycling Technologies” with investment subsidies for mine water reuse and industrial cooling systems. In agriculture, the “High-Standard Farmland Water Conservation Upgrade” initiative aims to achieve 90% coverage of drip and sprinkler irrigation by 2026, reducing agricultural water use from 62.78% to below 55%. Water consumption per 10,000 yuan of GDP will be stabilized at 100 m³ or less.
Industrial Transformation Support Policy: To address the industrial spillover from Zhengzhou and Luoyang, a “Industrial Transfer Coordination Platform” will be established. Jiaozuo will receive preferential land allocation and infrastructure subsidies for new energy battery projects, while Xuchang will benefit from infrastructure support for intelligent connected vehicle initiatives. Simultaneously, efforts will focus on developing a “Water-Saving Equipment Manufacturing Cluster” to support local enterprises in R&D of drip irrigation systems and industrial water-saving valves. This initiative aims to cultivate regional specialty industries, driving an average annual GDP growth rate of 6%−7%, with the target reaching over 100,000 yuan per capita by 2026.
Data availability
Data will be made available on request. The relevant data of this study can be obtained from the corresponding author.
References
Wang, D., Ma, H., Ren, J., Gao, N. & Qiao, J. Adaptive critic design with weight allocation for intelligent learning control of wastewater treatment plants. Eng. Appl. Artif. Intell. 133, 108284 (2024).
Ren, S. et al. Analysis of influencing factors and paths of synergistic development of water resources-economic society-ecological environment based on DIM modeling. Sci. Rep. 15, 5925 (2025).
Cheng, K., He, K., Fu, Q., Tagawa, K. & Guo, X. Assessing the coordination of regional water and soil resources and ecological-environment system based on speed characteristics. J. Clean. Prod. 339, 130718 (2022).
Li, W., Yi, P., Zhang, D. & Zhou, Y. Assessment of coordinated development between social economy and ecological environment: case study of resource-based cities in Northeastern China. Sustain. Cities Soc. 59, 102208 (2020).
Zhang, Y. et al. By reconstructing a multifunctional intensive microbiome, effective microorganisms (EM) improve the ecological environment of rice–crayfish cocropping. Agric. Ecosyst. Environ. 357, 108698 (2023).
Zhao, B. et al. Water function zone: a method to improve the accuracy of remote sensing retrieval of water bodies. Ecol. Indic. 164, 112105 (2024).
Qi, X. et al. Coupling simulation and prediction of sustainable utilization of water resources in an arid inland river basin under climate change. Water 15, 3232 (2023).
Sun, K. et al. The coupling coordination and spatiotemporal evolution of industrial water-energy-CO2in the Yellow River basin. Sci. Total Environ. 912, 169012 (2024).
Cui, Y. et al. Coordinated development evaluation and diagnosis of regional water resources-social economy-ecological environment system based on mechanical model and risk matrix. J. Hydrol. 633, 131013 (2024).
Li, H. et al. Vegetation greening concurs with increases in dry season water yield over the upper Brahmaputra river basin. J. Hydrol. 603, 126981 (2021).
Saqr, A. M., Kartal, V., Karakoyun, E. & Abd-Elmaboud, M. E. Improving the accuracy of groundwater level forecasting by coupling ensemble machine learning model and coronavirus herd immunity optimizer. Water Resour. Manag. https://doi.org/10.1007/s11269-025-04210-w (2025).
Wang, X., Zhang, S., Gao, C. & Tang, X. Coupling coordination and driving mechanisms of water resources carrying capacity under the dynamic interaction of the water-social-economic-ecological environment system. Sci. Total Environ. 920, 171011 (2024).
Liu, X. et al. Research on sustainable scheduling of cascade reservoirs based on improved crow search algorithm. Water 15, 578 (2023).
Zhang, Y., Song, X., Wang, X., Jin, Z. & Chen, F. Multi-level fuzzy comprehensive evaluation for water resources carrying capacity in Xuzhou city, China. Sustainability 15, 11369 (2023).
Dong, L., Longwu, L., Zhenbo, W., Liangkan, C. & Faming, Z. Exploration of coupling effects in the economy–society–environment system in urban areas: case study of the Yangtze river delta urban agglomeration. Ecol. Indic. 128, 107858 (2021).
Qian, X. Research on the coordinated development model of marine ecological environment protection and economic sustainable development. J. Sea Res. 193, 102377 (2023).
Pahl-Wostl, C., Dombrowsky, I., Lenschow, A. & Thiel, A. Pathways towards enhanced capacity in water governance to deal with complex management challenges. Environ. Sci. Policy. 148, 103556 (2023).
Tu, Y., Wang, N., Cheng, L. & Liu, L. Sustainability assessment and multi-angle diagnosis of regional water resources-social economy-ecological environment system using a novel TODIMSort with MS clustering algorithm. Water Resour. Manag. 38, 5279–5303 (2024).
Lu, J., Fu, Y., Li, X., Zhou, Y. & Zhang, L. Impact of the comprehensive remediation project on hydrological conditions in the lower reaches of the Ganjiang river. Water Sci. Technol. 89, 2577–2592 (2024).
Xu, C., Peng, Z., Zhang, H. & He, Z. Study of comprehensive utilization of water resources of urban water distribution network. Water 13, 2791 (2021).
Ravazzani, G. et al. Assessing climate impacts on hydropower production: the case of the Toce river basin. Climate 4, 16 (2016).
Di Taranto, L., Fiorentino, A., Doglioni, A. & Simeone, V. Modeling water table response in Apulia (southern Italy) with global and local LSTM-based groundwater forecasting. Water 17, 2268 (2025).
Niu, C. et al. Integrated model for optimal scheduling and allocation of water resources considering fairness and efficiency: a case study of the yellow river basin. J. Hydrol. 626, 130236 (2023).
Zhao, R., Long, D., Yang, M. & Fan, X. From resettlement to revitalization: examining the water resource environment carrying capacity of ecological migrant resettlement areas in China. Ecol. Indic. 160, 111879 (2024).
Yu, X., Deng, R., Li, F., Zhai, D. & Meng, C. Evaluation and obstacle factors of water resources carrying capacity in tai’an, China. Sustainability 17, 1814 (2025).
Sang, Z. et al. Effective solutions to ecological and water environment problems in the Sanjiang plain: utilization of farmland drainage resources. Sustainability 15, 16329 (2023).
Bai, J. & Xie, T. The concerns and efforts for water resources balance, water environment purification and aquatic ecological restoration. Hydroresearch 6, A1–A3 (2023).
Cheng, K. & Mo, Z. Study on ecological environment change of water source area of the middle route of south-to-north water diversion project in the past 20 years. IOP Conf. Ser. Earth Environ. Sci. 1011, 12042 (2022).
Wu, H. et al. Analyzing multiscale associations and couplings between integrated development and eco-environmental systems: a case study of the central plains urban agglomeration, China. Appl. Geogr. 171, 103387 (2024).
Zhang, X. Study on the Emission Reduction Effect of China’s OFDI in Countries along the Belt and Roadin 758–769 (Bratislava, 2024). https://doi.org/10.26914/c.cnkihy.2024.083222
Li, X. et al. Research on Carbon Neutral Grid Enterprises’ Low Carbon Transition Strategies and Benefit Assessmentin 26–32 (Zhuhai, Guangdong, China,, 2024). https://doi.org/10.26914/c.cnkihy.2024.080988
Huang, H. Study on the Coordinated Industrial Development of City Cluster in the Yellow River basin——taking Guanzhong Plain as an Examplein 584–600 (Hong Kong, 2022). https://doi.org/10.26914/c.cnkihy.2022.010123
Zhang, Y. & Ren, Y. A five-dimensional comprehensive evaluation of the yellow river basin’s water environment using entropy–catastrophe progression method: implications for differentiated governance strategies. Water 17, 1228 (2025).
Ji, J., Qu, X., Zhang, Q. & Tao, J. Predictive analysis of water resource carrying capacity based on system dynamics and improved fuzzy comprehensive evaluation method in Henan Province. Environ. Monit. Assess. 194, 500 (2022).
Zhou, R. et al. Connection number based model for coordination development evaluation of regional water resources, social economy and ecological environment complex system. J. Environ. Manage. 339, 117913 (2023).
Guo, B., Hu, J. & Guo, X. Can the industrial transformation and upgrading demonstration zones policy improve urban green technology innovation? An empirical test based on old industrial cities and resource-based cities in China. Front. Environ. Sci. 12, 1505177 (2025).
Gu, B., Chen, F. & Zhang, K. The policy effect of green finance in promoting industrial transformation and upgrading efficiency in china: analysis from the perspective of government regulation and public environmental demands. Environ. Sci. Pollut Res. 28, 47474–47491 (2021).
Van Rees, C. & Reed, J. M. Water diplomacy from a duck’s perspective: wildlife as stakeholders in water management. J. Contemp. Water Res. Educ. 155, 28–42 (2015).
Van Ek, R., Witte, J. P. M., Runhaar, H. & Klijn, F. Ecological effects of water management in the netherlands: the model DEMNAT. Ecol. Eng. 16, 127–141 (2000).
Author information
Authors and Affiliations
Contributions
YFT, JH, and XQG wrote the manuscript text, and YFT prepared part of the diagrams. All authors reviewed the manuscript.
Corresponding author
Ethics declarations
Competing interests
The authors declare no competing interests.
Additional information
Publisher’s note
Springer Nature remains neutral with regard to jurisdictional claims in published maps and institutional affiliations.
Rights and permissions
Open Access This article is licensed under a Creative Commons Attribution-NonCommercial-NoDerivatives 4.0 International License, which permits any non-commercial use, sharing, distribution and reproduction in any medium or format, as long as you give appropriate credit to the original author(s) and the source, provide a link to the Creative Commons licence, and indicate if you modified the licensed material. You do not have permission under this licence to share adapted material derived from this article or parts of it. The images or other third party material in this article are included in the article’s Creative Commons licence, unless indicated otherwise in a credit line to the material. If material is not included in the article’s Creative Commons licence and your intended use is not permitted by statutory regulation or exceeds the permitted use, you will need to obtain permission directly from the copyright holder. To view a copy of this licence, visit http://creativecommons.org/licenses/by-nc-nd/4.0/.
About this article
Cite this article
Tang, Y., He, J. & Guo, X. Coupling and coordination mechanism and sustainable path of water resources-ecological environment-socio-economic system in Zhengzhou urban agglomeration. Sci Rep 15, 37811 (2025). https://doi.org/10.1038/s41598-025-21667-2
Received:
Accepted:
Published:
Version of record:
DOI: https://doi.org/10.1038/s41598-025-21667-2






